Turn your PDF into an API-fillable template in seconds. No signup required. Try it now
Turn your PDF into an
API-fillable template in seconds
Upload any PDF to see Anvil's Document AI in action. No signup required.
Anvil Logo
Products
Industries
Resources
Developers

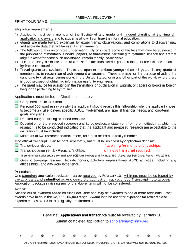
Project Request Form

One API call is all it takes. Free to use.
Fill it over API
AI-generated
A comprehensive form for researchers to request microscopy and imaging services at Loma Linda University School of Medicine's Advanced Imaging and Microscopy Core Facility.
Fill over API
Get it e-signed
Build document flow

Fill out your PDF over API

Send JSON, fill PDF. It's that simple.
Fast and scalable PDF filling.
Quick AI-assisted template setup.
Get started for free
Fill out your PDF over API

Get your PDF filled and signed

Request e-signatures over API.
Save time (& sanity) with Document AI.
Style & embed e-sign into your application.
Get started for free
Get your PDF filled and signed

Automate your document flows

Generate production-ready Webforms from PDFs in seconds.
Collect reusable, structured data.
Customize document workflows without code.
Get started for free
Automate your document flows

Integrate with

Build Zapier workflows to automate paperwork processes end-to-end with Anvil. Learn more.

See other related forms

Start filling Project Request Form for free

Why product teams love Anvil

vouch
Travis Hedge
Co-Founder
Anvil plays a really important role for us in being able to translate the unique risks and needs of our client base into the models of how traditional insurance companies operate.
See the full case study
Easy to implement
Pre-built components, clear documentation, and AI tools make Anvil a time-saver.
Launch in days
Don't reinvent the wheel building software in-house.
Make it fully yours
Style components to be on brand, then embed them into your application.