Turn your PDF into an API-fillable template in seconds. No signup required.
Try it now
Turn your PDF into an
API-fillable template in
seconds
Upload any PDF to see Anvil's Document AI in action. No signup required.
Products
Workflows
Automate complex document processes
Etch E-sign
Embed white-labeled e-signatures
PDF Services
Fill PDFs with collected or stored data
Webforms
Collect data with mobile-friendly webforms
Document AI
Faster way to build workflows
OCR Service
Extract data from any document
Industries
Insurance
Rate, quote, and bind faster
Human resources
Automate onboarding documents
Real estate
Secure workflows for buying, selling, renting
Healthcare
Launch HIPAA compliant document workflows
Finance
Automate documents for financial products
Case studies
Learn how businesses have grown with Anvil
Resources
Form library
Ship faster with pre-made form templates
Blog
New features, industry news, customer stories
Help center
Step-by-step guides for using Anvil
PDF Costs Calculator
Calculate your company's document costs
Features
Overview of all Anvil features
Merch store
Order an Anvil hat
Developers
Get started
A quick introduction to building with Anvil
Documentation
Learn how to build Anvil into your product
API reference
GraphQL types, queries, & more
Product updates
New features & app improvements
Open source
Pre-written clients to simplify development
Engineering blog
Technical topics, how-tos, & more
Pricing
Try it free
Get a demo
Products
Industries
Resources
Developers
Pricing
Login
Try it free
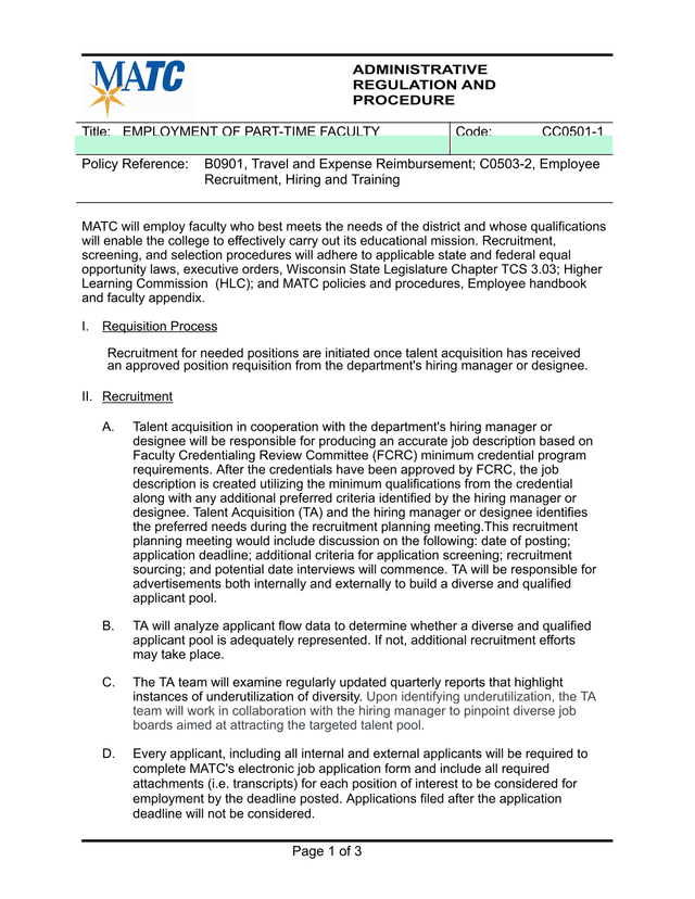
PROJECTACTIVITY PROPOSAL FORM
One API call is all it takes. Free to use.
Fill it over API
Download fillable PDF
AI-generated
4.8 Stars
A form for faculty to request funding for professional development and scholarly activities with a maximum request of $3,000.
Fill over API
Get it e-signed
Build document flow
Fill out your PDF over API
Send JSON, fill PDF
. It's that simple.
Fast and scalable PDF filling.
Quick
AI-assisted
template setup.
Get started for free
Get your PDF filled and signed
Request e-signatures over
API
.
Save time (& sanity) with
Document AI
.
Style
&
embed
e-sign into your application.
Get started for free
Automate your document flows
Generate
production-ready Webforms
from PDFs in seconds.
Collect reusable, structured data.
Customize document workflows without code.
Get started for free
Integrate with
Build Zapier workflows to automate paperwork processes end-to-end with Anvil.Â
Learn more
.
You can:
Fill a PDF
Setup an Anvil Workflow trigger
Start & pre-fill an Anvil Workflow
Create a link to an Anvil submission
See other related forms
Motions To Approve DOT, Debt, Cap Imp, Cap Dev, And Req For Approp
PDF template
Legislative motions for budget approvals related to transportation, debt service, and capital improvements for fiscal years 2014 and 2015.
See template
See template
Goshen College Student Evaluation Of Internship
PDF template
A comprehensive form for students to provide feedback and assessment of their internship experience, work environment, and learning opportunities.
See template
See template
Request For Proposal 0001343 For Web Based Internet Recruiting Management System
PDF template
Request for proposal for a web-based internet recruiting management system issued by Virginia Tech's Information Technology Acquisitions Office.
See template
See template
00300 PROPOSAL FORM
PDF template
Competitive sealed proposal for construction services for a water infrastructure rehabilitation project in Round Rock, Texas.
See template
See template
SERVICESSUPPLIESEQUIPMENT REQUISITION (Form 003)
PDF template
A detailed form for requesting and approving purchases of services, supplies, or equipment within an organization.
See template
See template
Proposal Form Ankeny High School Turf Replacement
PDF template
Bid proposal document for the Ankeny High School turf replacement project by Ankeny Community School District.
See template
See template
Art And Science Of Teaching Teacher Evaluation Framework Planning Conference Structured Interview Fo
PDF template
A structured interview form for teachers to prepare for classroom observation and reflection, covering lesson planning, classroom demographics, and instructional strategies.
See template
See template
2023 POST 1994 CRA ANNUAL REPORT LETTER
PDF template
Official guidance for submitting annual Community Reinvestment Area reports for Ohio, detailing submission requirements and process for local jurisdictions.
See template
See template
Common Child And Adolescent Psychiatry Application
PDF template
Application instructions and form for medical professionals seeking Child and Adolescent Psychiatry (CAP) training fellowship.
See template
See template
Summary Of APM 025
PDF template
Policy defining categories and guidelines for faculty outside professional activities at UC Berkeley
See template
See template
RESEARCH PROPOSAL FORM FOR MASTER PROGRAM APPLICATION
PDF template
A comprehensive form for master's degree applicants to submit their research proposal details and personal information at Walailak University.
See template
See template
RESEARCH PROPOSAL FORM FOR PH.D. APPLICATION
PDF template
A comprehensive form for prospective PhD students to submit their research proposal and personal details to Walailak University's College of Graduate Studies.
See template
See template
Substance Abuse Practicum Program Process
PDF template
Administrative directive establishing structured field work programs for substance abuse counseling practicum in district parole offices
See template
See template
Request For Proposal 18 031
PDF template
A solicitation by the Indiana Department of Administration for a project management modernization office for the Indiana Bureau of Motor Vehicles/Commission.
See template
See template
FINAL PROPOSAL AND BUDGET APPROVAL FORM
PDF template
A form requiring multi-level signatures for final approval of a proposal and its associated budget at Columbia State.
See template
See template
Initiate Grant Proposal Form
PDF template
A form used by faculty and staff to request authorization and submit details for a potential grant project at Columbia State.
See template
See template
ATTACHMENT E PRICE PROPOSAL FORM INSTRUCTIONS
PDF template
Instructions for completing a price proposal form for a service delivery solicitation, detailing requirements for unit pricing and calculations.
See template
See template
Request For Proposal Number GCHP05282019
PDF template
Request for proposal for establishing an agreement with a contractor for claims recovery services by Gold Coast Health Plan.
See template
See template
Highland Rim Head Start Educational Leave Request Form
PDF template
A form for employees to request educational leave, specifying hours and dates for pursuing further education.
See template
See template
Travel Expense Reimbursement Form
PDF template
A form for documenting and calculating travel-related expenses for an employee attending a professional conference.
See template
See template
Proposal For Thesis Or Project Research
PDF template
A form for computer science graduate students to propose and document their master's thesis or project research scope and details.
See template
See template
Cleared OTC Clearing Services Request For Proposal (RFP) For EEA Customers
PDF template
A proposal request document for obtaining OTC clearing services from Societe Generale for European Economic Area customers, designed to meet FRANDT requirements.
See template
See template
FY 2012 Budgets Universities, Special Schools, Iowa Public Radio, Board Office
PDF template
Annual budget document detailing fiscal year 2012 budgets for Iowa's public universities, special schools, and related entities.
See template
See template
APM 025 Annual Report
PDF template
Annual reporting requirement for faculty documenting compensated outside professional activities and additional teaching activities at UC Santa Cruz.
See template
See template
Staff Performance Review Form
PDF template
A comprehensive performance evaluation process for church staff with a spiritual and supportive approach.
See template
See template
Highland Rim Economic Corporation Procurement Form
PDF template
A form for documenting and obtaining approvals for organizational purchases at various spending levels.
See template
See template
Gateways To Opportunity Registry Training Event Attendance Form
PDF template
A form for recording attendance and professional details for child care professionals at training events.
See template
See template
ARIASU.S. 2017 Spring Conference Request For Proposals Submission Guidelines And Application
PDF template
Request for proposal guidelines for the ARIASU.S. 2017 Spring Conference seeking presentations on insurance and reinsurance industry topics.
See template
See template
Performance Review Guide
PDF template
A comprehensive guide outlining the process, responsibilities, and expectations for conducting annual employee performance reviews within an organization.
See template
See template
Northeast Multistate Division Evaluation Template
PDF template
Evaluation form for a healthcare educational activity about race and ethnicity data collection by the Alabama Department of Public Health.
See template
See template
Pharmacy Residency Reference Form
PDF template
A comprehensive reference form for evaluating a candidate's qualifications and capabilities for a pharmacy residency training program
See template
See template
CLE Evaluation
PDF template
An evaluation form for a continuing legal education session on developing and presenting evidence of mental limitations.
See template
See template
Aligning Marina Del Rey With Los Angeles County Priorities For Equity And Inclusion 60 Day Report
PDF template
Report detailing recommendations for strategic community needs assessment and future planning for Marina del Rey based on County Guiding Equity Principles.
See template
See template
Request For Council Action Bridgeport Subdivision First Amendment To Development Agreement
PDF template
Resolution authorizing the Mayor to sign a first amendment to a development agreement with Ivory Development and other parties regarding a pressure reducing valve installation.
See template
See template
Contracts Report 15,000
PDF template
Board of Education document approving contracts exceeding $15,000 for various district services and projects
See template
See template
Consulting Service Request Form
PDF template
A comprehensive form for requesting and approving healthcare professional consulting services with compliance certification.
See template
See template
Ohio Administrative Code Rule 13015 3 07 Educational Loans To Individuals
PDF template
Administrative rule detailing the process and requirements for educational loans to individuals seeking real estate licensing in Ohio.
See template
See template
Performance Bond Agreement Form
PDF template
A legal document binding a developer and surety company to complete required infrastructure improvements for a subdivision project in McCordsville, Indiana.
See template
See template
Electronic Invoice Presentation On Line Payment Capabilities RFP
PDF template
Request for proposals for electronic invoice and online payment system from the City of Pawtucket Water Supply Board
See template
See template
National Taipei University Application Form For Invention Patents Of Project Research Results By Fac
PDF template
A form for faculty and researchers at National Taipei University to apply for patents for their research project inventions.
See template
See template
Lifeworks Services, Inc. Reimbursement Form
PDF template
A form for submitting reimbursement requests for approved expenses within a specified budget and timeframe.
See template
See template
Need Based Scholarship Form For Wrightslaw Conference
PDF template
A scholarship application form for individuals interested in attending an ELIJA workshop on autism and developmental disabilities with financial assistance.
See template
See template
Content Proposal Form
PDF template
A form for proposing educational content such as videos, webinars, courses, or eLearning programs for AIChE.
See template
See template
2012 Fellowship Application Form
PDF template
A comprehensive application form for nursing professionals seeking fellowship with the American Academy of Nursing in 2012.
See template
See template
Aga Khan Foundation Job Opportunities
PDF template
Job opportunity for a short-term legal and regulatory review of SME Investment Fund in Kabul, Afghanistan, posted by Aga Khan Foundation.
See template
See template
Transferring Budget Authority Of A Project Based Section 8 Housing Assistance Payments Contract
PDF template
Official HUD notice providing guidance on transferring budget authority for project-based Section 8 housing assistance payments contracts.
See template
See template
Faculty CommitteeWorkgroup Annual Report Form
PDF template
Annual report documenting the activities, responsibilities, and meetings of the Student Affairs Committee at UFCD for the 2015-2016 academic year.
See template
See template
On Campus Interviews Guidelines
PDF template
Guide for Old Dominion University students participating in on-campus job interviews, detailing processes, expectations, and policies.
See template
See template
2021 Open Call Project Implementation Guide
PDF template
A comprehensive guide detailing project implementation timelines, requirements, and submission procedures for selected institutions participating in a 2021 open call project.
See template
See template
Monthly Professional Expense Reimbursement Form
PDF template
Form for physicians to submit monthly professional expenses for reimbursement, including travel, dues, and other business-related costs.
See template
See template
Request For Proposal Voice Over IP Solution
PDF template
A request for proposal by Lodi Unified School District for a Voice over IP telecommunications solution.
See template
See template
Request For Proposal Onsite And Virtual IT Support Services And Resources
PDF template
Request for Proposal soliciting bids for onsite and virtual IT support services from potential vendors through electronic submission.
See template
See template
Student Evaluation Of Teaching Policy
PDF template
Policy governing student evaluations of teaching effectiveness at California State University, East Bay, outlining purpose, frequency, and guidelines for assessment.
See template
See template
SAMPLE Examination For Trusts
PDF template
A sample examination for legal professionals, administered by the National Committee on Accreditation (NCA) to assess knowledge of trusts law.
See template
See template
HEALTH BENEFITS
PDF template
Addendum 1 for health benefits proposal with updated bidding procedures and specification access requirements.
See template
See template
RIVERFRONT OVERLAY DISTRICT APPLICATION
PDF template
Application form for development or modifications within Norfolk's Riverfront Overlay District, covering property details and project specifics.
See template
See template
RFP 19 0023 WEB BASED SUBSCRIPTION SOLUTION
PDF template
Sedgwick County, Kansas is seeking proposals for a web-based subscription solution from interested firms.
See template
See template
CONTRACTORS PROPOSAL FORM
PDF template
A detailed form for contractors to propose rehabilitation work on housing units, including specifications and pricing for various areas and components.
See template
See template
Activity Consent Form And Approval By Parents Or Legal Guardian
PDF template
A consent form for Scouts to participate in trips, expeditions, or activities, including flying plans, requiring parental or guardian approval.
See template
See template
PROPOSAL FORMAT FOR REQUEST OF AFS RESEARCH FUNDS SPONSORING TECHNICAL COMMITTEEDIVISION FORM
PDF template
A structured form for requesting research funds from the American Foundry Society (AFS), outlining project details and research objectives.
See template
See template
CIDS 698 101 Research Project Course Instructions
PDF template
Instructions for master's degree candidates conducting a research project in the Humanitarian & Development field, involving either a grant proposal or research publication.
See template
See template
DCP DSP Grant Proposal Submission Policies
PDF template
Policies and procedures for submitting research proposals and sponsored project documents at the University of Florida through the UFIRST system.
See template
See template
Suggested ThesisProject Proposal Form
PDF template
A form for doctoral candidates to submit their proposed thesis or project topic for review and approval by a council's Doctoral Review Team.
See template
See template
Tender For Procurement Of Adobe Acrobat Pro DC And Adobe Creative Cloud
PDF template
Tender document by Bank of Baroda for purchasing Adobe Acrobat Pro DC and Adobe Creative Cloud licenses for their Information Technology Department.
See template
See template
William Rainey Harper College Regular Board Meeting Agenda
PDF template
Agenda for a regular board meeting of William Rainey Harper College detailing meeting proceedings and items for approval and information
See template
See template
City Of New Orleans Spending Freeze Purchase Form
PDF template
A form for documenting and obtaining approval for non-emergency purchases during a city spending freeze.
See template
See template
WSU Faculty Computer Purchase Exemption Petition
PDF template
Process for Wright State University faculty to request computer equipment that differs from standard university recommendations.
See template
See template
CE Credit Application Form
PDF template
Application form for continuing education credits for nursing professionals at Oregon Health & Science University School of Nursing
See template
See template
Side Letter Of Agreement Student Evaluation Form Modifications
PDF template
Agreement between United Faculty and College District to modify student evaluation form questions to accommodate online and face-to-face courses
See template
See template
Request For Proposals Unarmed Security Guard Services
PDF template
Request for proposals from firms to provide unarmed security guard services for six court facilities in Santa Barbara County, California.
See template
See template
Shutesbury Capital Planning Committee Meeting Minutes
PDF template
Meeting minutes documenting discussions of capital budget requests, improvement plans, and committee proceedings.
See template
See template
North Dakota Legislative Council Legislative Fiscal Internship Program
PDF template
A program for students to gain experience in legislative fiscal and budgetary tasks under the guidance of the Legislative Budget Analyst and Auditor.
See template
See template
School Capital Request Form (PA 097 0474 Requirement)
PDF template
Web-based form for self-assessment and capital request to comply with Public Act 097-0474 requirements for school facilities.
See template
See template
Faculty Development Opportunities Handbook
PDF template
A comprehensive handbook outlining faculty development grants, opportunities, and procedures for Skidmore College faculty members.
See template
See template
NEAFCS Annual Accomplishments Report
PDF template
Annual report documenting achievements and activities of the North Carolina Extension Association of Family and Consumer Sciences for the year 2013.
See template
See template
2014 SYNERGY Users Conference Registration Form
PDF template
Registration form for annual professional tax and accounting conference with installment payment option
See template
See template
Faculty Development Grant Application Form
PDF template
Application form for faculty members seeking travel or research grants at the American University of Beirut
See template
See template
Board Of County Commissioners Board Meeting
PDF template
Official meeting minutes documenting county commission agenda items, including project approvals and proclamations.
See template
See template
Tuition Reimbursement 2016 Guidelines, Instructions Application
PDF template
A financial assistance program for County employees to support their educational development and enhance job skills and opportunities.
See template
See template
Frequently Asked Questions Certified Student Travel Professional Program (CSTP)
PDF template
Comprehensive guide explaining the Certified Student Travel Professional Program, its benefits, application process, and requirements for professionals in student and youth travel industry.
See template
See template
Marwood Group Co. USA, LLC Internship Application Form
PDF template
Application form for internship opportunities at Marwood Group in healthcare and finance consulting with positions in New York and Washington D.C. offices.
See template
See template
Research Proposal Form
PDF template
A form for researchers to propose and document research projects at the Duke Fossil Lab with specific usage agreements and requirements.
See template
See template
Membership Form
PDF template
Comprehensive membership form for the American Choral Directors Association with multiple membership categories and payment options.
See template
See template
Consultant Fellowship Guidelines
PDF template
Guidelines for podiatrists seeking consultant fellowship status with the Institute of Chiropodists and Podiatrists, outlining eligibility and application requirements.
See template
See template
Wisconsin Nurses Association APRN Pharmacology Clinical Update Exhibitor Invitation
PDF template
Invitation for exhibitors to participate in the 32nd Annual Pharmacology & Clinical Update conference for Advanced Practice Registered Nurses in Wisconsin
See template
See template
2018 Advanced Guardian Ad Litem And Mediation Training
PDF template
A comprehensive training event for legal professionals focused on family court, adoption, and mediation topics in Boone County, Missouri.
See template
See template
YMCA Child Care Resource Service Behavior Support Service Request
PDF template
A form for child care directors and educators to request behavior support services and resources from the YMCA Child Care Resource Service.
See template
See template
FacultyStaff Vehicle Registration Form
PDF template
A form for faculty and staff to register their vehicles and pay annual campus parking permits with tiered pricing based on salary range.
See template
See template
2019 FSLRP HPLRP Program Reference Guide
PDF template
A comprehensive guide for health professionals about loan repayment program eligibility, requirements, and application process in Washington State.
See template
See template
Fee Invoice For NAEYC Accreditation
PDF template
Form for submitting fees and documentation for NAEYC program accreditation through Maine Roads to Quality Professional Development Network.
See template
See template
Fee Invoice For NAFCC Accreditation
PDF template
Form for family child care programs to request funding and processing for NAFCC accreditation through Maine Roads to Quality Professional Development Network.
See template
See template
James Madison College 2019 Faculty Retreat
PDF template
A comprehensive overview of college administrative policies, staff assignments, travel procedures, and funding resources for faculty.
See template
See template
Mock Interview Feedback Form
PDF template
A comprehensive form for providing structured feedback on student interview performance across multiple skill categories.
See template
See template
SPUC 2019 Annual Conference SessionTopic Proposal Form
PDF template
A form for submitting session and topic proposals for the SPUC 2019 Annual Conference.
See template
See template
Sponsored Research Activities And Procedures
PDF template
A document outlining key activities, forms, and procedures for managing sponsored research projects and grants.
See template
See template
Waukesha County Cropland Rental Proposal Form
PDF template
A form for proposing lease and rental of agricultural land parcels in Waukesha County for a four-year contract period.
See template
See template
Dietetic Internship Program Handbook
PDF template
Comprehensive handbook for Vanderbilt University's Dietetic Internship program, detailing program policies, curriculum, and professional expectations.
See template
See template
Federal Employee Registration Form VIRTUAL ATTENDANCE
PDF template
Registration form for federal employees and government contract vendors to attend a conference hosted by the Department of the Treasury
See template
See template
VOSHA Review Board Special Meeting Minutes
PDF template
Minutes of a special meeting of the Vermont Occupational Safety and Health Review Board discussing budget, docket review, and procedural rules.
See template
See template
Veterinary Student Interview Sign Up
PDF template
A professional networking opportunity for veterinarians to interview 4th year veterinary students for potential employment at their practices.
See template
See template
Performance Evaluation
PDF template
Annual performance evaluation document outlining the comprehensive performance management process for employees at the Arkansas School for Mathematics, Science & the Arts.
See template
See template
VOSHA Review Board Special Meeting Minutes
PDF template
Special meeting minutes documenting Review Board proceedings, budget discussions, and docket reviews.
See template
See template
Spotlight On Education Competition Interview Form
PDF template
A structured interview form for students to document professional insights about a career in education through a standardized interview process.
See template
See template
SPUC 2020 Annual Conference SessionTopic Proposal Form
PDF template
A form for submitting session and speaker proposals for an annual conference by SPUC members.
See template
See template
NAFSA 2020 Annual Conference Current Topics Workshop Proposal Form
PDF template
A submission form for proposing workshops for the NAFSA 2020 Annual Conference, requiring detailed workshop and trainer information.
See template
See template
Work Study Evaluation Form
PDF template
A comprehensive performance review form for student employees in work-study programs, assessing core values, learning outcomes, and job-specific tasks.
See template
See template
Request For Proposal 2021 04 Timekeeping System
PDF template
Request for proposals for an employee timekeeping system for Southwest Wisconsin Technical College
See template
See template
Universal Design Training RFP 2021 06
PDF template
A solicitation by Southwest Wisconsin Technical College seeking proposals for Universal Design Training services.
See template
See template
Inquiry Form For NSF Project Proposal Submission
PDF template
A form to help researchers determine the appropriate type of proposal for submitting a project to the National Science Foundation.
See template
See template
2021 Crown Automotive ATHENA Award Nomination Form
PDF template
A professional recognition award honoring individuals who demonstrate excellence, community contribution, and leadership support for women.
See template
See template
VHFA Form 805A Instructions To The Operating Budget Projection
PDF template
Comprehensive guide for completing the Vermont Housing Finance Agency's operating budget projection form for rental housing properties.
See template
See template
CONTINUING EDUCATION FORM
PDF template
Form for optometrists to report and verify continuing education credits for license renewal in Hawaii.
See template
See template
Change Order Request
PDF template
A form for requesting design changes or field adjustments in a development project related to water and sanitation infrastructure.
See template
See template
2021 Council Activity Refund Request Form
PDF template
A refund request form for council activities during the 2021 calendar year, with special COVID-19 related refund provisions.
See template
See template
Evaluation Form
PDF template
A scholarly publication review form for evaluating potential article submissions to The East Bay Historia journal.
See template
See template
2021 Maximum Per Unit Total Development Cost Waiver Form
PDF template
Form for requesting a waiver for maximum per unit total development costs for housing projects in Georgia.
See template
See template
Employment Application
PDF template
Comprehensive employment application form for job seekers at Hussey-Mayfield Memorial Public Library in Zionsville, Indiana.
See template
See template
Sabbatical Leave Memorandum Of Agreement
PDF template
A memorandum of agreement outlining the procedural guidelines and deadlines for sabbatical leave applications for the academic year 2021-2022.
See template
See template
State Conference Grant Application Form
PDF template
A grant application form for AAUP state conferences to request funding for special campaigns and projects.
See template
See template
AX Exhibition Proposal
PDF template
Guidelines and instructions for artists submitting exhibition proposals to AX Arts Centre for potential visual arts and fine craft exhibitions.
See template
See template
AC Pro Warranty Claim Form
PDF template
A form for submitting warranty claims for air conditioning units, parts, and equipment by technicians or contractors.
See template
See template
NYSCA FY2023 Capital Projects Completing Your Long Form Budget
PDF template
Guidelines and instructions for completing budget forms for New York State Council on the Arts capital project grants in fiscal year 2023.
See template
See template
Cooperative (Co Op) Education Student Handbook
PDF template
A comprehensive guide for students participating in a Cooperative Education Program, covering program details, expectations, and workplace guidelines.
See template
See template
FAM Fellowship Application
PDF template
Application form for a paid academic-year fellowship at the Frist Art Museum designed for students and emerging professionals interested in museum exhibition processes.
See template
See template
AAES Hatch Proposal Review Feedback
PDF template
A document used to provide comprehensive feedback and assessment of agricultural research project proposals for the Alabama Agricultural Experiment Station (AAES)
See template
See template
Annual Performance Review Guidelines
PDF template
Comprehensive guidelines for conducting annual employee performance reviews, including purpose, timeline, and review process details.
See template
See template
Continuing Education Unit (CEU) Submission Form
PDF template
A form for professionals to submit continuing education units for certification renewal in professional organizations.
See template
See template
Form AS 4.2.1 Faculty Summary Form
PDF template
A form documenting faculty details for social work program accreditation, including professional background and teaching assignments.
See template
See template
Form AS 4.4.1 Budget Form
PDF template
A budget form documenting expenses for a social work academic program across three fiscal years.
See template
See template
Volunteer Orientation
PDF template
Comprehensive guide outlining volunteer opportunities, objectives, and expectations for college students interested in physical therapy service learning.
See template
See template
Subdivision Final Plat Application
PDF template
Official application form for submitting a final plat for subdivision development in the City of Wildwood, Florida
See template
See template
2022 Budget Summary
PDF template
A comprehensive overview of proposed budget expenditures and tax rates for various county funds for the fiscal year 2022.
See template
See template
2022 COCM Membership Application
PDF template
Annual membership application for code officials and industry professionals in Michigan for the year 2022
See template
See template
New Mexico Nurse Educator Loan For Service Program Application 2022
PDF template
A loan program to support nursing educators in obtaining advanced degrees while committing to teach in New Mexico public post-secondary institutions.
See template
See template
Subdivision Re Plat Application
PDF template
Official application form for subdivision re-platting in the City of Wildwood, Florida, used to request land parcel reconfiguration.
See template
See template
IMPACT GRANT APPLICATION FORM
PDF template
A comprehensive form for submitting grant proposals at Ridge Meadows Hospital with detailed sections for applicant information, project summary, and departmental approvals.
See template
See template
GSU Scholarship Program Application Form
PDF template
Scholarship application form for members of the Grain and General Services Union and their spouses for educational support.
See template
See template
Spotlight On Education Competition Interview Form
PDF template
A structured interview form for students to document professional insights during a career exploration competition.
See template
See template
Agreement Form For Contracted Services
PDF template
Contract for i-Ready educational licenses, Teacher Toolbox, and Professional Development services for Indian River County School Board
See template
See template
2023 2024 At Large Membership Form
PDF template
Membership enrollment form for United Faculty of Florida, allowing non-bargaining unit members to join professional education associations.
See template
See template
2023 2024 LOW INCOME FAMILY BUDGET FORM
PDF template
A form for students to provide detailed household income and expense information to support financial aid eligibility assessment.
See template
See template
School District Budget Resolution
PDF template
Official budget document for a school district in Illinois, detailing fiscal year financial planning and resolution.
See template
See template
Annual Performance Review Form
PDF template
Comprehensive performance assessment document for evaluating employee performance across multiple competency areas.
See template
See template
Core Trainings Registration And Reimbursement Form
PDF template
Form for registering and requesting reimbursement for professional training programs for Education Minnesota members.
See template
See template
2023 2024 Membership Form Organizations
PDF template
Membership form for organizations to join the Minnesota Association of Black Lawyers (MABL) with various membership levels and mission alignment questions.
See template
See template
2023 Armenian Fellowship Application Form
PDF template
A comprehensive application form for individuals seeking fellowship funding from the H.Hovnanian Family Foundation for professional and academic development.
See template
See template
2023 Armenian Fellowship Application Form
PDF template
A comprehensive application form for individuals seeking fellowship grants from the H.Hovnanian Family Foundation to support academic and professional development.
See template
See template
ASCVTS Bundang Thoracic Fellowship Program Application Form
PDF template
Application form for medical professionals seeking a fellowship in cardiovascular and thoracic surgery with the Asian Society for Cardiovascular and Thoracic Surgery.
See template
See template
Hawaii Board Of Optometry Continuing Education Form
PDF template
Form for optometrists to document and report continuing education credits for license renewal period
See template
See template
2023 COMMITTEE SPECIAL TASK VOLUNTEER FORM
PDF template
Volunteer form for Nevada County Association of REALTORS committees and special tasks for 2023.
See template
See template
FY 2024 25 Corrections
PDF template
Fiscal analysis of the Michigan Department of Corrections budget for fiscal year 2024-25, detailing appropriations and funding sources.
See template
See template
FY 2024 25 CORRECTIONS Summary As Passed By The House
PDF template
Budget summary document for Michigan Department of Corrections fiscal year 2024-25, detailing appropriations and budget allocations.
See template
See template
Application For Employment Non Teaching Position
PDF template
Comprehensive job application form for non-teaching positions with detailed personal, professional, and child protection sections.
See template
See template
2023 OCCE Membership Form
PDF template
Membership application for chamber of commerce professionals in Oklahoma, offering professional development and networking opportunities.
See template
See template
UWG FacultyStaff Gift By Payroll Deduction Form
PDF template
A form for UWG employees to authorize charitable donations through payroll deduction, supporting university funds like Annual Fund or HelpWest.
See template
See template
PY2023 Public Service Application Detailed Budget
PDF template
A comprehensive budget application form for the Community Development Block Grant (CDBG) program, detailing personnel, travel, operating costs, and funding sources.
See template
See template
PW Hong Memorial Fellowship Program Application Form
PDF template
Application form for medical professionals seeking a fellowship with the Asian Society for Cardiovascular and Thoracic Surgery
See template
See template
20232024 School Year Budget Form
PDF template
A comprehensive budget form for students to document their anticipated income, funding sources, living costs, and program expenses for the upcoming school year.
See template
See template
Brother Joseph Miggins Service Program Proposal Form
PDF template
A student proposal form for documenting community service project details and intended service activities.
See template
See template
Undergraduate Honors Thesis Proposal Form
PDF template
A form for undergraduate students to propose and get approval for an honors thesis in music at Harvard University.
See template
See template
Instructions For Preparing A Proposal Of Strategic Basic Research Programs ACT X
PDF template
Guidelines for submitting research proposals for Strategic Basic Research Programs in fiscal year 2023, with detailed submission instructions and requirements.
See template
See template
2024 2025 Budget Request Instructions
PDF template
Comprehensive budget request form for student clubs outlining club information, event planning, and funding requirements.
See template
See template
TASBO Membership And Professional Liability Insurance Form
PDF template
Membership registration form for Texas Association of School Business Officials with optional professional liability insurance coverage
See template
See template
2024 2025 Personal Check Membership Form
PDF template
Membership form for University Faculty Federation (UFF) allowing faculty members to pay annual dues via personal check.
See template
See template
RC 10 SUSTAINING MEMBERSHIP FORM
PDF template
A membership registration form for retired education professionals to join NYSUT Retiree Council 10 with options for membership and scholarship donation.
See template
See template
2024 2026 FAIR Fellowship Job Description
PDF template
A unique 18-month fellowship for new attorneys to work in employment justice, supporting diversity in the legal profession through placements at Legal Aid at Work and a CELA-affiliated firm.
See template
See template
Bluffton University Educator Preparation Program Handbook 2024 2025
PDF template
A comprehensive guide for students pursuing teaching certification at Bluffton University, detailing program requirements, admission checkpoints, and professional expectations.
See template
See template
IBA Experience And Exchange Grant Application Form
PDF template
Grant program supporting biologists and wildlife managers in bear conservation through international project exchanges and training opportunities.
See template
See template
The CBF Kimball R. Anderson And Karen Gatsis Anderson Public Interest Law Fellowship 2024 Applicatio
PDF template
An application form for lawyers seeking a public interest law fellowship, collecting professional and educational details.
See template
See template
NRPA Annual Conference Registration Form
PDF template
Registration form for professionals in parks, recreation, and related fields to attend the annual conference.
See template
See template
2024 Arizona EL Teacher Of The Year Nomination Form
PDF template
Nomination form for recognizing outstanding English Language teachers in Arizona for the 2024 award year.
See template
See template
2024 Local Development Grant Application Form
PDF template
A grant application form for local development funding, focused on addressing poverty through institutional change.
See template
See template
Conference Registration And Invoice Form
PDF template
Registration form for a professional conference with multiple attendance options and pricing tiers
See template
See template
FIDA Application Form
PDF template
Application form for submitting project proposals to the Fund for the International Development of Archives (FIDA), an initiative of the International Council on Archives (ICA).
See template
See template
2024 MEMBER NOMINATION FORM
PDF template
A form for nominating new members to the National Academy of Social Insurance, requiring three active Academy member nominations.
See template
See template
Faculty Led Incident Report Form
PDF template
A form for faculty and staff to document and report incidents involving students at Cal Poly Pomona.
See template
See template
APSA Membership Form
PDF template
Membership form for joining the American Political Science Association, collecting personal and professional information from potential members.
See template
See template
National Recreation And Park Association CPRP And CPRE Grant Application Form
PDF template
A grant application form for professional certification in recreation and park management through CPRP and CPRE programs.
See template
See template
Annual Awards Nomination Form
PDF template
Nomination form for the Northern New England Chapter of the American Planning Association annual awards recognizing outstanding contributions in planning.
See template
See template
Purchase Order Request
PDF template
A form for requesting and processing vendor purchases for various school departments and locations.
See template
See template
TRAPS Conference Registration Form
PDF template
Registration form for professional conference with multiple track sessions and fee structure for members, non-members, and students.
See template
See template
St. Charles Park District Registration Form
PDF template
Registration form for participating in St. Charles Park District programs and activities, including waiver and participant information.
See template
See template
2024 RESPONSIVE RESIDENCY APPLICATION FORM
PDF template
Application form for artists seeking a residency opportunity connected to New South Wales, with demographic and professional details collection.
See template
See template
NECA Scholarship Application
PDF template
Scholarship opportunity for employees or family members of NECA member companies to support post-secondary education.
See template
See template
2024 Covenant Midwinter Conference Scholarship Application Form
PDF template
Scholarship application for Evangelical Covenant Church clergy to attend the Midwinter Conference with specific eligibility requirements and financial need assessment.
See template
See template
ITEA Registration Form
PDF template
Registration form for the International Test and Evaluation Association (ITEA) event with tutorial and workshop registration options.
See template
See template
UMF Development Fund Loan Application
PDF template
Comprehensive loan application for religious institutions seeking funding through the UMF Development Fund, requiring detailed institutional information and financial history.
See template
See template
FY2024 Instructions For Preparing A Proposal Of Strategic Basic Research Programs ACT X
PDF template
Guidelines for submitting research proposals for the FY2024 Strategic Basic Research Programs, providing detailed submission requirements and instructions.
See template
See template
2025 2027 FAIR Fellowship Application
PDF template
An 18-month fellowship promoting diversity and employee justice for new attorneys, providing work experience at Legal Aid at Work and a CELA-affiliated employment law firm.
See template
See template
2025 Membership Form
PDF template
Membership form for the Columbia Basin Development League with various membership levels and business categories.
See template
See template
ASQ Certification Examination Fees And Registration Form
PDF template
Registration form for ASQ professional certification exams with pricing details and payment options for various certification types in 2025.
See template
See template
State Of Kansas City 2025 Budget Summary
PDF template
Detailed budget document outlining proposed expenditures and tax rates for various city funds in the 2025 fiscal year.
See template
See template
2025 ABC Travelling Fellowship Application Form
PDF template
Application for Canadian orthopaedic surgeons to participate in an international medical exchange fellowship program in the United Kingdom, Australia/New Zealand, or South Africa.
See template
See template
2025 Hall Of Honor Nomination Form
PDF template
Nomination form for recognizing retired faculty or staff members for induction into California State University, Chico's Hall of Honor.
See template
See template
2025 Summer Grant Information Packet
PDF template
A professional development grant program for faculty that supports scholarly and creative inquiry in alignment with the university's teacher-scholar model.
See template
See template
2025 UC Coro Systemwide Leadership Collaborative Online Nomination Form Preview
PDF template
A leadership development program for UC senior staff, faculty, and academic personnel designed to enhance leadership skills and foster cross-organizational collaboration.
See template
See template
FORM A PROPOSAL FORM
PDF template
A form for students to submit their honors thesis proposal and indicate graduation details for the Fulbright College Honors Program.
See template
See template
2045 LRTP Candidate Project Form
PDF template
A comprehensive form for submitting and documenting potential transportation infrastructure projects for long-range transportation planning.
See template
See template
General Policy On Faculty Evaluation
PDF template
Policy describing the annual job description and performance review process for faculty at Lewis-Clark State College.
See template
See template
Board Member Estimated Expense Approval Form
PDF template
A form for school board members to request and document travel expense reimbursements and approvals.
See template
See template
School Board Exhibit Resolution To Regulate Expense Reimbursements
PDF template
A resolution establishing guidelines for travel, meal, and lodging expense reimbursements for school board members and district staff.
See template
See template
Benefits Administration Letter 21 303
PDF template
Guidelines for federal agencies seeking reimbursement for emergency paid leave under the American Rescue Plan Act of 2021.
See template
See template
RFP 22 0022 Transportation Program Services For Aging (SCDOA)
PDF template
Sedgwick County is seeking firms to provide contractual transportation rides for the Department on Aging through a competitive proposal process.
See template
See template
RFP 22 0056 Transportation Program Services For Aging (SCDOA)
PDF template
Sedgwick County is seeking a firm to provide contractual transportation rides for the Department on Aging.
See template
See template
Request For Proposals (RFP) 22 103 Contract Lifecycle Management System
PDF template
Request for proposals for a contract lifecycle management software system to improve contract management processes at Mississippi State University.
See template
See template
McAfee School Of Business Faculty Directory And Academic Overview
PDF template
Comprehensive overview of faculty, degree programs, and mission statement for the McAfee School of Business.
See template
See template
2022 23 Budget Form LC 2 Instructions
PDF template
Instructions for completing the Nebraska school district budget lid computation form to verify budget compliance with state regulations.
See template
See template
Request For Proposal Package
PDF template
Guidelines and instructions for submitting a proposal to the Rhode Island Public Transit Authority for insurance broker services.
See template
See template
2023 2024 Alternative Loan Budget Form
PDF template
A financial aid form for students to provide information for loan and scholarship eligibility at the University of Houston-Downtown.
See template
See template
2023 2024 Budget Increase Request Form
PDF template
A form for students to request an increase in their financial aid budget based on additional educational expenses.
See template
See template
2023 24 Budget Form LC 2 Instructions
PDF template
Guidance for school districts in Nebraska to complete the Lid Computation Form LC-2, which verifies budget compliance with state regulations.
See template
See template
Performance Review Of Full Time Non Instructional Employees
PDF template
Procedure for conducting annual performance reviews of full-time non-instructional employees at the organization.
See template
See template
APWA Emerging Leaders Academy Agreement Form
PDF template
Agreement form for applicants seeking participation in the APWA Emerging Leaders Academy program for Class XVII.
See template
See template
PRO D WORKSHOP BOOKING FORM
PDF template
A form for registering and documenting details of a professional development workshop or training session.
See template
See template
Technical Assistance Center (TAC) Cost Proposal RFP 24 017a
PDF template
A detailed budget proposal template for a technical assistance center project, outlining costs for salaries, services, supplies, travel, and employee benefits.
See template
See template
Budget Workshop Upload Authorization Form
PDF template
A form delegating authority to the Indiana Department of Local Government Finance to upload budget-related financial documents through the Gateway Budget Application.
See template
See template
Review Of Proposed Lease For A 1,000 Bed Shelter At Kettner And Vine Site
PDF template
Independent Budget Analyst report evaluating the financial implications of a proposed long-term lease for a 1,000-bed emergency shelter in San Diego.
See template
See template
2024 2025 Alternative Loan Budget Form
PDF template
A financial aid form for students to provide information for loan budget calculation and eligibility assessment for the 2024-2025 academic year.
See template
See template
Teaching Excellence Award Nomination Form
PDF template
A form to nominate full-time or adjunct faculty for recognition of outstanding teaching performance at Pensacola State College.
See template
See template
Cost Of Attendance Adjustment Form
PDF template
A form for students to request budget review for unusual financial expenses not included in standard financial aid calculations.
See template
See template
BOI Policy 70.752 Montana Housing Infrastructure Revolving Loan Program
PDF template
Policy detailing loan conditions for residential development infrastructure projects, including loan limits, requirements, and application process.
See template
See template
PRO D WORKSHOP BOOKING FORM
PDF template
A form for educators to submit and book professional development workshops for various educational audience groups.
See template
See template
Neighborhood Participation Meeting Sign In Sheet
PDF template
A sign-in sheet for documenting participant attendance at a proposed neighborhood project meeting, with a disclaimer about meeting participation.
See template
See template
Massachusetts Collaborative CTCTAMRIMRA Prior Authorization Form
PDF template
A comprehensive form for requesting prior authorization for medical imaging studies including CT, MRI, CTA, and MRA scans.
See template
See template
Appendix A Internship Contact Form
PDF template
A comprehensive form for documenting student internship details, agency information, and preceptor contact information.
See template
See template
Workshop Attendance Form
PDF template
A form for students in the PACT program to document their attendance at required workshops and reflect on their learning experience.
See template
See template
Performance Management Policy And Procedures
PDF template
A comprehensive policy detailing the yearly performance review process for employees at Columbus State Community College, including goal setting, self-appraisal, and performance rating.
See template
See template
Procedure 307 01 Faculty Evaluation
PDF template
Comprehensive procedure outlining the evaluation process for full-time, part-time, and dual-enrollment faculty members at the college.
See template
See template
Excel Capital Expenditure Request Form Template
PDF template
A template form for requesting and documenting capital expenditure projects with multi-year financial analysis.
See template
See template
Performance Evaluation Form Executive Director Chief Executive Officer
PDF template
A comprehensive performance evaluation template for assessing the performance of an executive director or chief executive officer in a professional association.
See template
See template
University Wide Peer Evaluation Form
PDF template
A comprehensive peer evaluation form for assessing university faculty performance across multiple teaching dimensions.
See template
See template
Employee Performance Review Form Appendix 324A
PDF template
A comprehensive form for evaluating employee performance, goals, and professional development
See template
See template
Annual Report Of Faculty Member At Francis Marion University
PDF template
A comprehensive reporting form for faculty members to document their teaching, scholarly activities, and professional services for the academic year.
See template
See template
New Faculty Quick Guide
PDF template
Comprehensive guide for new faculty members at University of California, Santa Cruz, covering essential onboarding resources and initial steps.
See template
See template
Online Advisory Board (OAB) Assessment Form And Rubric
PDF template
A form for instructors to complete a comprehensive review and assessment of an online course for administrative review and approval.
See template
See template
Budget Form 1 Guidelines For Preparation Of Budget Forms
PDF template
Comprehensive instructions for preparing budget forms for a grant proposal, detailing required documentation and form completion process.
See template
See template
33541 30 08.1 Faculty Evaluation Procedure
PDF template
A comprehensive procedure for evaluating faculty performance across multiple dimensions, emphasizing diverse assessment methods and professional development.
See template
See template
SOLICITATION NUMBER 363787 Staff Aug Shift Manager To Support ETF
PDF template
Request for proposal from Washington River Protection Solutions, LLC for a full-time Shift Manager position in support of the U.S. Department of Energy's Office of River Protection.
See template
See template
Expenditure Authorization Request
PDF template
Document requesting approval for various municipal expenditures over $75,000 for fiscal years 2024-2026, covering technology upgrades, memberships, and government relations services.
See template
See template
Application For Employment
PDF template
A sample job application form with an educational module focused on teaching students how to complete employment applications properly.
See template
See template
COMM 391 01E Fall 2023 (2008) AdvertisingPR Internship
PDF template
A university internship course providing supervised field experience in advertising and public relations for students to gain professional skills and industry knowledge.
See template
See template
Part Time Faculty Employment Offer Letter
PDF template
Official employment offer document outlining pre-employment requirements for part-time faculty candidate at Palomar College.
See template
See template
Natural Language Acquisition Assessment
PDF template
A form for evaluating and tracking language acquisition stages and utterance context for individuals.
See template
See template
SBIF APPLICATION FORM
PDF template
Application form for businesses and property owners seeking funding through the Small Business Improvement Fund (SBIF) program.
See template
See template
Procedure 410 19 Employee Volunteer And Education Leave
PDF template
A policy providing full-time employees with 8 hours of annual leave for volunteer and educational activities in the community.
See template
See template
4.1.13F GT Faculty Credential Approval Form
PDF template
A form for documenting and approving faculty credentials, qualifications, and teaching eligibility at Gwinnett Tech.
See template
See template
How To Receive Your Credit And Evaluate This Program
PDF template
Detailed instructions for obtaining continuing medical education credits online through a specific course evaluation process.
See template
See template
Intellectual Property Policy
PDF template
Policy defining ownership, protection, and licensing of intellectual property created by university personnel using university resources.
See template
See template
Grant Application Detailed Budget
PDF template
Comprehensive budget form for documenting grant expenses across multiple categories and funding sources for a housing and urban development project.
See template
See template
Phase II Energy Solutions RFP 2016 43
PDF template
A request for proposal by the University of Maine System for energy solutions, seeking competitive bids for a Phase II project.
See template
See template
Consolidated Application Attachment Market Assessment Form
PDF template
A comprehensive document for assessing market conditions, housing demographics, and competitive housing landscape for development proposals.
See template
See template
OFTC Performance Evaluation Procedure
PDF template
Procedure for conducting performance evaluations for full-time and part-time employees at Oconee Fall Line Technical College, including goals, frequency, and purpose of evaluations.
See template
See template
New Faculty Orientation Checklist Form 4.5
PDF template
A comprehensive checklist for new faculty onboarding in a nursing educational setting, covering administrative, technological, and clinical orientation tasks.
See template
See template
Amendment To Implementation Letter
PDF template
Official amendment to a development credit agreement between the Republic of Honduras and the International Development Association for the PROFUTURO project.
See template
See template
Observation Feedback Form
PDF template
A comprehensive evaluation form for assessing instructor teaching performance and classroom effectiveness.
See template
See template
MERIT BADGE PROPOSAL
PDF template
A document outlining the process and considerations for proposing new merit badges within the Scouts BSA organization.
See template
See template
Loan Agreement
PDF template
Loan agreement between the Democratic Socialist Republic of Sri Lanka and the Asian Development Bank for a secondary education sector improvement program.
See template
See template
GT Faculty Credential Approval Form
PDF template
Form for documenting and verifying faculty credentials and employment information at Gwinnett Tech
See template
See template
Employee Estimated Expense Approval Form
PDF template
A form for employees to request approval and reimbursement for estimated travel and business expenses.
See template
See template
560 Expenses
PDF template
Policy governing employee expense reimbursement, travel costs, and advancement procedures for the Kenilworth School District.
See template
See template
Employee Evaluation Plan Policy And Procedures
PDF template
A comprehensive policy outlining the process and purpose of annual employee performance evaluations at Davis Technical College.
See template
See template
5 GM.Performance.Eval.Pro T0 20.1.5
PDF template
A proposal to help a Board of Directors conduct a Performance Evaluation of its General Manager, outlining a structured evaluation process.
See template
See template
Development Agreement
PDF template
A template agreement between Groveland Community Services District and a developer for municipal services and infrastructure for a residential project.
See template
See template
Instructional Responsibilities Formal Evaluation Instrument For Adjunct Teaching Faculty
PDF template
A comprehensive evaluation instrument assessing teaching performance across design, delivery, management, and professional relationships.
See template
See template
Call For Presenters Submission Form
PDF template
A submission form for speakers to present in a weekly business webinar series hosted by the Washington Center for Women in Business.
See template
See template
Employee Performance Appraisals
PDF template
A policy outlining the process for conducting employee performance evaluations, including objectives, scope, and procedural guidelines for performance assessments.
See template
See template
Administrative Internship Application Form
PDF template
A comprehensive application form for individuals seeking an administrative internship in an educational setting.
See template
See template
DOH 669 403 Pharmacology Continuing Education Report Form
PDF template
A form for nurses to report and verify completion of required continuing education hours in pharmacology.
See template
See template
66 R 4 Student Senate Resolution In Support Of The Student Organization Commission Segregated Fee Bu
PDF template
A student senate resolution supporting a change in the segregated funding budget form used by the Student Organization Commission at UW-Eau Claire.
See template
See template
Massage School ProgramApprenticeship Standards Checklist
PDF template
A comprehensive checklist for massage therapy education programs detailing curriculum, academic, faculty, and student clinic standards.
See template
See template
Procedures Purchasing, Procurement And Reimbursements
PDF template
Comprehensive guide detailing procedures for purchasing and procurement within an organization, outlining purchase categories, approval processes, and responsible parties.
See template
See template
REQUEST FOR PROPOSAL Juvenile Justice Information System
PDF template
Request for proposal by Arkansas Department of Human Services for a Juvenile Justice Information System procurement solicitation.
See template
See template
MCLE Activity Evaluation Form
PDF template
Evaluation form for a continuing legal education activity reviewing the Supreme Court's 2020-2021 term
See template
See template
West Kern Community College District Board Of Trustees Meeting Minutes
PDF template
Minutes documenting the regular meeting of the West Kern Community College District Board of Trustees, including discussions and approvals of various district matters.
See template
See template
7560.1 REV 1 PHA Responsibilities
PDF template
Instructions for Public Housing Authorities (PHAs) on preparing and submitting fund requisition forms for development and modernization projects.
See template
See template
NEH Budget Form
PDF template
Budget form for documenting project costs and funding from the National Endowment for the Humanities for an educational project.
See template
See template
National Endowment For The Humanities Budget Form
PDF template
Budget form for a project involving Anne Arundel County Public Schools and Maryland State Archives, detailing project costs and funding sources.
See template
See template
IT Spend And Infrastructure Breakdown
PDF template
Annual financial report detailing technology infrastructure spending across hardware, software, and IT services for two consecutive fiscal years.
See template
See template
Purchasing Policy 803.1
PDF template
Comprehensive policy for purchasing commodities and services at Bismarck State College, outlining procurement requirements based on purchase price thresholds.
See template
See template
Fellowship Nomination Form
PDF template
A nomination form for achieving Fellowship status with the Chartered Institute of Bankers of Nigeria, outlining criteria, benefits, and expectations for professional recognition.
See template
See template
Security Incident Report
PDF template
Official form for documenting security incidents at the Mississippi State Department of Health's Office of Health Informatics.
See template
See template
Leyden Community High School District 212 Regular Board Of Education Meeting Agenda
PDF template
Agenda for the regular meeting of Leyden Community High School District 212 Board of Education, including budget hearing and policy approvals.
See template
See template
Hiring A Person With A Non Compete Agreement
PDF template
Comprehensive guide for legal professionals on navigating hiring of employees with existing non-compete agreements.
See template
See template
Grantee Budget Form
PDF template
Detailed budget form for documenting research grant expenses and personnel allocations across various cost categories.
See template
See template
Joint Committee Meeting Agenda
PDF template
Agenda for a multi-committee meeting discussing budget, contracts, and operational matters for a local government or organization.
See template
See template
REQUEST FOR PROPOSAL FOR HOSTED WATER UTILITY BILLING PAYMENT IVR SYSTEM
PDF template
Request for proposal by City of Antioch for a hosted interactive voice response system for utility billing payments.
See template
See template
Benefits Administration Letter 99 101
PDF template
Official guidance from the Office of Personnel Management addressing common documentation problems in Federal Employees Retirement System (FERS) applications and retirement claims.
See template
See template
Input Sheet For City1.XLS Budget Form
PDF template
Budget input form for a city, capturing financial details, fund names, tax levies, and expenditure information for the fiscal year 2014.
See template
See template
Conference And Travel RequestExpense Claim Form
PDF template
A comprehensive form for requesting and claiming conference and travel expenses for district employees.
See template
See template
Certificate Of License Termination
PDF template
Official form for businesses in Virginia to terminate or change their contractor license status with the Department of Professional and Occupational Regulation.
See template
See template
AZA Standardized Research Application Form
PDF template
A comprehensive form for facilitating research proposal submissions by AZA accredited zoos and aquariums, designed to streamline the application and review process.
See template
See template
Request For Proposal For An ISUOG Learning Management System (LMS)
PDF template
A request for proposals to develop a comprehensive Learning Management System for the International Society of Ultrasound in Obstetrics and Gynecology (ISUOG)
See template
See template
Course Proposal Form Instructions
PDF template
Comprehensive instructions for submitting new or revised course proposals to the Academic Affairs Committee at an educational institution.
See template
See template
THE AAFFABER YOUNG CONDUCTORS FELLOWSHIP APPLICATION FORM 2024
PDF template
Application form for the AAF Young Conductors Fellowship program for emerging conductors born in 1994 or later.
See template
See template
AASB Resolution Submission Form
PDF template
A form for submitting new resolutions, amendments, or comments to an organizational body.
See template
See template
Grant Request Budget Form
PDF template
Budget form for administrative grant funding for courthouse lactation room installations under AB196.
See template
See template
Administrative Bulletin 91 3 Guidelines For Student Evaluation Of Faculty
PDF template
Official University guidelines for conducting student evaluations of faculty members at California Polytechnic State University to improve instructional quality and support personnel decisions.
See template
See template
TCSPP Advanced Applied Project Manual
PDF template
A capstone project manual for master's students demonstrating mastery of clinical and academic material at The Chicago School of Professional Psychology.
See template
See template
Application Form For Board Certification As A Specialist Child Language
PDF template
Application form for professionals seeking board certification in child language specialization from the American Board of Child Language and Language Disorders.
See template
See template
ABPN Continuing Certification (CC) Audit Guidelines
PDF template
Guidelines for the American Board of Psychiatry and Neurology's annual certification audit process for diplomates in the Continuing Certification Program.
See template
See template
Directions For Completing An ABPN Feedback Module
PDF template
Instructions for psychiatry and neurology professionals to complete a three-step feedback module for professional performance improvement.
See template
See template
Directions For Completing An ABPN Feedback Module
PDF template
Instructions for psychiatry and neurology professionals to complete a three-step feedback and improvement process for maintaining certification.
See template
See template
Directions For Completing An ABPN Feedback Module
PDF template
Instructions for psychiatry and neurology professionals to complete a peer or patient feedback module for continuous certification.
See template
See template
Annual Budget Plan
PDF template
Detailed budget plan for special education funding and expenditures for fiscal year 2019-20 by the California Department of Education.
See template
See template
Evaluation Form For Continuing Professional Education Credit
PDF template
Evaluation form for participants of the 2022 National Council of State Housing Agencies Annual Conference to assess conference quality and track professional education credits.
See template
See template
ACA SS PD Committee Guidelines
PDF template
Guidelines for managing professional development funds and activities for academic faculty, detailing eligible expenses and funding allocation.
See template
See template
Clark Atlanta University Academic Program Proposal Guidelines
PDF template
Guidelines for proposing and approving new and revised academic programs at Clark Atlanta University with detailed review and routing protocols.
See template
See template
Research Proposal Form (For Projects Using CentRIC Datasets)
PDF template
A proposal form for researchers seeking to use datasets from the Centre for Psychosocial Research in Cancer (CentRIC+)
See template
See template
Preliminary Research Proposal Form (For Projects Using CentRIC Datasets)
PDF template
A form for researchers to submit preliminary research proposals using datasets from the Centre for Psychosocial Research in Cancer.
See template
See template
RESEARCH GRANT APPICATION FORM
PDF template
Guidelines and application procedures for research grants at Cameron University for faculty, staff, and faculty-sponsored students.
See template
See template
ERAIDER REQUEST FORM
PDF template
Form for non-TTUHSC employees to request an eRaider account, specifying access requirements and responsibilities.
See template
See template
ACCIDENT WAIVER AND RELEASE OF LIABILITY FORM
PDF template
A legal document that releases event organizers from liability and assumes personal risk for participation in an activity.
See template
See template
Terms Of Reference (ToR) Internship Program
PDF template
Internship program offered by ASEAN Centre for Energy for outstanding students to gain international work experience in the energy sector.
See template
See template
Ocean County Achievement Center Inquiry Form
PDF template
Registration form for educational programs at Ocean County Achievement Center, covering participant details, education, and employment information.
See template
See template
Acknowledgement Of Risk And Waiver Of Liability
PDF template
A comprehensive guide for campus departments on using risk and liability waivers for various activities involving physical activity, travel, or minors.
See template
See template
Activity Participation Waiver
PDF template
A legal document that outlines participant risks and releases the organization from liability during an activity
See template
See template
Expression Of Interest Aboriginal Community Liaison Officer (ACLO) Positions
PDF template
An expression of interest for short-term temporary Aboriginal Community Liaison Officer positions within the NSW Department of Education's Student Support & Specialist Programs area.
See template
See template
INTERVIEW FORM DESIGNEE
PDF template
A structured interview form for evaluating potential commercial real estate professionals for SIOR membership eligibility.
See template
See template
Activity Approval Form
PDF template
A comprehensive form for requesting and approving school-related activities, detailing transportation, facilities, and personnel needs.
See template
See template
Continuing Education Activity Attendance Form
PDF template
A form used to track and document participation in continuing education sessions with details of individual sessions and total time spent.
See template
See template
ACTIVITYPROGRAM RELEASE And WAIVER FORM
PDF template
A legal document for releasing liability and obtaining consent for participation in organizational activities or programs.
See template
See template
Activity Waiver Form (Release, Waiver And Covenant Not To Sue)
PDF template
A legal document that releases Cape Fear Community College from liability for risks associated with participating in an activity or event.
See template
See template
Naugatuck Valley Activity Waiver Form
PDF template
A comprehensive waiver form for students participating in college-sponsored activities, covering transportation, emergency contacts, and liability release.
See template
See template
ACT Parental Consent Form Guidance
PDF template
Guidance for school districts on obtaining parental consent for ACT testing and educational services for students under 18 years old.
See template
See template
Parental Consent Form For ACT State Administration
PDF template
Guidance for Kentucky school districts on obtaining parental consent for ACT test-related services for students under 18 years old.
See template
See template
Actual Expense Transfer Request Form
PDF template
Form for correcting, allocating, and transferring actual expense posted transactions within an organization.
See template
See template
REQUEST FOR PROPOSAL FOR THE APPOINTMENT OF DIGITAL MAGAZINE PUBLISHING AGENCY AT INSTITUTE OF ACTUA
PDF template
Request for Proposal document for selecting a digital magazine publishing agency for the Institute of Actuaries of India.
See template
See template
REQUEST FOR PROPOSALS Interactive Voice Response System
PDF template
A request for proposals for an Interactive Voice Response (IVR) system for the Duluth Transit Authority with updated proposal submission details.
See template
See template
REQUEST FOR PROPOSALS Supply And Install Telecommunications System
PDF template
Request for proposals for a telecommunications system procurement with potential cloud-based or on-premises solution for Duluth Transit Authority.
See template
See template
PWC 2122051 Request For Proposals Demand Response Aggregation And Implementation
PDF template
Official addendum modifying specifications and proposal documents for a public works commission request for proposals on demand response services.
See template
See template
Addendum No. 4 To The Payroll Banking And Related Services RFP
PDF template
Formal addendum extending proposal deadline and providing additional documents for a payroll banking services RFP for the City of New York.
See template
See template
AdditionalOutside Employment During Leave Request Form
PDF template
Form for faculty to request additional or outside employment during an approved leave period
See template
See template
Request For Proposals National Mortgage Settlement Funds
PDF template
Detailed budget proposal form for applicants seeking funds from the National Mortgage Settlement program, requiring comprehensive financial documentation.
See template
See template
ADD Written Case History Submission Form
PDF template
A formal document for trainees in the Certificate of Advanced Training in Addiction Psychiatry to submit a written case history for review.
See template
See template
2009 ADEA Award And Fellowship Application Form For Allied Dental And Dental Educators And Dental Sc
PDF template
Comprehensive application form for various dental education awards and fellowships offered by ADEA and corporate sponsors in the dental field.
See template
See template
MS Culminating Project Proposal Form
PDF template
Form for Master's students to propose their final statistical research project in the Ad Hoc MS in Applied Statistics program.
See template
See template
Adjunct Faculty Evaluation Form 2 2017
PDF template
Comprehensive evaluation form for assessing adjunct faculty performance across teaching, research, service, and administrative roles.
See template
See template
Adjunct Or G.A.T. Teaching Evaluation Form
PDF template
A comprehensive form for evaluating the performance of adjunct or graduate assistant teachers in an academic setting.
See template
See template
Winthrop University Adjunct Faculty Annual Report Form
PDF template
A comprehensive reporting form for adjunct faculty to document teaching, scholarly work, professional service, and academic responsibilities
See template
See template
Ogden College Adjunct Faculty Nomination Form
PDF template
A form used to nominate potential adjunct faculty members for Ogden College, requiring details from both nominator and nominee.
See template
See template
PSC CUNY Welfare Fund Adjunct Enrollment Form
PDF template
Health benefits enrollment form for adjunct faculty members at CUNY with dental and health plan options
See template
See template
Analytical And Diagnostics Laboratory (ADL) Application For Small Grants To Cover User Fees
PDF template
Grant application for faculty research support to cover user fees at the Analytical and Diagnostics Laboratory, offering up to $2,500 for research-related expenses.
See template
See template
CERTIFIED STAFF HANDBOOK
PDF template
A comprehensive guide outlining district policies, procedures, employment benefits, and professional standards for certified staff members.
See template
See template
South Dakota Mentoring Program Administrators Approval Form
PDF template
A form for approving and pairing mentors and new teachers in the South Dakota Department of Education Statewide Mentoring Program.
See template
See template
Daemen College Employee Evaluation Instruction
PDF template
A comprehensive performance evaluation form for administrative personnel at Daemen College, detailing assessment criteria and development goals.
See template
See template
Administrative Evaluation Form (Part Time, LTS And Tenured Faculty)
PDF template
Administrative evaluation form for assessing faculty performance in professional responsibilities at Peralta Community College District.
See template
See template
Administrative Evaluation Form (For Part Time, LTS And Tenured Counseling Faculty)
PDF template
A form for evaluating part-time, long-term substitute, and tenured counseling faculty on their professional responsibilities and performance.
See template
See template
Administrative Procedures 29 Interns And Shadows
PDF template
Policy describing the involvement of student interns and shadows with the Illinois Department of Children and Family Services, outlining their roles, purposes, and guidelines.
See template
See template
Administrator Agreement Form Teacher Induction Program
PDF template
A form for administrators to verify and support new teachers entering the Teacher Induction Program at California State University Fullerton.
See template
See template
Administrative Tuition Reimbursement Form
PDF template
Form for David Douglas School District employees to request tuition reimbursement for job-related courses and professional development.
See template
See template
Professional Activity Advance Travel Request
PDF template
A form for requesting and obtaining approval for professional development activities and associated travel expenses.
See template
See template
Family Leader Evaluation Form
PDF template
A survey form for evaluating the grant proposal review process and providing feedback on scientific proposals.
See template
See template
Budget Adjustment
PDF template
Comprehensive guide for increasing, decreasing, and transferring funds across budget categories, projects, and tasks.
See template
See template
AEP 4910 Independent Study For Honors Research Proposal
PDF template
A form for students in Applied and Engineering Physics to propose an independent research or honors thesis project.
See template
See template
Academic Federation Excellence In Undergraduate Teaching Award Nomination Form
PDF template
Official nomination form for recognizing outstanding undergraduate teaching excellence within an academic institution.
See template
See template
CAA Affiliated Society Membership Form
PDF template
Membership form for affiliated societies to join the College Art Association with tiered annual fees based on organization size.
See template
See template
Continuing Education Units (CEUs) Attendance Form For CEU Credit
PDF template
A form for tracking continuing education units for professionals attending the EHDI Conference for LSLS certification credits.
See template
See template
INTERN UNIVERSITY AGREEMENT
PDF template
A formal agreement outlining responsibilities and expectations for student interns, university supervisors, and internship agencies.
See template
See template
Purchasing Exception Report FY 2019
PDF template
Report detailing purchasing exceptions for scientific equipment during May-July 2019 fiscal period.
See template
See template
Performance Review For University Staff
PDF template
A comprehensive policy outlining the performance review process for university employees, focusing on evaluation, goal-setting, and professional development.
See template
See template
Agent Authorization Form
PDF template
A form allowing landowners to authorize an agent to submit development applications on their behalf.
See template
See template
Instructions For Completion Of Application For Specified Service Authority Allied Health Professiona
PDF template
Detailed guidelines for completing an application for medical staff service authority for allied health professionals at Eaton Rapids Medical Center.
See template
See template
Author License Agreement Form
PDF template
A licensing agreement for authors publishing in American Institute for Conservation specialty group publications, granting publication rights to the publisher.
See template
See template
Estimated Project Budget Form
PDF template
A budget estimation form for cultural affairs projects with line items for various project expenses and donations.
See template
See template
New York State Nonpublic School Reimbursement Request Form For Academic Intervention Services (AIS)
PDF template
A form for nonpublic schools in New York State to request reimbursement for academic intervention services and professional development materials.
See template
See template
Summit Scholarship Application
PDF template
A scholarship program by the Appellate Judges Education Institute to support judges and attorneys with limited financial resources to attend educational programs.
See template
See template
Faculty Professional Development Proposal Form
PDF template
A form for faculty to outline professional development mentorship goals, activities, and expected outcomes
See template
See template
TCNJ Faculty And Staff Campaign Payroll Deduction Form
PDF template
A form enabling TCNJ faculty and staff to set up or modify payroll deductions for charitable donations to various campus programs and departments.
See template
See template
REVISED BUDGET FORM
PDF template
A form for documenting and revising budget line items for a fiscal year grant project.
See template
See template
STUDENT CLASS PROJECT PROPOSAL And REQUEST FORM Form ALP 111
PDF template
A form for students to propose and request facilities for class projects in the College of Arts and Letters at California State University, Los Angeles
See template
See template
STUDENT CLASS PROJECT PROPOSAL And REQUEST FORM Form ALP 111
PDF template
A form for students at California State University, Los Angeles to propose and request facilities for class projects in the College of Arts and Letters.
See template
See template
INTERNATIONAL SCHOLAR HEALTH INSURANCE COMPLIANCE FORM
PDF template
A form to verify health insurance coverage for international scholars at Florida International University with compliance requirements.
See template
See template
Alumni Feedback Form
PDF template
A comprehensive form collecting post-graduation information and feedback from university alumni about their career and educational experience.
See template
See template
Alumni Feedback Form
PDF template
A comprehensive feedback form for alumni of Genba Sopanrao Moze College of Engineering to provide insights about their educational experience and professional development.
See template
See template
Bethel Alumni Association Faculty Grant Information
PDF template
Guidelines for Bethel University faculty members applying for alumni association research and professional development grants for the 2023-2024 academic year.
See template
See template
Nomination For An AMA Award
PDF template
Official form for nominating medical professionals for various American Medical Association awards and recognitions.
See template
See template
Cost Proposal Form And Unbundled Service Hour Rate Form
PDF template
A detailed cost proposal form for transit service operations covering five years of service hour rates and operational expenses.
See template
See template
Achievement In Medical Education Program (AMEP) Advanced Level Progress Checklist
PDF template
A comprehensive checklist for tracking professional development and educational progress in medical education for advanced-level participants.
See template
See template
MAR Research Project Award
PDF template
A research funding opportunity for MAR members to pursue studies advancing clinical, professional, or disciplinary knowledge with grants up to $2,000.
See template
See template
Analysis Of Student Evaluations Of Student Teacher
PDF template
Comprehensive assignment for student teachers to collect, analyze, and reflect on student evaluations of their teaching performance.
See template
See template
Annexation And Extraterritorial Jurisdiction Related Inquiry
PDF template
A form for requesting information about potential property annexation and land use in Fort Worth, Texas.
See template
See template
Fellowship Application Form
PDF template
A comprehensive application form for fellowship candidates at the NATO Maritime Security Centre of Excellence, collecting personal, educational, and professional details.
See template
See template
Draft Guidance Fire Statement
PDF template
Guidance document for completing fire statements when applying for planning permission, focusing on fire safety matters relevant to land use planning.
See template
See template
Commercial Proposal Form
PDF template
A form for submitting commercial proposals for transport, treatment, and disposal of hazardous and non-hazardous chemicals.
See template
See template
Phi Delta Theta Annual Budget Form
PDF template
Annual budget form for tracking Phi Delta Theta fraternity chapter expenses and income for an academic term.
See template
See template
Faculty And Staff Payroll Deduction Form
PDF template
A form for faculty and staff to set up recurring payroll donations to the Millsaps Annual Fund or other designations.
See template
See template
Faculty Leave Request Form
PDF template
A form for faculty members to request various types of annual and professional leave with different options for scheduling and balance management.
See template
See template
Annual Professional Activity Report
PDF template
A comprehensive form for tracking faculty members' teaching, research, and service activities at Brandon University.
See template
See template
Annual Reporting Instructions
PDF template
Instructions for completing three essential documents during a curacy program, including reporting forms, skills checklist, and development plan.
See template
See template
Performance Evaluation Guidelines
PDF template
A comprehensive guide for conducting effective employee performance reviews, emphasizing continuous feedback and documentation.
See template
See template
Graduate Self Assessment Form
PDF template
A comprehensive self-assessment tool for graduate students to reflect on their professional and research skills, and discuss progress with their advisor.
See template
See template
RFQRFP For Museum Development Consultant
PDF template
Request for qualifications and proposals for a museum development consultant project in a preliminary stage of planning.
See template
See template
Graduate Student Evaluation Procedure
PDF template
Detailed procedure for annual evaluation of graduate students in the University of Florida's Anthropology Department, including self-reporting and faculty assessment.
See template
See template
AO Alliance (AOA) ORP Fellowship Application Form
PDF template
Application form for medical professionals seeking a fellowship with the AO Alliance in orthopedic and trauma surgery
See template
See template
AO Alliance (AOA) Surgeon Fellowship Application Form
PDF template
Application form for surgeons seeking a fellowship with the AO Alliance, requiring detailed professional and personal information.
See template
See template
Association Of Office Professionals Merit Nomination Form
PDF template
A form to recognize outstanding performance and service by employees within the Oregon State University community.
See template
See template
NOMINATION FORM FOR USM AOP EDUCATIONAL OFFICE PROFESSIONAL OF THE YEAR
PDF template
Official nomination form for selecting the University of Southern Maine (USM) Association of Office Professionals (AOP) Educational Office Professional of the Year.
See template
See template
AP 114.00 Performance Appraisals
PDF template
A comprehensive procedure for evaluating full-time classified employees annually, focusing on job performance assessment and professional development.
See template
See template
APA Bi Annual Report To Administrative Area Supervisor
PDF template
A bi-annual reporting document for administrators to document accomplishments, challenges, projects, and professional development
See template
See template
Make A Difference Volunteer Form
PDF template
A volunteer form for American Payroll Association members to select committees and task forces for professional involvement and contribution.
See template
See template
APK Intern Disciplinary Action Form
PDF template
A form used to document and track disciplinary actions for interns in an academic or professional setting.
See template
See template
WORK ORDER REQUEST FORM
PDF template
A form used to establish or revise work orders, detailing project scope, budget, and contractor information.
See template
See template
Institutional Review Board Proposal
PDF template
A comprehensive form for submitting research proposals to the Institutional Review Board at Elmhurst University for review and approval.
See template
See template
Project Proposal Review Form
PDF template
A form used by the National Park Service for reviewing and proposing projects related to the Appalachian National Scenic Trail.
See template
See template
Appendix 22 Member CEC Course Evaluation Form
PDF template
Form for members to submit details and evaluation of a continuing education course for credit assessment.
See template
See template
Appendix A Proposal Form
PDF template
Proposal document for design-build services for a parking guidance system at Philadelphia International Airport
See template
See template
Business Growth Accelerator (BGA) Proposed Program Budget Form
PDF template
A detailed budget form for program income, funding sources, and expenditures for the Business Growth Accelerator program.
See template
See template
Scholarship Fund Contribution Form
PDF template
A form allowing faculty members to authorize payroll deductions for contributing to a university scholarship fund.
See template
See template
NAPNAP Faculty Declaration Form
PDF template
A form for presenters to declare potential financial conflicts of interest and off-label drug or medical device discussions.
See template
See template
RAMAPO COLLEGE OF NEW JERSEY COMMON APPLICATION FORM
PDF template
Application form for faculty members seeking internal funding for professional development, sabbatical, or scholarship support at Ramapo College.
See template
See template
Instructions For Cost Reimbursement Budget Form And Budget Narrative
PDF template
Detailed guidelines for First 5 LA grantees on completing budget forms and budget narrative documentation for cost reimbursement agreements.
See template
See template
Faculty Grievance Complaint Form
PDF template
A formal complaint form for faculty members to report grievable actions at Colorado State University-Pueblo
See template
See template
ANNUAL FACULTY EVALUATION FORM
PDF template
A comprehensive evaluation form for assessing faculty members' performance across multiple professional dimensions.
See template
See template
PSCFA Membership Form
PDF template
Membership form for faculty to join the United Faculty of Florida union, outlining membership benefits and representation policy.
See template
See template
Advanced Practice Provider Fellowship Accreditation Application Form
PDF template
Application form for advanced practice provider fellowship programs seeking initial or renewed accreditation through the American Nurses Credentialing Center.
See template
See template
Course Application Form
PDF template
Guidelines for submitting a detailed proposal for a new graduate-level academic course at the University of Maryland.
See template
See template
Application For Admission
PDF template
Admission application for Executive MBA, Executive Diploma, and Executive CAS programs at the Institute of International Management and Technology (IIMT).
See template
See template
Phased Retirement Application And Reemployment Agreement
PDF template
A voluntary program allowing faculty to transition to half-time employment while beginning retirement benefits and maintaining institutional connection.
See template
See template
Employment Application Full And Part Time Faculty
PDF template
A comprehensive employment application form for full and part-time faculty positions at Galveston College, requiring detailed personal, educational, and professional information.
See template
See template
Artist In Residency Application Form
PDF template
Application form for artists seeking residency opportunity with Project Ability, detailing personal and professional information.
See template
See template
Application For Continuing Education Approval For Course Sponsors
PDF template
An application form for continuing education course sponsors seeking approval from the New Jersey State Board of Physical Therapy Examiners.
See template
See template
2024 ProvostS Teaching Learning Grant Application Form Interdisciplinary Teaching Initiatives
PDF template
A grant application form for faculty to propose collaborative, innovative teaching initiatives across different departments or schools with potential funding up to $20,000.
See template
See template
FHNO Institutional Fellowship Application Form
PDF template
Application form for fellowship in Head and Neck Oncology/Reconstructive Surgery with comprehensive applicant details collection.
See template
See template
Internship Application Form
PDF template
Application form for students pursuing administrative internships in educational settings across different school levels.
See template
See template
Chulabhorn Research Institute Fellowship Application Form
PDF template
A comprehensive application form for fellowship candidates at Chulabhorn Research Institute in Thailand, collecting personal, educational, and professional details.
See template
See template
CLE Skills Credit Application Form
PDF template
A form for law students to apply for skills credit by attending professional Continuing Legal Education (CLE) sessions.
See template
See template
Service Request Form
PDF template
A form for submitting and tracking information technology service requests within an organization.
See template
See template
Sunshine State Library Leadership Institute Year 17 DirectorDeanPrincipal Approval Form
PDF template
A form for approving candidate participation in the Sunshine State Library Leadership Institute for the 2022-2023 year.
See template
See template
Inter University PhD In Educational Studies Dissertation Proposal Approval Form
PDF template
A form used by academic committees to review and approve doctoral dissertation research proposals.
See template
See template
Approval Of Practicum Proposal Form
PDF template
A form for obtaining supervisory committee approval for a student's practicum project proposal.
See template
See template
Attachment B Price Proposal Form
PDF template
A pricing form for submitting cost details for a dispatch software proposal with breakdown of first-year and ongoing annual costs.
See template
See template
APPLICATIONS Service Request Form
PDF template
Internal form for requesting IT service and system modifications within an organization's technology infrastructure.
See template
See template
APTA Technology Terms And Conditions White Paper
PDF template
A white paper discussing technology-related terms and conditions for IT procurement contracts in public transit agencies.
See template
See template
Belmont Forum Registration Form
PDF template
Registration form for research project proposals under the Belmont Forum ARC 2024 initiative, covering project details and submission guidelines.
See template
See template
Draft Round 6 Proposal Form
PDF template
Official proposal form for the Sixth Call for Proposals by the Global Fund to Fight AIDS, Tuberculosis and Malaria, outlining guidelines for grant funding submissions.
See template
See template
Article 14A Regular Faculty Evaluations
PDF template
Comprehensive guidelines for evaluating regular faculty members in the Sonoma County Junior College District.
See template
See template
Article 14B Adjunct Faculty Evaluations
PDF template
Comprehensive guidelines for evaluating adjunct faculty members at Sonoma County Junior College District, detailing evaluation procedures and requirements.
See template
See template
Article 8 Performance Review
PDF template
Comprehensive policy detailing the process and goals of faculty performance reviews in an educational institution.
See template
See template
FacultyStaff Emergency Contact Form
PDF template
A form for collecting emergency contact details for LSU faculty and staff traveling internationally.
See template
See template
ASAP Budget Form
PDF template
A comprehensive budget form for tracking operational costs, programming, and strategic planning expenses across multiple categories.
See template
See template
ASCE NOMINATION FORM
PDF template
Nomination form for recommending an individual to Fellow Grade within the American Society of Civil Engineers (ASCE)
See template
See template
Fellowship Application Form
PDF template
Application for Fellowship membership in the Australian Society of Clinical and Experimental Pharmacologists and Toxicologists (ASCEPT)
See template
See template
ASE Organizational Membership Application
PDF template
Organizational membership application for multiple members from the same institution to join or renew ASE membership with various professional categories and pricing tiers.
See template
See template
ASE Membership Application Form
PDF template
Organizational membership application form for joining or renewing membership in the American Society of Echocardiography with various membership categories and pricing.
See template
See template
ISAAC Conference 2016 CEU Information
PDF template
Instructions and FAQ for obtaining continuing education units (CEUs) from the ISAAC 2016 conference for AAC and AT professionals.
See template
See template
2024 Resource Limited Country Membership Form
PDF template
Membership application form for the American Society of Human Genetics with categories for various academic and professional levels in genetics.
See template
See template
Ashland Professional Development Evaluation Form
PDF template
A comprehensive evaluation form for assessing the quality and impact of professional development courses and instructional sessions.
See template
See template
SCI Job Posting Submission Form
PDF template
A form for submitting job postings to the American Spinal Injury Association's job board with associated posting fees and submission instructions.
See template
See template
Internship Application
PDF template
A comprehensive application form for students seeking an internship in American Sign Language interpreting services
See template
See template
UNIVERSAL APPLICATION FOR LICENSE RENEWAL
PDF template
Official state form for professionals to renew their professional licenses in New Hampshire
See template
See template
ATHENA Award Nomination Instructions
PDF template
Comprehensive instructions and form for nominating women leaders for the ATHENA Award in Henderson County, recognizing excellence in professional and community achievement.
See template
See template
How To Use Atlas Online Testing Center Referral Form
PDF template
Instructional guide for faculty to submit exams and student referrals through the online testing center platform.
See template
See template
GMN AT Proposal Form March 2021
PDF template
A form for proposing and obtaining approval for Advanced Training activities within the Texas Master Naturalist Program's Guadalupe Chapter.
See template
See template
Accessible Technology Purchase Form
PDF template
Form for requesting electronic and information technology purchases to ensure accessibility for students and users in academic settings.
See template
See template
Spending Plan
PDF template
A comprehensive financial worksheet for tracking monthly income, expenses, and financial obligations.
See template
See template
FY 2023 Earmark Repurposing Process
PDF template
Guidance for states to request repurposing of federal highway earmark funds with specific procedural steps and deadlines.
See template
See template
WIOA Title I Local Budget Instructions
PDF template
Instructions for submitting local budget documentation for WIOA Title I funding, including required spreadsheets, narratives, and submission process.
See template
See template
RFP Document Attachment B 1. BidProposal Instructions Form
PDF template
Instructions for preparing and submitting a bid or proposal for a solicitation, including guidelines for completing the bid/proposal form.
See template
See template
RH RFA 2020 001 Grant Application Form
PDF template
A comprehensive form for submitting a grant application with requirements for organizational details, program description, and implementation plan.
See template
See template
Independent Contractor Agreement
PDF template
A contract between Your Health Idaho and an independent contractor for providing specified services through a competitive proposal process.
See template
See template
Attachment H Budget Form Instructions
PDF template
Detailed step-by-step instructions for completing a multi-year budget form and narrative in Excel.
See template
See template
Recommended County Sponsored Legislative Proposal Form
PDF template
A comprehensive form for proposing legislative initiatives at the County of Los Angeles level, requiring detailed background, proposal, and fiscal impact information.
See template
See template
YOUTH TRAINING PROVIDER PROCUREMENT FORM
PDF template
A form for documenting and selecting training providers for youth workforce development programs in Western Oklahoma.
See template
See template
RFEP 01, ATTACHMENT B.1 EXPERIENCE FORM
PDF template
A form for solar energy project providers to document team experience and contact information for a Montgomery County energy proposal submission.
See template
See template
Request For Approval For Attendance At Events
PDF template
A comprehensive form for employees seeking approval to attend professional events, detailing event specifics, costs, and potential conflicts of interest.
See template
See template
Certificate Of Attendance
PDF template
Continuing Legal Education webinar focused on addressing the opioid crisis through civil legal intervention
See template
See template
Pre Clerkship Attendance Policy
PDF template
Policy governing attendance requirements for medical students during pre-clerkship phases, emphasizing professional development and academic participation.
See template
See template
Attendance Verification For Banner Web
PDF template
Instructional guide for faculty to report and verify student attendance using the Banner Web system
See template
See template
Sponsor Evaluation
PDF template
Evaluation form for professional engineering and surveying continuing education courses to assess quality and compliance.
See template
See template
New Academic Program Proposal Form
PDF template
A comprehensive form for proposing new academic programs at Fitchburg State University, detailing program specifics, requirements, and implementation plans.
See template
See template
AU REQUISITION FORM
PDF template
Internal form for submitting purchase requests and obtaining procurement approvals at Alfred University.
See template
See template
DeanS Excellence Award For Teaching
PDF template
A form for recognizing exceptional teaching performance by faculty members based on specific criteria and student evaluations.
See template
See template
Hanzel Award For Administrative Activities Nomination Form
PDF template
A form used to collect nomination details for the Hanzel Award recognizing administrative professionals.
See template
See template
Florida Extension Business Professionals Connect, Grow, Shine Awards Nomination Form
PDF template
Nomination form for recognizing outstanding Florida Extension Business Professionals staff in county extension offices for their exceptional contributions.
See template
See template
Training Session Feedback Form
PDF template
A comprehensive form for evaluating animal training session effectiveness, assessing trainer preparedness, cue delivery, bridging techniques, and reinforcement strategies.
See template
See template
Copley Hospital, Inc. FY2019 Proposed Budget Salary Information
PDF template
Detailed salary range analysis for Copley Hospital staff, including compensation data and benchmarking information for fiscal year 2019.
See template
See template
Preliminary Agenda Meeting
PDF template
Local government meeting agenda covering budget, elections, grants, and administrative matters for December 13, 2022.
See template
See template
Los Angeles Community Colleges Personnel Guide B382 Reduced Workload Leave
PDF template
Guidance for certificated faculty to reduce workload while maintaining full-time retirement benefits under specific conditions.
See template
See template
MERIT ACTIVITY PRE APPROVAL FORM
PDF template
A form for faculty members to request pre-approval for professional development activities for merit consideration.
See template
See template
Balfour Fellowship Application Guide
PDF template
Guide for fraternity and sorority members applying for graduate or professional degree fellowships for the 2020-2021 academic year.
See template
See template
BANNER UNIX ACCOUNT APPLICATION FOR EMPLOYEES
PDF template
Form for employees to request access to various Banner modules and Unix accounts at Texas Southern University
See template
See template
BANNER UNIX ACCOUNT APPLICATION FOR EMPLOYEES
PDF template
Form for requesting access to Banner and Unix system modules for Texas Southern University employees
See template
See template
BANNER BUDGETS Quick Reference Guide
PDF template
A reference document for navigating budget management systems and accessing financial information in the Banner system.
See template
See template
BASHH Education Fellowship 2023
PDF template
A funded educational fellowship for medical and non-medical professionals interested in conducting a research project on sexual health clinic workforce in the UK.
See template
See template
Basic Budget Form
PDF template
A financial document for breaking down project costs, requesting funds, and detailing matching funds sources.
See template
See template
Green Chemistry Commitment Form B Contact Form
PDF template
A form for collecting primary faculty contact information for the Green Chemistry Commitment program administered by Beyond Benign.
See template
See template
2024 2025 Faculty Staff Campaign Payroll Deduction Form
PDF template
A form for Broward College employees to authorize charitable contributions via payroll deduction to support scholarships.
See template
See template
Frequently Asked Questions FY 2018 2019 Funding Opportunity Announcement (FOA)
PDF template
Detailed guidance on budget, costs, and financial requirements for research grant programs in Florida.
See template
See template
CCAA Audit Form
PDF template
A form for anesthesia assistants to document and submit continuing professional development (CPD) credits for maintaining CCAA designation.
See template
See template
BCS Fellow (FBCS) Application Guidance For OMs
PDF template
Comprehensive guidance for professionals applying to become a BCS Fellow, detailing application requirements and criteria.
See template
See template
MEETING ATTENDANCE ALDPWC Form 2 Rev 112022
PDF template
A form for documenting attendance at various support group meetings for dental professionals
See template
See template
Beazley Financial Institutions Directors Officers Proposal Form
PDF template
A comprehensive proposal form for financial institutions seeking Directors & Officers liability insurance coverage, requiring detailed company information and ownership details.
See template
See template
Loan Agreement (Powergrid System Development Project)
PDF template
Loan agreement between the International Bank for Reconstruction and Development and Power Grid Corporation of India Limited for a system development project.
See template
See template
Implementation Budget Transfer Request Attestation Transfer Request Form
PDF template
A form for requesting customer-to-customer transfer of Implementation Budget funds with specific transfer and attestation requirements.
See template
See template
Beginning Teacher Support Seminar 1 Engaging ALL Students Feedback Form
PDF template
Evaluation form for beginning teachers to provide feedback on a professional development seminar focusing on student engagement practices.
See template
See template
Beginning Teacher Support Seminar 3 Reflective Process Seminar 3 Feedback Form
PDF template
A feedback form for evaluating a professional development seminar for beginning teachers focused on reflective practices.
See template
See template
Benefit Cost Analysis For Grant Applications
PDF template
A comprehensive form for evaluating and documenting grant proposal details, benefits, costs, and funding parameters.
See template
See template
Course Proposal Form
PDF template
A form for faculty to propose a new or repeated course at Benerd College, including course details and administrative information.
See template
See template
Teaching Application Form
PDF template
A comprehensive guide for completing a teaching job application form with detailed instructions and requirements for applicants.
See template
See template
EVALUATION FORM FACULTY COORDINATOR
PDF template
A comprehensive evaluation form for assessing the performance of faculty coordinators across multiple professional competency areas.
See template
See template
Inn Membership Survey
PDF template
A comprehensive survey evaluating membership experience, leadership, meetings, and mentoring within a professional legal organization.
See template
See template
Rezoning And Provisional Use Permit Application Requirements
PDF template
Comprehensive guide detailing required documentation and process for rezoning, conditional rezoning, and provisional use permit applications in Henrico County.
See template
See template
Bidders Proposal Form
PDF template
Proposal document for bidding on a 42' triple axle trailer with specific specifications and requirements for Fall River County.
See template
See template
Proposal Form
PDF template
A proposal form for submitting pricing and contact information to Crook County Facilities for a potential project or service.
See template
See template
Bid Forms For Painting Contractors
PDF template
Document outlining bid submission requirements and guidelines for painting contractors seeking to bid on a project.
See template
See template
Proposal Form
PDF template
A proposal form for property acquisition and development in Van Wert County, Ohio with details about bidding process and property use.
See template
See template
Bid Proposal Form
PDF template
Bid proposal for purchasing a warehouse forklift for the Siskiyou County Office of Emergency Services
See template
See template
Section BF Bid Form Frenchtown Charter Township Multi Facility Site Development
PDF template
Bid proposal document for construction of two municipal facilities in Frenchtown Charter Township, Michigan.
See template
See template
Bill To Form
PDF template
A form for billing and contact information for development services projects in the City of Bellevue.
See template
See template
BIOLOGY 479.3 Literature Research Proposal Form
PDF template
A form for students to propose and outline a research project in biology, including project details, assessment metrics, and supervisor approval.
See template
See template
Annual Review Policies Department Of Biology
PDF template
Outlines the annual evaluation process for faculty members in the Biology Department, covering performance assessment in research, teaching, and service.
See template
See template
Student Internship Handbook
PDF template
A comprehensive handbook providing guidelines, procedures, and forms for student internships in the Business & Information Systems Department.
See template
See template
Exhibition Proposal Form
PDF template
A form for students to propose and submit details for an art exhibition at a university gallery.
See template
See template
Blackwell Line Railroad Sale Request For Proposals
PDF template
Request for proposals for the sale of the Blackwell Line railroad in Oklahoma by the state transportation department.
See template
See template
Texas Board Of Professional Geoscientists Complaint Form
PDF template
An official complaint form for filing grievances with the Texas Board of Professional Geoscientists.
See template
See template
Professional Development Feedback Form
PDF template
A form designed to capture key learnings, implementation plans, and expected outcomes from a professional development session.
See template
See template
PAYROLL DEDUCTION AUTHORIZATION FORM
PDF template
A form for Boise State University employees to authorize recurring charitable donations through payroll deduction
See template
See template
Board Training Registration Form
PDF template
A registration form for individuals interested in participating in board training sessions.
See template
See template
BondMylar Applicant Contact
PDF template
Form for capturing contact information of the primary applicant and an alternate representative for a subdivision project's bonding and document review process.
See template
See template
Booking Form Dento Legal Essentials The Four Cs
PDF template
Registration form for a professional dental legal course covering consent, confidentiality, communication, and complaints handling.
See template
See template
BDA Branch Section Event Registration Form
PDF template
Registration form for a BDA (British Dental Association) branch section event on Saturday 2 March 2024
See template
See template
Bornblum Travel Proposal Form
PDF template
A comprehensive travel request form for academic travel, documenting conference, research, and instructional commitments.
See template
See template
Academic Degree Program Proposal Form
PDF template
A form for proposing and documenting new academic degree programs with institutional and accreditation details.
See template
See template
Application For Grant Funding
PDF template
A grant funding application for non-profit organizations, schools, or teams seeking financial support from the Bridgeport Field of Dreams Foundation.
See template
See template
ORIOLES LEASE AGREEMENT
PDF template
A lease agreement between the Maryland Stadium Authority and the Baltimore Orioles for Camden Yards, including potential ground lease and development options.
See template
See template
Berkeley Lab Performance Review Process 2021
PDF template
Instructions and timeline for Berkeley Lab's 2021 annual performance review process for Career, Term, and Postdoctoral employees.
See template
See template
2023 DIRECTED RESEARCH PROPOSAL FORM
PDF template
A form for students to propose and obtain approval for an independent research project, including project details and required signatures.
See template
See template
ODESSA COLLEGE RN TO BSN APPLICATION FORM
PDF template
Comprehensive application form for registered nurses seeking to complete their Bachelor of Science in Nursing degree at Odessa College.
See template
See template
Application For Faculty Position BSTTS
PDF template
Comprehensive application form for faculty positions at GC Women University in Sialkot, Pakistan, covering details for lecturer and professorial roles.
See template
See template
Budget 101 Workshop
PDF template
A comprehensive workshop detailing the budget development process, fund types, and financial management for a university.
See template
See template
Budget Adjustment
PDF template
Document describing procedures for modifying budgets through fund transfers, increases, and decreases across projects and categories.
See template
See template
Budget Billing Form
PDF template
A utility billing program that averages monthly utility charges to provide consistent monthly payments for residential customers.
See template
See template
NEA Application
PDF template
A detailed budget application form for requesting funds from the National Endowment for the Arts, documenting project income and expenses.
See template
See template
Budget Expense Transfer Request Form
PDF template
A form for transferring budgets or expenses within an educational institution's financial system.
See template
See template
ORIGINALNEW BUDGET
PDF template
A form for establishing original or newly awarded budgets across multiple expense categories with multiple signature approvals.
See template
See template
Budget Form 1 Guidelines For Preparation Of Budget Forms
PDF template
Comprehensive guidelines for preparing and completing a set of budget forms for grant proposal submissions.
See template
See template
Stafford Loan Budget Form 2020 2021
PDF template
A financial aid form for students to document academic expenses and funding sources for potential student loan borrowing.
See template
See template
Individual Budget Form For The Year 2022
PDF template
A budget form for individual financial contributions with guidance from religious leadership about charitable giving and spiritual accountability.
See template
See template
NOAA Sea Grant Program Budget Form
PDF template
Budget form for National Oceanic and Atmospheric Administration (NOAA) Sea Grant program research project funding
See template
See template
Walter And Constance Burke Research Initiation Award Budget Form
PDF template
A comprehensive budget form for research funding that breaks down expenses across multiple categories including hardware, software, supplies, travel, and other expenses.
See template
See template
Budget Revision Request
PDF template
A form for requesting budget transfers, increases, or revisions within Bowie State University's financial system.
See template
See template
CCA GRANT APPLICATION BUDGET FORM
PDF template
A comprehensive financial form for grant applicants to detail project income, expenses, and funding request from CCA.
See template
See template
Budget Form Instructions
PDF template
Detailed instructions for completing a budget form for grant applications from Maryland Humanities, including eligible and ineligible expenses and matching fund requirements.
See template
See template
Activity Budget
PDF template
A financial form for tracking school activity fund receipts and expenditures for a specific sport or activity
See template
See template
Monthly Budget
PDF template
A comprehensive worksheet for tracking personal income, expenses, and financial planning across various spending categories.
See template
See template
Budget Form Training To Competence Externship
PDF template
A budget form for applicants seeking funding for an externship program, requiring detailed expense documentation and submission at least one month prior to start date.
See template
See template
F. BUDGET FORM
PDF template
Budget form detailing income and expenses for a teen mentoring program, including funding request from the Sisters of Charity Foundation.
See template
See template
Potomac College Proposed Budget
PDF template
Budget proposal for Potomac College's Title I Perkins Grant for fiscal year 2018, detailing proposed expenditures across various categories.
See template
See template
GRADUATE ASSISTANCE IN AREAS OF NATIONAL NEED (GAANN) FELLOWSHIP PROGRAM
PDF template
A federal funding form for graduate fellowship program budgeting in chemistry, detailing federal and institutional financial contributions.
See template
See template
National Historical Publications And Records Commission Budget Form
PDF template
A comprehensive budget form for submitting project costs to the National Historical Publications and Records Commission.
See template
See template
Budget Form Reproductive Health Externship Clinical Abortion Observation
PDF template
A form for medical students to document and request funding for expenses related to a reproductive health externship or clinical abortion observation program.
See template
See template
SAMHSA Budget Guidance
PDF template
Comprehensive budget guidance document providing detailed instructions for budget preparation and cost management for SAMHSA funding recipients.
See template
See template
UC Merced IncomeExpense Budget Form Financial Independence
PDF template
A form for undergraduate students under 24 to document financial independence for tuition purposes at UC Merced.
See template
See template
Budget Information And Instructions
PDF template
Comprehensive guide for preparing budget documentation for National Endowment for the Humanities (NEH) grant applications.
See template
See template
Columbia Kootenay Cultural Alliance Application Package 6 Major Projects Arts Culture Project Appl
PDF template
Budget application form for cultural projects seeking funding from the Columbia Kootenay Cultural Alliance (CKCA)
See template
See template
Columbia Kootenay Cultural Alliance Application Package 2 Minor Capital Arts Project Application Fo
PDF template
Budget application form for arts project funding from the Columbia Kootenay Cultural Alliance, detailing project revenues and expenses.
See template
See template
Northwestern University InvestigatorS Budget Form
PDF template
A comprehensive budget form for research project direct costs and budget period details.
See template
See template
Initial Budget Form
PDF template
A comprehensive budget form for research project funding allocations across various expense categories.
See template
See template
Budget And Expense Transfer Request Form
PDF template
A form for transferring budgets, expenses, or revenues between different accounts or departments within an organization.
See template
See template
INITIAL BUDGET FORM
PDF template
A form for modifying budget allocations for grant or contract awards at Southern University and A&M College.
See template
See template
Budget Revision Instructions
PDF template
A comprehensive guide for preparing and submitting budget revisions, detailing requirements, instructions, and accounting procedures.
See template
See template
Scholarship Budget Form For Upcoming Academic Year
PDF template
A comprehensive financial planning form for students to track resources, expenses, and potential budget shortfalls for an academic year.
See template
See template
Fund Transfer Request
PDF template
A document for requesting internal fund transfers between accounts within the university's financial system.
See template
See template
Budget Transfer Request Form
PDF template
A form used to request the transfer of funds between different budget categories within a specific resource.
See template
See template
Budget Transfer Request Form
PDF template
A form used to transfer funds within an organization, requiring multiple approvals and detailing account transfers.
See template
See template
BUDGET TRANSFER REQUEST FORM
PDF template
A form used to request and document financial budget transfers between different fund, organization, account, and program (FOAP) codes.
See template
See template
Budget Transfer Request Form
PDF template
A form for transferring funds between accounts within the same fund and organization at Western University of Health Sciences.
See template
See template
Budget Transfer Request Form
PDF template
A form for requesting and documenting internal budget transfers between accounts with required signatures and justification.
See template
See template
Budget Transfer Request
PDF template
A financial form for transferring funds between different account lines and tracking organizational expenses.
See template
See template
UIC InvestigatorS Budget Form
PDF template
A comprehensive budget form for documenting research project direct costs and personnel expenses.
See template
See template
Resolution Adopting The Budget
PDF template
Budget resolution for the fiscal year 2021-2022 by the Umpqua Public Transportation District, detailing fund allocations and total budget.
See template
See template
Budget Development
PDF template
A guide for preparing research grant proposals with tips on budget preparation, documentation, and submission process for the UW-L Office of Research & Sponsored Programs.
See template
See template
Building Permit Application
PDF template
A comprehensive form for submitting building permit details for new residential or commercial construction projects.
See template
See template
Building Permit Application Form
PDF template
Official form for submitting building permit applications to the City of Antioch Building Division, used to document project details and contact information.
See template
See template
Owner Agreement Form Demolition Permit Delegated Authority Approval For Residential Properties
PDF template
A form detailing conditions and requirements for demolishing a residential property in Hamilton, Ontario, including replacement building stipulations.
See template
See template
BUS100 Work Readiness
PDF template
A course focused on job market preparation, career goal setting, and workplace skills development for students.
See template
See template
BUSF 2.09 Inter Departmental Transfers (Between State Agencies)
PDF template
Policy governing financial transfers between state agencies for goods and services exceeding $999.99 through the State Comptroller General's Office.
See template
See template
Employment Application
PDF template
Comprehensive job application form collecting personal, educational, and professional information for potential employees in a children's center.
See template
See template
Loan Number 3414 CR Basic Education Rehabilitation Project
PDF template
A loan agreement for financing a basic education rehabilitation project in Costa Rica, involving the World Bank and the borrowing country.
See template
See template
Civil Air Patrol Cadet Activity Permission Slip
PDF template
Permission slip for Civil Air Patrol cadet activities, documenting parental consent and activity details.
See template
See template
CADRE PROPOSAL FORM
PDF template
A form for faculty and staff to propose and submit a cadre program for review by University Ministries.
See template
See template
REQUEST FOR PROPOSALS FOR VIDEO PRODUCTION SERVICES
PDF template
An addendum modifying the original Request for Proposals for video production services, including changes to contract terms and pricing forms.
See template
See template
CAH Performance Evaluation Policy
PDF template
Policy detailing performance evaluation procedures for USPS, A&P, and faculty employees at a university setting.
See template
See template
Region 5 Weekend Educational
PDF template
Two-day educational event offering courses on topics including Dismantling Anti-Black Racism and Health & Safety for union members and activists.
See template
See template
MEMBERSHIP FORM
PDF template
A membership form for joining the Cal State LA Emeriti Association with various membership categories and donation options.
See template
See template
DBPR 0070 Uniform Complaint Form Instructions
PDF template
Official instructions for filing a complaint with the Florida Department of Business and Professional Regulation, detailing documentation requirements and complaint process.
See template
See template
Non Disclosure Agreement
PDF template
A confidentiality agreement between a business entity and the Camden County Joint Development Authority for protecting proprietary information during potential project financing evaluation.
See template
See template
Payroll Deduction Form For Parking Registration
PDF template
A form for university employees to register vehicles and authorize payroll deductions for parking fees based on salary level.
See template
See template
EXHIBIT A FOOD EXPENSE APPROVAL FORM
PDF template
A form for documenting and obtaining approvals for food-related expenses in an organizational setting.
See template
See template
Alternative Teacher Certification Program Candidate Handbook
PDF template
A comprehensive guide for candidates pursuing alternative teacher certification through McLennan Community College in Texas.
See template
See template
Candidate Submission Form
PDF template
A form for candidates to submit their professional background and candidacy details for a potential position.
See template
See template
Catering Request Form
PDF template
A form for submitting catering requests for events at Kent Law School, including budget and event details.
See template
See template
CAPITAL BUDGET AND APPROVAL PROCESS
PDF template
Policy defining the process for capital expenditure requests, approval, and authorization for purchases over $5,000 with a life expectancy of two years or more.
See template
See template
Capital Budget Request Form Sample
PDF template
A document used to request and document capital expenditure budgets for organizational projects and initiatives.
See template
See template
Capital Equipment Request Form
PDF template
A standardized form for collecting and approving capital funding requests at Milton Academy
See template
See template
Capital Request Form
PDF template
Internal financial document for requesting capital funds and project approval within an organization
See template
See template
CAPITAL REQUEST FORM
PDF template
A formal document for submitting and tracking proposed capital expenditures for equipment, furniture, and major investments not included in the operating budget.
See template
See template
Online Capital Request System Upgrade
PDF template
Documentation for an upgraded online system for submitting and managing capital budget requests with new features and user roles.
See template
See template
Capsule Research Proposal Form
PDF template
A standardized form for capturing research proposal details at the University of Baguio Research and Development Center.
See template
See template
Career Exploration And Job Search Preparation
PDF template
Comprehensive list of websites and online resources for career exploration, job searching, and professional development.
See template
See template
Caring Dads Facilitator Training Accreditation Agreement
PDF template
Agreement outlining the training and accreditation process for professionals seeking to become Caring Dads Group Program facilitators
See template
See template
CASE RESEARCH And DEVELOPMENT GRANT APPLICATION FORM
PDF template
A comprehensive grant application form for research funding at the University of North Alabama, requiring detailed budget and submission of supporting materials.
See template
See template
Research Equipment Sales Tax Exemption Form
PDF template
A form to claim sales tax exemption for research and development equipment in South Carolina based on specific legal criteria.
See template
See template
Counseling Program Student Evaluation Form
PDF template
Comprehensive evaluation form for assessing graduate counseling students' academic, clinical, and professional performance across multiple dimensions.
See template
See template
Proposal Budgets Module 6
PDF template
Training module on creating research proposal budgets using Cayuse S2S software, covering key budget concepts and budget management techniques.
See template
See template
Community Benefit Application Form
PDF template
An annual application process for community facilities and small businesses to receive support for community development projects from Sennit Construction.
See template
See template
CBS FACULTY APPLICATION FORM PART 3
PDF template
Comprehensive faculty application form for CBS requiring detailed theological and doctrinal responses from applicants.
See template
See template
Employment Of Part Time Faculty
PDF template
Policy outlining recruitment, hiring, and selection procedures for part-time faculty at MATC, focusing on equal opportunity and meeting institutional educational needs.
See template
See template
College Course In Service Credit Application (Form CC 1)
PDF template
A form for criminal justice professionals to request in-service training credit for completed college courses.
See template
See template
State Of Kansas CMAR Cost Proposal Form
PDF template
A form for construction management at-risk (CMAR) firms to submit cost proposals to the Kansas Department of Administration.
See template
See template
Request For Proposals For Contact Center As A Service (CCaaS)
PDF template
Idaho Health Insurance Exchange seeks proposals for Contact Center as a Service (CCaaS) solution with integrated CRM/Ticketing capabilities.
See template
See template
CCA Conference Session Proposal Form
PDF template
A form for proposing and submitting conference session proposals for CCA's statewide conferences focused on bargaining, advocacy, and membership.
See template
See template
Report Newsletters Submission Form
PDF template
Form for professionals to submit attestation of reading compliance newsletters for Continuing Education Units (CEUs)
See template
See template
Center For Curatorial Leadership Fellowship Application Form 2012
PDF template
Application form for museum curators seeking leadership development through a comprehensive fellowship program in New York City.
See template
See template
Certified Clinical Medical Assistant (CCMA) Online Hybrid Program Overview
PDF template
A 500-hour hybrid medical assistant program combining online coursework, skills labs, and clinical externship, preparing students for national certification exams.
See template
See template
Cultural Competency Professional Development (CCPD) Credit By Attendance Form
PDF template
A form for employees to document and request credit for professional development activities related to cultural competency and equity training.
See template
See template
CCRE TIER 1 CREDIT APPLICATION FORM
PDF template
Application form for professionals seeking continuing regulatory education credits through Michigan State University's Institute of Public Utilities Regulatory Research and Education.
See template
See template
Campus Community Relations Expense Report
PDF template
A multi-request expense reporting form for capturing campus community relations expenditures at SDSU
See template
See template
Budget Preparation Instructions
PDF template
Comprehensive instructions for preparing budgets for Ryan White Program and Prevention Services Contracts with the Los Angeles County Department of Public Health.
See template
See template
CCUK Resource Research Proposal Form
PDF template
A form for researchers seeking to use data from the Cleft Care UK (CCUK) research collection for their scientific studies.
See template
See template
Course Proposal Form
PDF template
A form for proposing and documenting a new course offering details about the course format, instructors, and objectives.
See template
See template
Budget Summary And Budget Narrative Forms Instructions (Revised 52021)
PDF template
Comprehensive instructions for completing budget forms for the Early Literacy Support Block Grant by California Department of Education, covering planning and implementation years.
See template
See template
STUDENT EVALUATION FORM FOR TEACHING FACULTY
PDF template
A comprehensive survey for students to evaluate their professors' teaching effectiveness across multiple dimensions.
See template
See template
Certificate In Dance Teaching Application Form For Entry In Hong Kong 2025
PDF template
Application form for a part-time, distance-learning Certificate in Dance Teaching program starting in January 2025 in Hong Kong.
See template
See template
Continuing Education Credits (CEC) Submission Form
PDF template
Form for landscape irrigation contractors to submit continuing education credits in New Jersey
See template
See template
Course Proposal Form
PDF template
A form for instructors to propose new courses for Community & Continuing Education at Pierce College Puyallup.
See template
See template
IIBEC 2020 Virtual Region II Meeting Electronic Attendance Form
PDF template
An electronic form for tracking attendance and continuing education credits for the IIBEC 2020 Virtual Region II Meeting.
See template
See template
IIBEC 2020 Virtual Region V Meeting Electronic Attendance Form
PDF template
Electronic form for tracking attendance and continuing education credits for IIBEC Region V Virtual Meeting in 2020
See template
See template
IIBEC 2021 Virtual Region V Meeting Electronic Attendance Form
PDF template
Attendance and continuing education credits form for IIBEC Region V virtual conference sessions
See template
See template
CEIAS Capstone Project Expenses Purchase Request Instructions
PDF template
Instructions for submitting purchase and reimbursement requests for capstone project expenses at NAU, including budget management and vendor communication guidelines.
See template
See template
CEN Portfolio Seminar Attendance And Summary
PDF template
Tracking document for students to record attendance and reflections for three required seminars during their graduation year.
See template
See template
Center For Social Concern Budget Form Instructions And Definitions
PDF template
Detailed guidelines for student groups submitting budget and expense information to the Center for Social Concern.
See template
See template
Payment Plan Registration
PDF template
Registration form for legal studies certificate programs at St. Cloud State University with course selection and payment options.
See template
See template
Copper Mountain College Community Education Proposal Form
PDF template
Form for instructors to propose and submit details for a community education course at Copper Mountain College
See template
See template
Certification Application Form
PDF template
Application form for obtaining professional certification in a sports-related field with multiple certification type options.
See template
See template
Emergency Exam Cancellation Form
PDF template
Form for clinical research professionals to request fee waiver for exam cancellations due to emergencies or extenuating circumstances.
See template
See template
Certification Volunteer Form
PDF template
Form describing volunteer opportunities for ASIS certification program panel participation and requirements for professionals with ASIS certifications.
See template
See template
Faculty Travel Form
PDF template
A form for UNF faculty to request travel authorization for domestic and international travel, requiring departmental and college approvals.
See template
See template
In ServiceStaff Meeting Submission Form
PDF template
A form for documenting continuing education credits from in-service and staff meetings in healthcare settings.
See template
See template
Continuing Education Units (CEUS) Attendance Form
PDF template
Document for tracking professional continuing education unit attendance and certification details for Western Chapter International Society of Arboriculture (WCISA)
See template
See template
Continuing Education Units (CEUs) CEU Declaration Form
PDF template
A form for therapists to declare and document completed continuing education units for professional certification or licensing requirements.
See template
See template
SPECIALIST CLIMBER Continuing Education Units Attendance Form
PDF template
Form for tracking and submitting continuing education units for ISA Specialist Climber certification.
See template
See template
Continuing Education Units Attendance Form For Pre Approved Events
PDF template
Form for tracking and documenting continuing education units for International Society of Arboriculture certification professionals.
See template
See template
ASHA Continuing Education Units (CEUs) Instructions
PDF template
Guidelines for earning and registering Continuing Education Units through the United States Society for Augmentative and Alternative Communication conference
See template
See template
Counselor Summer Institute Attendance Form
PDF template
A form for tracking session attendance and continuing education units (CEUs) during a counselor professional development event.
See template
See template
Budget History And Proposal Budget Form
PDF template
A comprehensive financial form for documenting historical budget performance and proposed project budget details including income and expenses.
See template
See template
Certified Florist Registration Form
PDF template
A registration document for professionals seeking certification as a florist through the National Alliance of Floral Associations (NAFA)
See template
See template
GRANT APPLICATION FORM
PDF template
A comprehensive grant application form for non-profit organizations seeking funding for social accountability projects
See template
See template
CFP Sample
PDF template
A multi-page form for submitting conference presentation proposals with details about the author, presentation, and learning objectives.
See template
See template
CFP Sample FAQs
PDF template
A comprehensive form for submitting conference presentation proposals, including author information, abstract details, and session descriptions.
See template
See template
CFS 370 5C Monthly Budget Form
PDF template
A budget tracking document for tracking income, expenses, and financial status for clients of the Illinois Department of Children and Family Services.
See template
See template
Monthly Budget Form For Youth
PDF template
A comprehensive monthly budget form for youth in Illinois Department of Children & Family Services programs to track income and expenses.
See template
See template
Foster Parent Training Credit Approval Form
PDF template
A form for foster parents to request training credit for professional development courses completed through the Illinois Department of Children and Family Services.
See template
See template
CENTER FOR GLOBAL HEALTH NURSING SCHOLARSHIP APPLICATION
PDF template
A comprehensive budget application form for nursing students seeking scholarship funding for global health travel and project expenses.
See template
See template
The Path To Glass ACT School Residency
PDF template
A two-week artist residency program for Year 11 or 12 ACT students offering comprehensive glass art training and mentorship.
See template
See template
Path To Glass ACT School Residency
PDF template
A two-week artist residency opportunity for Year 11 or 12 students in the ACT region to explore glass art techniques and practices.
See template
See template
ChancellorS Award For Excellence Nomination Form
PDF template
A nomination form for recognizing excellence in various academic and professional categories at an educational institution.
See template
See template
Change Of Address Form
PDF template
A form for updating contact and mailing information for licensed professionals through the Department of Health's Office of Professional Licensure and Health Planning.
See template
See template
Change Of Address Form
PDF template
A form for updating contact information for licensed professionals with the Department of Health in the U.S. Virgin Islands.
See template
See template
SAM HOUSTON STATE UNIVERSITY BANNER BUDGET CHANGE REQUEST
PDF template
A university form for requesting budget modifications, transfers, or increases with multiple levels of approval.
See template
See template
Chapter Guest Attendance Form
PDF template
A form for tracking chapter event details, guest attendance, and event type for the Ontario Association of Certified Engineering Technicians and Technologists.
See template
See template
Mercy Housing Charitable Partnership Proposal Form
PDF template
A form used for establishing cause-related marketing relationships and commercial partnerships with Mercy Housing to support their national programs.
See template
See template
ChartField Request Form
PDF template
A form for requesting changes or modifications to chartfield accounting information within an organization's financial system.
See template
See template
Compass Chartfield ValueSmartKey Request Form
PDF template
A form for requesting changes or creation of chartfield values for financial tracking and budgeting purposes at Emory University.
See template
See template
2020 WIOA Budget FORMs
PDF template
Instructions for completing workforce budget forms for the Chicago Cook Workforce Partnership, detailing budget requirements and training cost calculations.
See template
See template
Operating Expense Grant Program Guidelines
PDF template
Guidelines for providing operating expense grants to Community Housing Development Organizations (CHDOs) for affordable housing development in West Virginia.
See template
See template
Faculty Of Science Sponsored Project Checklist
PDF template
A comprehensive checklist for submitting research project proposals within the Faculty of Science, detailing investigator, sponsor, and project information.
See template
See template
Research Proposal Documents Checklist
PDF template
Comprehensive checklist of mandatory documents required for submitting a research proposal to FAPESP research awards program.
See template
See template
Checklist For Faculty Evaluations
PDF template
A comprehensive checklist outlining the required documentation and steps for conducting faculty performance evaluations.
See template
See template
Checklist For New Part Time Faculty Hires
PDF template
Comprehensive guide for new part-time faculty members outlining initial employment requirements and documentation process for Palomar College.
See template
See template
Child Care Grant Application Form
PDF template
Grant application for AAPT national meeting attendees seeking financial assistance for child care expenses, with grants up to $400 available.
See template
See template
Application For Child Life Internship
PDF template
Application guidelines and requirements for internship positions at Children's Hospitals and Clinics of Minnesota's Child Life Department.
See template
See template
Chiropractor, Chiropractic Radiological Technician, And Chiropractic Technician Continuing Education
PDF template
A form for obtaining approval of continuing education courses for chiropractors, chiropractic radiological technicians, and chiropractic technicians in Wisconsin.
See template
See template
Performance Reviews Policy
PDF template
Policy outlining the performance review process for Faculty, Administration, and Staff at California Health Sciences University.
See template
See template
CI3T Feedback Form
PDF template
A brief feedback form used in training series to gather input from teachers and staff about intervention plans and gather insights for potential improvements.
See template
See template
CIF Project Budget Form
PDF template
A fillable budget form for calculating project costs, expenses, and service fees for 6 or 12 month projects.
See template
See template
Business And Investment Facilitation Stepping Stones To Digital Government
PDF template
A UNCTAD note exploring how business and investment facilitation can serve as stepping stones to developing digital government capabilities in developing countries.
See template
See template
CIRCA Faculty Research Fellowship (CFRF) Call For Proposals
PDF template
A fellowship program for full-time, tenured and tenure-track faculty members in Arts disciplines to support research and creative projects at UMBC.
See template
See template
AIA Miami CKLDP Agreement Form
PDF template
Participation agreement for the AIA Miami Leadership Development Program detailing attendance requirements and participant commitments.
See template
See template
First NIHR CLAHRC West Call For Research Proposals And Ideas
PDF template
Guidance document for submitting research proposals to NIHR CLAHRC West, focusing on applied health research to improve patient care and public health.
See template
See template
Course Evaluation Form
PDF template
A comprehensive survey to evaluate training effectiveness, instructor performance, and potential learning outcomes.
See template
See template
Conference Attendance Report Form
PDF template
Form for classified employees to document conference attendance, learnings, and key insights from professional development events.
See template
See template
Workforce Development Training Class Proposal Form
PDF template
A form for proposing and detailing a new workforce development or training class, including curriculum and logistical details.
See template
See template
LC Classification Proposal Form
PDF template
A form for proposing changes or additions to Library of Congress classification system.
See template
See template
Hermitage Visual Arts School Class Proposal Form
PDF template
A form for instructors to propose and detail a visual arts class at the Hermitage Museum & Gardens Visual Arts School.
See template
See template
Class Waiver Form
PDF template
A form to request waiving a certification class requirement in the MSBO Voluntary Certification Program based on existing credentials or experience.
See template
See template
Maurice A. Clay Leadership Development Grant Application
PDF template
A grant application form for leadership development programs focused on enhancing campus community engagement and leadership skills.
See template
See template
CLE Attendance Form
PDF template
Continuing Legal Education attendance form for a seminar on 2024 legislative updates related to tobacco and excise tax in Indiana.
See template
See template
Arkansas Continuing Legal Education Board Forms And Instructions
PDF template
Guidelines for approving and reporting continuing legal education activities conducted outside Arkansas for attorneys
See template
See template
Clerical Evaluation Form
PDF template
Comprehensive performance evaluation form for clerical staff with rating scales covering job responsibilities, professional conduct, and workplace performance.
See template
See template
2024 Scholarship Application
PDF template
Scholarship opportunity for Nebraska municipal clerks and deputy clerks to attend professional training institute/academy.
See template
See template
FCBA Seminars Order Form
PDF template
Order form for purchasing seminar video downloads and handouts for FCBA events with pricing tiers for different membership categories.
See template
See template
CLE Seminar Proposal Form
PDF template
A form for legal professionals to propose and submit a seminar for the State Bar Association's Continuing Legal Education program.
See template
See template
Flatwork Finisher Client Affidavit Form Instructions
PDF template
Instructions for self-employed individuals seeking ACI Concrete Flatwork Finisher certification through client affidavits or performance examination.
See template
See template
CLIMBucknell MEDICAL FORM
PDF template
Medical history and emergency contact form for participants in a university climbing/ropes course activity
See template
See template
Clinical Excellence Awards Nomination Form
PDF template
A form for nominating faculty members for clinical excellence awards at the University of California, San Francisco (UCSF)
See template
See template
2024 2025 Nomination Of Classified Professional
PDF template
Nomination form for classified professionals to participate in a leadership development program within the Chabot - Las Positas Community College District.
See template
See template
Clock Hour Approval Application Form
PDF template
A form for educators to request and receive approval for professional development clock hours as required by Minnesota Administrative Rules.
See template
See template
Clock Hour Proposal
PDF template
A form for educators to propose and document professional development training hours for credit and certification purposes.
See template
See template
CLUE STUDY ANCILLARY PROPOSAL FORM
PDF template
A comprehensive form for submitting a research study proposal, including investigator details, study type, and human subjects approval information.
See template
See template
Contract Education Program Registration Agreement
PDF template
Registration form for continuing education courses with payment and policy details for non-credit and CEU contract courses.
See template
See template
Exported Ultrasound Course Application And Purchase Form
PDF template
Application form for medical professionals seeking to participate in exported ultrasound training courses approved by the National Ultrasound Faculty (NUF)
See template
See template
REQUEST FOR CMECEU REIMBURSEMENT
PDF template
Form for healthcare professionals to request reimbursement for continuing medical education courses and fees during the 2014 calendar year.
See template
See template
Supervisor Evaluation Form
PDF template
A comprehensive form for evaluating clinical supervisors across various professional dimensions including rapport, enthusiasm, and communication.
See template
See template
Choice Neighborhoods Implementation Grants Budget Guidance
PDF template
Comprehensive document providing detailed budget instructions for Choice Neighborhoods Implementation Grant recipients on developing and managing their program budgets.
See template
See template
Curriculum Approval Form
PDF template
A comprehensive form for proposing, reviewing, and approving academic program changes at a university.
See template
See template
Langston University Coaches Evaluation Form
PDF template
A comprehensive evaluation form for assessing university coaches' professional performance, conduct, and development.
See template
See template
Coaching Tool Kit Feedback Form
PDF template
A feedback form for evaluating a coaching experience and gathering insights on coach performance and client satisfaction.
See template
See template
COAS Research And Development Grant Application Form
PDF template
Application form for research and development grants at the College of Arts and Sciences, detailing funding requirements and submission guidelines.
See template
See template
Graduate Student Fellowship Expense Request Form
PDF template
A form for requesting adjustment to a student's cost of attendance based on additional research or professional development expenses
See template
See template
Academic Conference Travel Approval Form
PDF template
Form for obtaining institutional approval and funding for academic conference travel with detailed expense tracking.
See template
See template
Undergraduate Internship Handbook
PDF template
A comprehensive guide for students outlining internship policies, procedures, and requirements for academic credit through the Soules College of Business.
See template
See template
COGS Content Specialization Proposal Submission Form
PDF template
A form for PhD students in Cognitive Science to submit and receive authorization for their content specialization topic and coursework plan.
See template
See template
Election To Fellowship Application Form
PDF template
Application form for professionals seeking fellowship status with the Chartered Insurance Institute (CII)
See template
See template
Subcontractor Proposal (Bid) Form
PDF template
A proposal form for subcontractors bidding on the Ketchum City Hall Remodel project, detailing submission requirements and contract conditions.
See template
See template
College Budget Form
PDF template
A comprehensive form for tracking college expenses, income, financial aid, and budgeting for students.
See template
See template
2024 Detailed Budget Form For Colorado Inflation Reduction Act Urban And Community Forestry Grant Pr
PDF template
A comprehensive budget form for the Colorado Inflation Reduction Act Urban and Community Forestry (UCF) Grant Program, detailing project expenses and grant fund requests.
See template
See template
COLS Travel Policy For Undergraduate Students
PDF template
Policy detailing travel funding for undergraduate students presenting at professional meetings and conferences at the University of Wisconsin Oshkosh.
See template
See template
Model TEAMS PD District Tracking Form
PDF template
A tracking form for teachers to document and obtain approval for professional development sessions under the TEAMS contract in Alabama.
See template
See template
COMM 394 01E Fall 2023 FDMCOMM Studies Internship
PDF template
A supervised internship course providing students with professional field experience in communication and film production companies, enabling hands-on learning and professional skill development.
See template
See template
Building Permit Application (Other Than One Or Two Family Dwelling)
PDF template
Official form for obtaining a building permit for construction or renovation in the City of Woburn, required before beginning work.
See template
See template
CommercialIndustrial Development Permit
PDF template
A municipal permit application for commercial or industrial development projects in Pendleton, Oregon, used to submit site and construction details for review.
See template
See template
BFA Committee Declaration Form
PDF template
A form for BFA students to declare their faculty committee members at the University of Nevada Reno's Department of Art
See template
See template
Committee Report Form
PDF template
A form for faculty committees to document and submit reports to the Faculty Senate Executive Committee.
See template
See template
New York State Bar Association 2019 2020 Committee Volunteer Form
PDF template
A form for lawyers and legal professionals to apply for committee participation in the New York State Bar Association
See template
See template
Common Child And Adolescent Psychiatry Application
PDF template
An application form and procedure guide for medical professionals seeking child and adolescent psychiatry residency programs.
See template
See template
Community Building Fund Application Form
PDF template
Application for faculty to request funding for community-building events at the University of California, San Francisco
See template
See template
Community Event Proposal Form Salt Wagon Clinic
PDF template
A comprehensive form for organizing community events in collaboration with Salt Wagon Clinic, covering event details, financial information, and organizational requirements.
See template
See template
Community Grant Application Form
PDF template
A comprehensive form for organizations seeking funding from the Village of Anmore, detailing project information, budget projections, and community impact.
See template
See template
Community Meeting Checklist Form
PDF template
A comprehensive checklist for documenting essential discussion points and requirements for community meetings about development projects.
See template
See template
COMPANY MOTOR PROPOSAL FORM
PDF template
Insurance proposal form for company vehicle coverage detailing vehicle ownership, use, and driver information.
See template
See template
Competency Assessment Form For Advanced Standing
PDF template
A form for evaluating social work applicants' professional competencies based on the Council of Social Work Education standards
See template
See template
Competency Assessment Form For Advanced Standing
PDF template
A form used to evaluate a social work student's professional competencies for advanced standing in a graduate program.
See template
See template
Complaint Resolution Form
PDF template
A formal document for lodging complaints against members of the Opticians of Manitoba professional organization.
See template
See template
Complete Full Time Faculty Self Evaluation For Performance Evaluation
PDF template
Workday guide for full-time faculty to complete their performance self-evaluation process in the system.
See template
See template
Complete Part Time Faculty Performance Evaluation
PDF template
A step-by-step guide for part-time faculty to complete their performance evaluation in Workday
See template
See template
How To Complete A Budget In JustGrants
PDF template
Instructions for preparing budgets for Department of Justice grant applications using the JustGrants system.
See template
See template
Computer Loan Application
PDF template
Loan application for University of Chattanooga faculty and staff to purchase computer equipment with financing from the UC Foundation.
See template
See template
Mid Year Computer Equipment Purchase Request
PDF template
A form for requesting computer or printer purchases outside of the annual budgetary process at Hamilton College, requiring approval from senior administrators.
See template
See template
Research Agenda Inquiry
PDF template
A form for researchers to submit their research agenda, topics, and contact information for review.
See template
See template
Conference Attendance Certification Form
PDF template
A form for Huntington Union Free School District employees to document conference attendance for reimbursement purposes.
See template
See template
Attendance Verification For Continuing Education Credit
PDF template
A form for individuals to document conference attendance and request Continuing Education Units from The Arc of Illinois.
See template
See template
R.A.D. International Training Certification Conference Instructor Proposal Form
PDF template
A form for instructors to submit course proposals for the R.A.D. International Training & Certification Conference.
See template
See template
ConferencePersonalSickVacation Leave Request Form
PDF template
A form for staff members to request various types of leave, including conference, personal, sick, and vacation time, with documentation requirements.
See template
See template
Confidential Employee Evaluation Process
PDF template
A comprehensive document outlining the performance evaluation procedures and process for employees at Victor Valley Community College District.
See template
See template
Conflict Resolution Resources Program
PDF template
A structured, private, and informal conflict resolution resource for UC Merced staff to navigate workplace conflicts at the lowest level possible.
See template
See template
Public Meeting Minutes
PDF template
Minutes documenting a public meeting for a school district board discussing financial and operational matters.
See template
See template
Neighborhood Council Funding Contribution Form Fiscal Year 2019 2020
PDF template
A form for neighborhood councils to request funding contributions for special accounts in Los Angeles.
See template
See template
Neighborhood Council Funding Contribution Form
PDF template
A form for neighborhood councils to request funding contributions for the LA Congress of Neighborhoods Special Account during fiscal year 2020-2021.
See template
See template
USE OF CLINICAL MATERIALS CONSENT FORM
PDF template
A consent form for CPE students allowing the use of their clinical materials and observation media for certification, peer review, and research purposes.
See template
See template
ARTS Conservation License Plate Grants Budget Form
PDF template
Budget form for arts organizations seeking grants through the New Hampshire State Council on the Arts License Plate Grant program.
See template
See template
Construction Excise Tax Exemption Form
PDF template
A form for developers or property owners to claim exemptions from construction excise tax in the Newberg School District for specific types of improvements.
See template
See template
Construction Project Approval Form
PDF template
A comprehensive form for approving construction projects over $100,000, detailing project scope, funding, and required approvals.
See template
See template
Consultant Certification Form
PDF template
Certification form for consultants submitting proposals to the New York State Department of Transportation, covering vendor responsibility, workplace policies, and conflict of interest.
See template
See template
Consultant Certification Form
PDF template
A certification form for consultants submitting proposals to the New York State Department of Transportation, requiring compliance with state regulations and vendor responsibilities.
See template
See template
Consulting Agreement
PDF template
A formal agreement outlining consulting services, compensation, and terms between the University of Missouri and a consultant.
See template
See template
Consulting And Paid Professional Services Acknowledgment Form
PDF template
Annual requirement for University of Houston faculty and staff to disclose consulting activities and potential conflicts of interest for the previous calendar year.
See template
See template
Consulting Request Form
PDF template
A form for employees to request permission and document details of external consulting activities
See template
See template
Federal RetireeS Master Contact List
PDF template
Comprehensive contact list for federal retirees to manage benefits, services, and important resources.
See template
See template
Juvenile Probation Officer Continuing Education Submission Form
PDF template
Form for Juvenile Probation Officers to document and submit continuing education hours for certification renewal.
See template
See template
Content Evaluation Form
PDF template
A comprehensive form for evaluating postdoctoral teaching content and course materials in an academic setting.
See template
See template
Continued Competency Activity And Assessment Form
PDF template
A form for physical therapists and physical therapist assistants to document continuing education and active practice hours for license renewal.
See template
See template
NATE Continuing Education Hours Attendance Form
PDF template
Form for documenting and tracking continuing education hours for NATE-certified technicians to maintain professional certification.
See template
See template
NATE Continuing Education Hours Attendance Form
PDF template
A form for HVAC technicians to document and submit continuing education hours for NATE certification renewal.
See template
See template
CSASK Continuing Education Hours (CEH) Requirement And CEH Verification Of Participation Form
PDF template
Guidelines for continuing education hours required for CSASK audiology and speech-language pathology practitioners to maintain their professional license.
See template
See template
2024 2025 Continuous Payroll Deduction Authorization Form
PDF template
Form allowing full-time faculty and staff to authorize automatic payroll deductions for annual parking permits at the University of Nevada, Reno.
See template
See template
Consulting Services Agreement
PDF template
Agreement between Saskatchewan Information and Privacy Commissioner and Bravo Tango Advertising Firm for website design and platform development.
See template
See template
Corporation And Foundation Contact Approval Form
PDF template
A form for obtaining approval to contact corporations or foundations for potential funding or partnership opportunities.
See template
See template
Contract For Professional Services
PDF template
A contract between Lower Gwynedd Township and a developer for professional review services related to a property development proposal
See template
See template
College Of DuPage Honors Program Honors Contract Proposal Form
PDF template
A form for students to propose an honors contract for a specific course with additional academic requirements or project work.
See template
See template
Contract Details Register
PDF template
Compilation of multiple IT, services, and procurement contracts with details of suppliers, dates, and values.
See template
See template
Student Pre Evaluation Form Purpose, Instructions, And Examples
PDF template
A self-assessment tool for students to evaluate their core professional competencies before and after internship or co-op experiences.
See template
See template
New Art Center Curatorial Opportunity Program (COP) Guidelines
PDF template
Guidelines for submitting group exhibition proposals for the New Art Center's Curatorial Opportunity Program, accepting proposals for 6-week exhibitions from September 2019 to May 2020.
See template
See template
Library City Funded Budget Summary
PDF template
Detailed budget summary for a city library, including salary and wages, and funding breakdown for 2019.
See template
See template
Northeastern University, College Of Science Department Of Biology Full Time Faculty Workload Policy
PDF template
Policy outlining annual workload allocation and performance expectations for full-time biology faculty members at Northeastern University's College of Science.
See template
See template
Volunteer Services Guide
PDF template
A comprehensive guide for managing volunteer services at the College of Science, defining responsibilities and minimizing risks.
See template
See template
PROJECTACTIVITY PROPOSAL FORM
PDF template
A form for faculty to request funding for professional development and scholarly activities with a maximum request of $3,000.
See template
See template
Council Proposal Form
PDF template
A comprehensive form for submitting organizational change proposals, detailing problem identification, proposed solutions, and potential impacts.
See template
See template
Counseling Student Annual Self Evaluation Form
PDF template
A comprehensive self-evaluation form for counseling graduate students to reflect on their academic progress, professional development, and future goals.
See template
See template
Counselor Recruitment Procedures And Guidelines
PDF template
A comprehensive guide for recruiting counselor faculty at Sonoma State University with a focus on diversity, confidentiality, and fair hiring practices.
See template
See template
APPLICATION FOR APPROVALRENEWAL OF REAL ESTATE EDUCATION COURSE
PDF template
A form used by educational providers to apply for or renew real estate education courses with the South Dakota Real Estate Commission.
See template
See template
Course Approval Form And Reimbursement Request Form
PDF template
A form for employees to request approval and potential reimbursement for educational courses or training.
See template
See template
REQUEST FOR PERMISSION TO TAKE COLLEGEUNIVERSITY COURSE(S) FOR SALARY STEP ADVANCEMENT CERTIFICATE
PDF template
A form for certificated personnel to request pre-approval of graduate coursework for salary step advancement in the Fallbrook Union Elementary School District.
See template
See template
Call For Course Proposals
PDF template
Invitation for new noncredit course proposals for Continuing Education & Training department at MCTC with specific semester submission deadlines.
See template
See template
Course Proposal Submission Form
PDF template
A comprehensive form for proposing a new academic course, including details about course content, prerequisites, and learning objectives.
See template
See template
UW Colleges Continuing Education Instructor Proposal Form
PDF template
A form for potential instructors to submit course proposals for UW-Colleges Continuing Education program, detailing course specifics and instructor qualifications.
See template
See template
Travel Course Proposal
PDF template
A form for proposing and documenting travel-based academic courses, including course details, learning outcomes, and logistical information.
See template
See template
Illinois Department Of Revenue Class And Home Study Exam Registration Form
PDF template
Registration form for tax education classes and home study exams offered by the Illinois Department of Revenue
See template
See template
CPD Audit Form Guidelines
PDF template
Guidelines for completing a Continuing Professional Development audit for professionals, detailing documentation requirements and exemption options.
See template
See template
Psychology Doctoral Internship Program 2018 2019
PDF template
Detailed handbook for a psychology doctoral internship program at the Federal Correctional Institution in Tallahassee, Florida, providing comprehensive training for psychology doctoral students.
See template
See template
PSYCHOLOGY DOCTORAL INTERNSHIP PROGRAM
PDF template
Doctoral psychology internship program at the Federal Correctional Institution in Tallahassee, Florida for training psychology professionals in a correctional setting.
See template
See template
Faculty Guidance Document Agreement Form
PDF template
A form for faculty to certify compliance with accreditation standards for continuing pharmacy education activities.
See template
See template
KSU Campus Employee Registration Form
PDF template
Registration form for KSU campus employees to request permission to attend a professional education course with supervisory approval.
See template
See template
CpE 195 Internship Student Evaluation Form
PDF template
A comprehensive form for employers to assess and provide feedback on computer engineering internship students' performance and potential.
See template
See template
Capstone Project Proposal Form
PDF template
A formal document for submitting a capstone project proposal for MSE-PD or M.S.-C&I degree programs.
See template
See template
Course Proposal Form For Student Facilitated Courses
PDF template
A form for proposing and documenting student-led academic courses at the undergraduate or graduate level.
See template
See template
CAREER PATH INTERNSHIP (CPI) AGREEMENT FORM
PDF template
A comprehensive form for students to document and formalize their professional internship experience at Idaho State University.
See template
See template
California Physical Therapist Employment Toolkit
PDF template
A comprehensive resource for physical therapists exploring career paths, including starting a practice, becoming an independent contractor, or finding new employment.
See template
See template
APPLICATION CITY OF MENTOR COMMUNITY REINVESTMENT AREA TAX EXEMPTION PROGRAM
PDF template
Application for tax exemption for new structures or remodeling projects in the City of Mentor's Community Reinvestment Area program.
See template
See template
Crow Room Purchase Form
PDF template
Form for faculty to request purchases of books, equipment, or materials using the Charles Crow Room endowed fund for academic resources.
See template
See template
The Pathway To SLP Licensure, Certification And Credentialing In California
PDF template
A comprehensive guide outlining the steps for obtaining licensure, certification, and credentialing for speech-language pathologists in California
See template
See template
2025 2026 CSIF Budget Form Guide
PDF template
A budget form for organizations requesting funding from the City of Calgary's Community Services Investment Fund (CSIF) for 2025-2026.
See template
See template
Intern Evaluation Form
PDF template
A comprehensive form for assessing an intern's performance across multiple professional competencies and behaviors.
See template
See template
CT, MRI And MRA Order Pre Authorization Form
PDF template
A comprehensive form for ordering CT, MRI, and MRA medical imaging exams with detailed patient and clinical information requirements.
See template
See template
CTR Informational Interview Form
PDF template
A structured template for students to conduct professional interviews about career and graduate school opportunities.
See template
See template
How To Request An Adjustment Of Funding From The Student Government Association
PDF template
A step-by-step guide for student clubs to request funding from the Student Government Association for programs and projects.
See template
See template
CT State Shared Governance Statewide Discipline Council (SDC) Curriculum Proposal Feedback Form
PDF template
A form for providing detailed feedback on curriculum proposals across Connecticut State colleges and universities.
See template
See template
University Undergraduate Curriculum Committee Curricular Proposal Form Guide
PDF template
A comprehensive guide and form for proposing curricular changes, new programs, and course modifications at the university level.
See template
See template
Coastal Zone Management Permit Process
PDF template
A comprehensive guide to the coastal zone management permit application process in the Virgin Islands, detailing minor and major permit procedures.
See template
See template
New Family Welcome Packet
PDF template
Comprehensive welcome packet introducing new families to the 4-H youth development program and its core principles.
See template
See template
Disciplinary Actions Form
PDF template
Monthly report documenting disciplinary actions against licensed professionals in Tennessee by regulatory boards.
See template
See template
Dynamic Budget Projections Version 2022 Purchase Form
PDF template
A purchase form for acquiring Dynamic Budget Projections training materials with multiple payment options.
See template
See template
Budget Form
PDF template
A budget form for applying to the Defense Community Economic Development Fund grant administered by the Technical College System of Georgia's Office of Workforce Development.
See template
See template
Draw Down The Lightning Grants Proposal Form
PDF template
A comprehensive grant proposal form for requesting funding from a university for a project aligned with institutional strategic framework.
See template
See template
December 2022 Skip A Pay
PDF template
A form allowing credit union members to defer their loan payment for December 2022 for a processing fee of $47 per loan.
See template
See template
Interdisciplinary Independent Major (IIM) Proposal Form
PDF template
A form for Goucher College students to propose and declare an Interdisciplinary Independent Major across three disciplines.
See template
See template
Declaration Of Primary State Of Residence Form Under The Nurse Licensure Compact
PDF template
Form for nurses to declare their primary state of residence and practice under the Nurse Licensure Compact
See template
See template
DENTAL CONE BEAM CT REFERRAL FORM
PDF template
A medical referral form for dental cone beam CT imaging studies with patient and physician information collection.
See template
See template
Departmental Requisition Form
PDF template
A form used to request and document purchase of goods or services, specifying funding source, vendor details, and item information.
See template
See template
Departmental Requisition
PDF template
Internal form for departments to request services, equipment, or supplies with budget allocation and approval tracking.
See template
See template
Delaware Association Of Professional Engineers Continuing Professional Competency Assessment Form
PDF template
A form for documenting continuing professional competency activities for licensed professional engineers in Delaware.
See template
See template
Dependent And Elder Care Professional Travel Grant Program Reimbursement Form
PDF template
A form for faculty to request reimbursement for dependent care expenses incurred during professional travel.
See template
See template
Proposal Form For Depository Services
PDF template
A proposal document for independent school districts to select a bank for depository services, outlining compensation methods and financial terms.
See template
See template
Departmental Software Order Form
PDF template
A form for ordering and tracking software licenses and media for Virginia Polytechnic Institute and State University departments.
See template
See template
Department Of Human Communication Studies Internship Policies And Procedures
PDF template
Comprehensive guidelines for students seeking internships in the Department of Human Communication Studies, outlining application requirements and procedures.
See template
See template
Guidelines For Promotion Incentive Grant Applications
PDF template
Funding opportunity for senior associate professors to support research and scholarship towards promotion to full professor at James Madison University's College of Arts and Letters.
See template
See template
Desk Copy Order Request Form
PDF template
A form for faculty members to request desk copies of textbooks for undergraduate and graduate courses.
See template
See template
Account Codes Guide
PDF template
A comprehensive guide to account codes and expense classifications for community college budget and accounting practices.
See template
See template
CommercialMulti ResidentialIndustrial Detailed Guide To Building Permit Applications
PDF template
A comprehensive guide for submitting building permit applications for commercial, multi-family, and industrial projects in the City of Nanaimo.
See template
See template
Grant Inquiry Form
PDF template
A form and guide for faculty and staff to submit grant proposals through the Grants Office at BPCC.
See template
See template
Application For Direct Equity Investment (DFC 001B)
PDF template
An official form for submitting an application for direct equity investment through the United States International Development Finance Corporation.
See template
See template
City Of Chicago Budget Form Instructions
PDF template
Instructions for completing the City of Chicago's standard budget form, including guidance on capturing agency and budget information.
See template
See template
2014 Legislative Proposal Form
PDF template
A form for proposing legislative changes related to the Department of Hawaiian Home Lands (DHHL) and Hawaiian Home Lands trust.
See template
See template
DIGITAL DATA AFFIDAVIT FORM
PDF template
A form for submitting digital plans and documents to the Town of East Hartford Planning and Zoning Commission with professional certification.
See template
See template
Lehi High School Purchase Order Request Form
PDF template
A form used by teachers to request purchases from vendors, with approval levels based on total cost
See template
See template
Travel ApprovalReimbursement Request
PDF template
A comprehensive form for employees to request and document travel expenses and reimbursement at McLennan Community College.
See template
See template
Distinction In Mentoring Awards Nomination Form
PDF template
Nomination form for recognizing exceptional faculty mentoring at UCSF across different academic ranks.
See template
See template
Directed Inquiry (KINE 798) Proposal Form
PDF template
A comprehensive guide for graduate students in Kinesiology to propose and complete a directed inquiry research experience.
See template
See template
License Disciplinary Action Form
PDF template
Official form for reporting license disciplinary actions for psychology professionals in California
See template
See template
Directed Independent Study (DIS) Proposal Form For Undergraduate Graduate Students
PDF template
A form for students to propose and obtain approval for an independent study course with a faculty supervisor at the university.
See template
See template
Ph.D. Dissertation Proposal Form Mechanical And Industrial Engineering Doctoral Students
PDF template
A form for Mechanical and Industrial Engineering doctoral students to document their dissertation proposal details and committee composition.
See template
See template
Dissertation Proposal Approval Form
PDF template
A formal academic document used to approve a student's dissertation proposal through multiple levels of academic review.
See template
See template
Dissertation Proposal Approval Form
PDF template
A formal document for academic review and approval of a doctoral dissertation proposal at Indiana University School of Education.
See template
See template
Doctoral Dissertation Proposal Approval
PDF template
A formal document for certifying and approving a doctoral student's dissertation proposal by an academic advisory committee.
See template
See template
Alumni Award Nomination Form
PDF template
Nomination form for recognizing outstanding alumni achievements and contributions to their profession or community.
See template
See template
Distinguished Faculty Award Nomination Form
PDF template
A form used to nominate faculty members for recognition of teaching excellence and service at Missouri Western State University.
See template
See template
District Contact FormApplication Supplement
PDF template
A required form for candidates in the TCSJ IMPACT Intern Credential Program to provide personal, emergency, and employment information.
See template
See template
ANFP Order Form
PDF template
Order form for purchasing textbooks, merchandise, and professional materials from the Association of Nutrition & Foodservice Professionals (ANFP)
See template
See template
DNS Relief Fellowship Request For Project Funding
PDF template
A funding request form for a non-profit organization focused on providing humanitarian aid in developing countries.
See template
See template
Annual Doctoral Student Mentor Feedback Form
PDF template
A comprehensive evaluation form for tracking doctoral student progress in research, teaching, and professional development.
See template
See template
Document Waiver Form
PDF template
A form for applicants to request waiver of required submittal documents when applying for building permits online.
See template
See template
Request For Proposal (RFP) For IS Audit Of Dolphin Application
PDF template
Request for proposal for conducting an information systems audit of a pay and accounting software for the Defence Accounts Department of India
See template
See template
Domestic Maid (Lite) Proposal Form
PDF template
Insurance proposal form for domestic maid coverage in Singapore, detailing proposer and maid particulars.
See template
See template
MUSC Department Of Public Health Sciences Faculty Mentoring Plan
PDF template
A comprehensive document outlining mentoring processes and guidelines for faculty development at the Department of Public Health Sciences (DPHS)
See template
See template
DQE Proposal Feedback Form
PDF template
Evaluation form for doctoral students' research proposal by psychology department committee members.
See template
See template
DRG OPD Regional Fellowship Application Form
PDF template
Application form for a regional fellowship program with specific eligibility requirements and confidential application process.
See template
See template
DropCancellation Form
PDF template
Official form for students to drop or cancel a professional development course at Clarkson College with detailed refund guidelines.
See template
See template
University Of Dubuque Drug Testing Policy For The Aviation Department
PDF template
Policy detailing drug testing requirements and procedures for aviation faculty, staff, and personnel to ensure safety and compliance with FAA regulations.
See template
See template
Fiscal Year 2022 PresidentS Budget Defense Security Cooperation Agency
PDF template
Budget document detailing the Defense Security Cooperation Agency's fiscal year 2022 budget request and operational description.
See template
See template
Professional Development Assessment
PDF template
A confidential assessment form for supervisors to evaluate graduate student interns in the Defense and Strategic Studies program.
See template
See template
Service Provider Feedback Form
PDF template
A comprehensive feedback survey for Crisis Counseling Program staff to assess training effectiveness and workplace experiences.
See template
See template
Employee Dual Service Agreements
PDF template
A documentation of process improvements for faculty/staff providing services to Tennessee state agencies, including streamlining workflows and creating electronic agreement forms.
See template
See template
2024 John S. Dunn Collaborative Research Award Program Proposed Budget
PDF template
Budget proposal form for collaborative research award program with detailed cost breakdown and funding guidelines.
See template
See template
DyAnsys Brief Proposal Form
PDF template
A comprehensive form for researchers seeking project support and equipment loan from DyAnsys, including project details and research objectives.
See template
See template
Dynamic Budget Projections Version 2023 Purchase Form
PDF template
A purchase form for acquiring a budget projection resource from MSBO with payment and billing details.
See template
See template
Dynamic Budget Projections Version 2024 Purchase Form
PDF template
Order form for purchasing a dynamic budget projection resource from MSBO for educational organizations
See template
See template
Academic Affairs Faculty Hiring Checklist
PDF template
A comprehensive step-by-step checklist for hiring faculty members in an academic institution, covering the entire recruitment process.
See template
See template
EARLY TENUREPROMOTION REQUEST FORM FOR PROBATIONARY FACULTY
PDF template
A form for probationary faculty seeking early tenure and promotion before their sixth probationary year.
See template
See template
Third Party Fundraising Event Proposal Form
PDF template
A form for individuals or groups proposing to host a fundraising event on behalf of the Epilepsy Association of Western and Central PA.
See template
See template
Registration Form (Invoice Processing)
PDF template
Registration form for a professional development course on collaborative decision-making principles offered by Point-Productions, LLC
See template
See template
LSU Early Child Education Laboratory Preschool Proposal Form
PDF template
A form for researchers to submit proposals for conducting research with preschool children at the LSU Early Child Education Laboratory Preschool.
See template
See template
General Instructions For The Completion Of A Budget Justification Form
PDF template
Comprehensive guide detailing requirements and guidelines for completing a budget justification form with specific line item instructions.
See template
See template
ECTARC Professional Development Booking Form ETS2v1
PDF template
A form for organizations to request and book professional development training sessions with ECTARC.
See template
See template
Douglas County Business And Industry Internship Program Employer Handbook, TeacherCounselor Handbook
PDF template
A comprehensive guide for employers and educators detailing an internship program in Douglas County, Oregon, with guidelines for implementation and participation.
See template
See template
Guidelines For Preparation Of Budget Forms
PDF template
Detailed guidelines for financial management and budget preparation for Community Development Block Grant (CDBG) fund recipients.
See template
See template
Guidelines For Preparation Of Budget Forms
PDF template
Detailed guidelines for financial management and budget preparation for Community Development Block Grant (CDBG) fund recipients.
See template
See template
Educ D Curriculum Instructn (EDD)
PDF template
Course catalog for directed teaching and seminar courses in secondary and elementary education certification programs.
See template
See template
ISPA Global Fellowship Program Guidelines
PDF template
A one-year fellowship program providing emerging and mid-career performing arts professionals with access to an international professional network and ISPA Congress participation.
See template
See template
Editing Request Submission Form
PDF template
A form for requesting professional editing services for academic documents such as proposals, journal articles, theses, and dissertations.
See template
See template
MEDIATION, COACHING WEBINAR REQUEST FORM
PDF template
A confidential form for requesting mediation, coaching, or webinar services related to workplace conflict management and professional development.
See template
See template
COEHD Education Abroad Proposal Form
PDF template
A comprehensive form for faculty proposing and documenting international education programs within the College of Education and Human Development.
See template
See template
Educational Advancement Packet
PDF template
Comprehensive instructions for documenting educational advancement and professional development activities for educational staff in Arizona.
See template
See template
Education And Professional Development Leave Application Form
PDF template
A form for Valencia College staff to request educational and professional development leave, including acknowledgement of policy terms and reporting requirements.
See template
See template
IFCN Education Fellowship Application Form
PDF template
Application form for clinical neurophysiology training fellowship supporting medical professionals from countries with limited training opportunities.
See template
See template
Education Proposal Form FAQ
PDF template
Frequently asked questions about submitting an education project proposal to the College of Professional Learning and Leadership (CoPLL)
See template
See template
EducationTraining Submission Form
PDF template
Form for submitting educational credits and training points for medicolegal death investigators.
See template
See template
EFDA Program Application Packet
PDF template
Application instructions and checklist for the Expanded Function Dental Assistant (EFDA) program at Owens Community College for 2025-2026 academic year.
See template
See template
Horizon Europe Evaluation Form (HE MSCA)
PDF template
Official guidelines for scoring and evaluating research proposals under the Horizon Europe Marie Skodowska-Curie Actions (MSCA) program.
See template
See template
Request For Proposal Materials And Services For Elections Of Employees Retirement Systems And Teache
PDF template
A request for proposal to select a vendor to provide materials and services for administering retirement system board elections during a five-year period.
See template
See template
Electronic Conference Monday Attendance Form
PDF template
Official attendance tracking form for conference participants to report course credits and attendance for the IIBEC International Convention and Trade Show
See template
See template
Electronic Conference Sunday Attendance Form
PDF template
Official attendance and continuing education tracking form for conference participants, supporting AIA and IIBEC member documentation requirements.
See template
See template
Electronic Proposal Routing Approval Form (EPRAF)
PDF template
A comprehensive form for submitting and routing research project proposals, capturing key details about funding, project team, and administrative information.
See template
See template
STATE OF IDAHO ELEVATOR ACCIDENT REPORT
PDF template
Official form for reporting elevator accidents and incidents in the state of Idaho, to be completed by elevator owners or their representatives.
See template
See template
B2B E List System Guidelines And Open House Luncheon Information
PDF template
Guidelines for professional communication and usage of email lists for real estate brokers within the Aspen Board of Realtors.
See template
See template
FAQ Summer Endorsement For English Language Bilingual Education
PDF template
Informational document about the application and enrollment process for a summer endorsement program in English Language and Bilingual Education.
See template
See template
ELPS 688 FIELDWORK ASSESSMENT FORM
PDF template
A comprehensive evaluation form for assessing student performance and professional dispositions during educational leadership fieldwork.
See template
See template
Active Directory And Email Access Request Form
PDF template
Form for requesting and authorizing Active Directory and email system access for faculty, staff, and consultants
See template
See template
Eye Movement Desensitization And Reprocessing (EMDR) Agency Agreement
PDF template
Application for organizations to participate in EMDR training program with specific time commitment and practitioner requirements.
See template
See template
Mineta Transportation Institute Research Proposal Form
PDF template
Research grant program for junior faculty to explore transportation research problems focused on improving mobility and transportation solutions.
See template
See template
Emeritus Nomination Form
PDF template
A formal process for nominating retiring faculty, staff, and administrators for emeritus recognition at Salt Lake Community College.
See template
See template
Emory R. Rodgers Leadership In Building Safety Fellowship APPLICATION
PDF template
An application for a professional fellowship focused on leadership in building safety, sponsored by the International Code Council (ICC).
See template
See template
Employee Evaluation Plan Policy And Procedures
PDF template
Comprehensive policy outlining procedures for conducting fair and consistent employee performance evaluations at Davis Technical College.
See template
See template
EMPLOYEE FEEDBACK FORM
PDF template
A comprehensive form for evaluating employee performance, identifying strengths, development needs, and creating an action plan for professional growth.
See template
See template
Virginia Tech Employee Software Sales Order Form
PDF template
Order form for Virginia Tech employees to purchase software and technology accessories at discounted rates.
See template
See template
Staff Appraisal
PDF template
A comprehensive employee performance review document for documenting and evaluating staff performance, goals, and development
See template
See template
Employee Performance Evaluation Form
PDF template
A comprehensive performance evaluation form for assessing employee job performance, development, and potential promotion opportunities.
See template
See template
Employee Performance Review Checklist
PDF template
A comprehensive tool for evaluating employee job performance across multiple dimensions including goals, productivity, communication, and teamwork.
See template
See template
Employee Positive Company Review Examples
PDF template
A comprehensive overview of best practices for conducting employee performance reviews and providing constructive feedback.
See template
See template
Employee Self Assessment Form
PDF template
A comprehensive self-evaluation form for employees to reflect on their job performance, achievements, and goals.
See template
See template
Employee Self Assessment Form
PDF template
A comprehensive self-assessment form for employees to evaluate their job performance, achievements, and goals for the upcoming year.
See template
See template
EMPLOYEE EVALUATION PROCESS
PDF template
A comprehensive employee performance evaluation document that assesses professional goals, behaviors, and development opportunities.
See template
See template
Unit 33 Job Application Skills
PDF template
A comprehensive guide for understanding job application processes, including form completion techniques and cover letter writing strategies.
See template
See template
Application Part 1 Proposal Form
PDF template
A comprehensive form for organizations to submit grant proposals, capturing project details, contact information, and funding requirements.
See template
See template
Application To Work In The Right Of Way
PDF template
A municipal permit application for conducting work in public right of way, requiring detailed applicant, owner, and contractor information.
See template
See template
Clinical Psychology Student Evaluation Form
PDF template
A comprehensive evaluation form assessing various professional competencies for clinical psychology students.
See template
See template
Instructions For Multistate Licensure By Endorsement For Nurses Educated In The United States
PDF template
Comprehensive guide for nurses seeking multistate licensure in Oklahoma through endorsement for those educated in the United States.
See template
See template
State Of New Hampshire Complaint Form
PDF template
Official form for filing a complaint against a licensed professional with the New Hampshire Office of Professional Licensure and Certification.
See template
See template
Annual Budget 202425 Phase One Engagement Summary Report
PDF template
A report documenting the community engagement process for the Maribyrnong City Council's annual budget development, detailing feedback collection methods and results.
See template
See template
Sussex County Engineering Plan Submission Form
PDF template
A comprehensive form for submitting engineering and development plans for review by Sussex County, covering project details, fees, and ownership information.
See template
See template
English Language Proficiency Interview For J 1 Scholars
PDF template
A document used to assess and document English language proficiency for international visiting scholars at Oregon State University seeking J-1 Exchange Visitor status.
See template
See template
Enrichment Program Proposal
PDF template
A form for submitting proposed educational enrichment programs to Rochester Community Schools for review and potential approval.
See template
See template
Entertainment Expense Approval Form
PDF template
Form for requesting and approving university-related entertainment expenses with detailed documentation requirements.
See template
See template
Competition Entry Form
PDF template
A form for architects to submit entries to a design competition with personal and submission details.
See template
See template
Green Partners Budget Form
PDF template
Detailed budget breakdown for a community recycling and environmental education project involving ambassadors and workshops.
See template
See template
Green Partners Budget Form
PDF template
Comprehensive budget form detailing expenses for a youth environmental project including staff, youth stipends, field trips, and program supplies.
See template
See template
Environmental Assessment Form
PDF template
A comprehensive form for documenting project details and environmental considerations for development projects in Fresno, California.
See template
See template
Release Of Liability, Promise Not To Sue, Assumption Of Risk And Agreement To Pay Claims
PDF template
A legal document that releases a university from liability for potential injuries or damages during an activity or related travel.
See template
See template
Performance Review Form
PDF template
A comprehensive performance review document for administrative professional staff, detailing the review process and evaluation criteria.
See template
See template
EPC Requisition Form
PDF template
A financial form for requesting payments or reimbursements within a church ministry budget across various ministry categories.
See template
See template
Kenyon College Employee Performance Program Guide For Supervisors
PDF template
A comprehensive guide outlining Kenyon College's performance management process, including quarterly check-ins and triennial performance reviews.
See template
See template
English Profile Research Proposal Form
PDF template
A structured template for submitting research proposals to the English Profile program, outlining project details and research methodology.
See template
See template
Equipment Requisition Form (Purchases Under 5K)
PDF template
A form for requesting equipment purchases under $5,000, including vendor details, pricing, and approval signatures.
See template
See template
ERME Budget Form
PDF template
Comprehensive budget form for research project expenses covering personnel, equipment, travel, and other direct costs.
See template
See template
Employee Relations Team Minutes
PDF template
Minutes from the Employee Relations Team meeting discussing various employee engagement and support activities.
See template
See template
MASTERS THESIS RESEARCH PROPOSAL FORM ESE 597
PDF template
A form for students to propose and obtain approval for a master's thesis research project in the Electrical and Systems Engineering department.
See template
See template
ESPEN Research Fellowships 2021 Application Form
PDF template
Application form for research fellowship program offering financial support to research professionals in a specialized field.
See template
See template
Faculty Education, Scholarship, Practice, And Service (ESPS) Declaration Form
PDF template
A form for medical science faculty to declare their planned educational, scholarly, practice, and service activities for a semester.
See template
See template
Essential Messages For Planning Your CME Activity
PDF template
A comprehensive guide for planning and submitting Continuing Medical Education (CME) activities that meet ACCME accreditation requirements.
See template
See template
ESTABLISHING A PROJECT FORM
PDF template
A form used to establish a new project or fund within the Florida Atlantic University Foundation, detailing project purpose, funding, and authorized signers.
See template
See template
NREL Form Estimated Budget Form
PDF template
A comprehensive budget and cost estimation form for project proposals submitted to the National Renewable Energy Laboratory (NREL)
See template
See template
Internship Evaluation Form
PDF template
A comprehensive form for supervisors to evaluate student interns' performance across multiple professional competencies and characteristics.
See template
See template
Employment Training Fund (ETF) Employer Referral Agreement
PDF template
A form for employers to refer employees for training programs through the Department of Labor and Industrial Relations workforce development initiative.
See template
See template
Employment Training Fund (ETF) Employer Referral Agreement
PDF template
A form for employers to request workforce training funding assistance through the Department of Labor and Industrial Relations' Employment & Training Fund.
See template
See template
CSC399 Internship Evaluation Form
PDF template
A comprehensive evaluation form for tracking student internship progress and learning goals in computer science.
See template
See template
Employee Self Assessment
PDF template
A voluntary form designed to help employees and supervisors prepare for the annual performance review by reflecting on job performance and goals.
See template
See template
Adjunct Faculty Evaluation Form 2 2017
PDF template
A comprehensive evaluation form for assessing adjunct faculty performance, teaching activities, and potential reappointment.
See template
See template
Postdoctoral Scholar Annual Performance Evaluation Form
PDF template
An annual evaluation form for assessing the performance and progress of postdoctoral scholars by their mentors.
See template
See template
Faculty Tenure And Promotion Recommendation Form
PDF template
Recommendation form for evaluating a faculty member's candidacy for promotion to Professor, assessing teaching, professional activity, and service.
See template
See template
Faculty Tenure And Promotion Recommendation Form
PDF template
A comprehensive evaluation form for assessing a faculty member's eligibility for promotion to Professor, covering teaching, professional activity, and service.
See template
See template
FAEC Annual Conference Evaluation Form
PDF template
Evaluation form for conference sessions covering government accounting and auditing topics
See template
See template
FAEC Annual Conference Evaluation Form
PDF template
Evaluation form for tracking participant feedback on conference sessions at the FAEC Annual Conference
See template
See template
JONES COUNTY JUNIOR COLLEGE EMPLOYEE PERFORMANCE REVIEW
PDF template
A comprehensive guide and form for conducting annual employee performance evaluations at Jones County Junior College, focusing on job competency and development.
See template
See template
Faculty Performance Review
PDF template
A comprehensive review process for evaluating faculty performance focusing on professional development, instruction, and college service without direct merit pay implications.
See template
See template
Professional Growth System For Administrators
PDF template
Comprehensive evaluation framework for school administrators in College Community School District, outlining performance standards, review processes, and professional growth expectations.
See template
See template
EVENTACTIVITY REQUEST RISK ASSESSMENT FORM
PDF template
A comprehensive form for submitting and assessing potential risks associated with university events and activities
See template
See template
EVENT AND BUDGET PROPOSAL FORM
PDF template
A form for leaders to propose and request funding for community events related to sustainability and urban innovation.
See template
See template
ST. JUDE DRIVE EVENT PROPOSAL FORM
PDF template
A form for proposing and documenting details of a St. Jude Drive fundraising event with driver and event information.
See template
See template
Event Proposal Form
PDF template
A comprehensive form for military personnel to propose and plan squadron recreational and social events with detailed funding and activity breakdowns.
See template
See template
EVENT PROPOSAL FORM For RacesRuns Special Events
PDF template
A comprehensive form for individuals or groups to propose and request special events at county parks with detailed event and service requirements.
See template
See template
Event Proposal Form
PDF template
A comprehensive form for proposing and documenting details of an upcoming event, including purpose, participants, and event specifics.
See template
See template
Events, Programs Special Projects Proposal Form
PDF template
A comprehensive form for submitting event, program, or project proposals at Seattle University School of Law with detailed guidelines and requirements.
See template
See template
Event Proposal Form
PDF template
A form for student organizations to propose and document campus or community events, including event details, expenses, and impact.
See template
See template
Event Proposal Form
PDF template
A form for members to propose and detail potential events or projects for the Tau Beta Pi engineering honor society chapter.
See template
See template
CY 2025 TITLE IV E REIMBURSEMENT FOR COUNTY EWiSACWIS COSTS
PDF template
Guidelines for preparing budget forms and time reports for Title IV-E reimbursement of county eWiSACWIS system costs for calendar year 2025.
See template
See template
Exam Order Form
PDF template
A form for ordering certification exams from the American Concrete Institute (ACI), with options for exam type, language, and shipping preferences.
See template
See template
Exceptional Travel Expense Approval Form For UC Berkeley Faculty And Staff
PDF template
A form for obtaining pre-approval and documenting special circumstances for travel expenses for UC Berkeley faculty and staff.
See template
See template
Performance Evaluation Exempt Staff
PDF template
A comprehensive evaluation form for exempt staff members at Point Loma Nazarene University, assessing multiple professional dimensions and performance criteria.
See template
See template
WCSU Professional Development Schools (PDS) ED 320 Elementary Education Student Evaluation Form
PDF template
An evaluation form for assessing student teachers' performance in field experiences, measuring competencies across multiple professional teaching standards.
See template
See template
Bid Proposal Form
PDF template
A bidding document for a municipal sewer rehabilitation project with base bid and add alternate bid sections.
See template
See template
Metropolitan Redevelopment Agency Formal RFP Inquiry Form
PDF template
A formal document for submitting questions and contact information in response to a request for proposal (RFP) or request for expression of interest (RFEI) by the City of Albuquerque's Metropolitan Redevelopment Agency.
See template
See template
FORMAL RFP INQUIRY FORM
PDF template
A form for submitting formal questions and inquiries related to a Request for Proposal (RFP) process for the City of Albuquerque's Metropolitan Redevelopment Agency.
See template
See template
Exhibit B Proposal Form
PDF template
A proposal form for security guard services detailing hourly rates and contract terms for Benton County.
See template
See template
Consulting Services Agreement
PDF template
A legal agreement outlining the terms and conditions for consulting services between the Sites Project Authority and a consultant.
See template
See template
Exhibition Proposal Form
PDF template
A form for submitting exhibition proposals to the San Francisco Public Library's Office of Exhibitions & Programming.
See template
See template
Undergraduate Exit Questionnaire
PDF template
A comprehensive survey for computer science undergraduate students capturing post-graduation employment, academic, and professional development information.
See template
See template
EXPENSECOST TRANSFER REQUEST FORM
PDF template
A form for requesting transfer of expenses or costs between different financial account codes (FOAPA)
See template
See template
Expense Transfer Request
PDF template
Internal form used to transfer expenditures between different FOAPAL accounts within the university's financial system.
See template
See template
OPSCA Expert Witness Contract Request Form (CRF)
PDF template
A form for submitting expert witness contract details through the RASR system at UNC, used for routing and approving contracts for faculty expert witness work.
See template
See template
Presidential Rank Award (PRA) Express Billing Form
PDF template
Financial document for submitting and obligating payment for Presidential Rank Award nominees to the Office of Personnel Management (OPM)
See template
See template
External Employment And Consulting Leave Request Form
PDF template
A form for Texas A&M University-Kingsville employees to request leave for external employment or consulting activities.
See template
See template
Fundraising Activity Proposal Form
PDF template
A form used by McLennan Community College employees to propose and get approval for fundraising activities and solicitations.
See template
See template
Request For Proposal Implementation Of PeopleSoft Academic Advisement
PDF template
Solicitation document for implementation of PeopleSoft Academic Advisement system at the University of Central Florida
See template
See template
EXHIBIT 4 PROPOSAL FORM
PDF template
Proposal form for a construction project involving remodeling buildings at CBJTC with base bid and alternate proposal options.
See template
See template
Financing Agreement
PDF template
International Development Association grant agreement with the Republic of Haiti for an urban development project.
See template
See template
Faade Improvement Grant Application
PDF template
A grant application form for property owners or tenants seeking funding for exterior building improvements in the Town of Fort Mill, South Carolina.
See template
See template
SELF FEEDBACK FORM
PDF template
A structured form for facilitators to evaluate their own performance and identify areas of improvement after a facilitation session.
See template
See template
Facilitator Feedback Form
PDF template
A form for assessing a facilitator's performance during protocol-based group processes.
See template
See template
Evaluation Form For Faculty Ombuds
PDF template
Confidential survey to assess the effectiveness and performance of the Faculty Ombuds at the University of Houston-Downtown.
See template
See template
Faculty Staff Separation Checklist
PDF template
Comprehensive checklist for faculty and staff leaving the University of Georgia, covering benefits, property return, and account management.
See template
See template
FACULTY STAFF MOTOR VEHICLE REGISTRATION FORM
PDF template
A form for faculty and staff to register their motor vehicles for campus parking purposes.
See template
See template
Friends Of ACU Library (FACUL) Membership Form
PDF template
A membership form for supporting the Brown Library at Abilene Christian University with various donation levels and gift options.
See template
See template
FACULTY ABSENCE CLASS CANCELLATION FORM
PDF template
A form for faculty to report planned or unexpected class absences and cancellations to the academic administration.
See template
See template
Faculty Additional Employment Pre Authorization Form
PDF template
Form for faculty to request and pre-authorize additional employment or assignments outside their primary role.
See template
See template
Faculty Agreement Form
PDF template
Graduate school form documenting faculty attendance and signatures for a student's final oral examination.
See template
See template
Spectra Undergraduate Research Journal Faculty Advisor Agreement
PDF template
A form for faculty mentors to provide consent and verification for undergraduate student research publication.
See template
See template
Faculty Grant Application Form
PDF template
Application form for faculty seeking funding for experiential learning projects through the Global Humanities Institute Fellowship program.
See template
See template
Faculty Assembly (FA) Payroll Deduction Form
PDF template
A form for faculty members to authorize payroll deductions for the Faculty Assembly contributions for fiscal year 2015/16.
See template
See template
Faculty Assigned Time Pre Authorization Form
PDF template
A form for faculty to request and document assigned time for academic activities with required approvals and reporting.
See template
See template
Faculty Auditing Inquiry Form
PDF template
A form for faculty to report issues or make special requests related to faculty hours auditing and reporting.
See template
See template
MEDIA SERVICES EQUIPMENT CHECKOUT FACULTY AUTHORIZATION FORM
PDF template
A form allowing UCSC faculty to authorize students to check out media equipment for course projects.
See template
See template
Faculty Excellence Awards Nomination Form
PDF template
Nomination form for recognizing faculty achievements in service, teaching, and scholarship at the University of Arkansas for Medical Sciences.
See template
See template
9 Month Faculty Cancellation Form For Deferred Pay
PDF template
A form allowing faculty members to cancel their election to defer salary for a 9-month academic appointment and switch to standard bi-weekly pay periods.
See template
See template
FACULTY COMPLAINT FORM
PDF template
A form for faculty members to document and submit workplace complaints through a formal institutional process
See template
See template
Reporting Of Faculty Consulting And Research With Public Or Private Entities Compliance Form
PDF template
A form for full-time faculty to report and obtain approval for outside consulting or research activities that involve compensation.
See template
See template
Faculty Council Faculty Standing Committee Annual Report Form
PDF template
Annual reporting document for faculty standing committee activities, accomplishments, and future plans within an academic institution.
See template
See template
Faculty Credential Inventory Form
PDF template
A form used by Collin County Community College District to document faculty qualifications and credentials for teaching positions.
See template
See template
FACULTY DEVELOPMENT GRANT APPLICATION FORM
PDF template
A grant application form designed to support faculty members in acquiring new pedagogical techniques or learning disciplines outside their primary field of expertise.
See template
See template
Faculty Development Grant Proposal Form
PDF template
A form for faculty members to request funding for professional development, enrichment, or community activities.
See template
See template
Faculty Development Grant Summary Report Form
PDF template
A form for faculty to report on the outcomes and impact of a professional development grant.
See template
See template
UFIFAS Faculty Evaluation Form
PDF template
A comprehensive evaluation form for assessing faculty performance across multiple professional areas using a 1-5 rating scale.
See template
See template
Faculty Evaluation Form
PDF template
Comprehensive evaluation form for assessing faculty performance, teaching effectiveness, and compliance with institutional standards.
See template
See template
Employee Evaluation Process
PDF template
A comprehensive evaluation form for assessing faculty performance across multiple dimensions including goals, behavior, and instructional responsibilities.
See template
See template
Faculty Evaluation Form Tenure, Tenured Track, Non TT
PDF template
Comprehensive evaluation document for assessing faculty performance across teaching, research, service, and administrative responsibilities.
See template
See template
Performance Evaluation Packet
PDF template
Annual evaluation process for faculty members covering performance assessment across multiple dimensions including teaching, engagement, and institutional responsibilities.
See template
See template
Faculty Evaluation Form
PDF template
A comprehensive evaluation form for assessing faculty performance across multiple professional dimensions.
See template
See template
33541 30 08.1 Faculty Evaluation Procedure
PDF template
Comprehensive guidelines for evaluating faculty performance across multiple dimensions, emphasizing professional development and diverse assessment methods.
See template
See template
Appendix G Evaluation Procedures
PDF template
Comprehensive guide outlining evaluation criteria, procedures, and forms for various types of faculty and healthcare providers.
See template
See template
Faculty Expense Reimbursement Form
PDF template
A form for University of the South faculty to document and request reimbursement for professional expenses and mileage.
See template
See template
Faculty Request To Support Graduate Student Research Proposal Or Thesis
PDF template
A form for WellStar College of Health & Human Services faculty to request professional development funds for supporting graduate student research projects.
See template
See template
FACULTY GRANT APPLICATION FORM
PDF template
Application form for faculty members seeking research and project funding from the McGillicuddy Humanities Center at the University of Maine.
See template
See template
Faculty Handbook Change Proposal Form
PDF template
A form for proposing changes to the university's Faculty Handbook, to be reviewed by the Faculty Governance Committee.
See template
See template
Parker University Faculty Handbook
PDF template
Comprehensive guide outlining faculty responsibilities, academic regulations, and governance at Parker University.
See template
See template
Faculty Led Study Abroad Program Inquiry Form
PDF template
A form for faculty to propose and outline details of a potential short-term international study abroad travel course.
See template
See template
FACULTY LEAVE AND CLINIC CANCELLATION FORM
PDF template
A form for faculty members to request leave, vacation, or clinic cancellations in the Division of Endocrinology and Metabolism.
See template
See template
Faculty Leave And Clinic Cancellation Form
PDF template
A form for faculty members to request leave, cancel clinics, and arrange coverage in the Division of Endocrinology and Metabolism.
See template
See template
UNIVERSITY OF PUGET SOUND FACULTY LEAVE REQUEST FORM
PDF template
A comprehensive form for faculty members to request various types of leave, including medical, family, parental, and extended leaves.
See template
See template
FACULTY LED PROGRAM PAYMENT REQUEST FORM
PDF template
A form for requesting payment for faculty-led study abroad program expenses, detailing payment method and vendor information.
See template
See template
Faculty Led Programs Emergency Preparation, Emergency Procedures, Crisis Management
PDF template
Guidelines for emergency preparation and management for faculty-led educational programs, including pre-departure procedures and participant information collection.
See template
See template
ODU Faculty Led Study AbroadAway Proposal Form
PDF template
A proposal form for Old Dominion University faculty to submit details for potential study abroad or away academic programs.
See template
See template
Study Abroad Proposal Form
PDF template
A comprehensive form for faculty to propose and gain approval for an international study abroad program at Ferris State University.
See template
See template
Annual Student Symposium Faculty Mentor Approval Form
PDF template
Form for faculty mentors to certify research approvals for student presentations involving human or animal subjects at an annual symposium.
See template
See template
Parental Leave Request Form
PDF template
A form for university faculty to request parental leave, specifying leave type, duration, and understanding of leave conditions.
See template
See template
Faculty Payroll Authorization Form
PDF template
Form for full-time faculty to choose between academic year or fiscal year payroll distribution options.
See template
See template
Faculty Professional Development Proposal Form
PDF template
A form for faculty to outline goals and details of a professional mentorship activity for the current academic term.
See template
See template
Faculty Performance Evaluation Policy And Procedure
PDF template
Policy outlining the annual performance evaluation process for full-time, part-time, and voluntary faculty at New York Medical College School of Medicine.
See template
See template
FACULTY PERSONNEL FILE SUBMISSION FORM
PDF template
A form for faculty members to submit documentation related to scholarship, college service, pedagogical participation, and other professional activities.
See template
See template
Out Of Cycle Resource Request Form
PDF template
Memo documenting a request for a full-time nursing faculty position replacement due to retirement and accreditation requirements.
See template
See template
Out Of Cycle Resource Request Form
PDF template
A document requesting a replacement full-time faculty position for the Nursing program outside of the standard program review cycle.
See template
See template
MDST Proposal Form Faculty Proposal
PDF template
A form for faculty to submit proposals for new academic areas of study within the MDST major, requiring detailed curriculum and rationale documentation.
See template
See template
FACULTY REQUISITION (Form 5)
PDF template
A formal document used by California State University, Bakersfield to initiate and document faculty hiring and appointment processes.
See template
See template
Faculty Requisition Plan
PDF template
A comprehensive form for requesting and justifying a new faculty position at California State University, Dominguez Hills.
See template
See template
FACULTY REQUISITION FORM TENUREDTENURE TRACK
PDF template
A form used by academic departments to request and initiate the hiring process for tenured or tenure-track faculty positions.
See template
See template
Faculty Research Proposal
PDF template
A formal document for faculty members to submit research project proposals seeking funding and approval from the university research council.
See template
See template
FACULTY RESIGNATION FORM
PDF template
A formal document used by faculty members to officially resign from their academic position at an institution.
See template
See template
Faculty Scholarly And Creative Activity Leave Application
PDF template
A comprehensive application for faculty members requesting scholarly and creative activity leave at Winston-Salem State University for the 2022-2023 academic year.
See template
See template
Guidelines For Conducting A Faculty Search
PDF template
Comprehensive guide for conducting faculty recruitment and hiring processes at a university, outlining search procedures and legal compliance requirements.
See template
See template
Faculty Staff Edition BHSU E Update
PDF template
Monthly newsletter for Black Hills State University faculty and staff with announcements and updates about campus services and policies.
See template
See template
Faculty And Staff Contribution Form
PDF template
A form enabling faculty and staff to make financial contributions to various university funds and programs through cash, check, credit card, or payroll deduction.
See template
See template
Faculty And Staff International Travel Waiver Form
PDF template
Legal document outlining risk acknowledgment and liability release for Towson University faculty and staff traveling internationally.
See template
See template
Faculty Staff IT Risk Assessment RA 1
PDF template
A mandatory risk assessment form for faculty and staff with administrative privileges on information resources at the College of Architecture.
See template
See template
FacultyStaff Payroll Deduction Form
PDF template
A form for Widener University faculty and staff to set up recurring or one-time payroll donations to university funds.
See template
See template
Staff Vehicle Registration Form
PDF template
A form for staff and faculty to register their vehicles for campus parking access and identification.
See template
See template
APPENDIX C 5h STUDENT EVALUATION FORM FOR INSTRUCTIONAL FACULTY
PDF template
A confidential form for students to evaluate instructional faculty performance across multiple dimensions of teaching effectiveness.
See template
See template
Faculty Teaching Evaluation Form
PDF template
A comprehensive form for evaluating faculty teaching performance across multiple dimensions including subject knowledge, material presentation, and learning environment.
See template
See template
Faculty Travel And Business Expense Report Form
PDF template
A form for University of the South faculty to report and request reimbursement for travel-related expenses and business trips.
See template
See template
TRAINERS CHECKLIST 40 HOUR FAMILY ARBITRATION TRAINING PROGRAM
PDF template
A comprehensive training program outline for family arbitration professionals covering legal concepts, legislation, dispute resolution, and arbitration processes.
See template
See template
Illinois Wesleyan University Student Senate Code Of Finances
PDF template
Comprehensive financial guidelines for student organization funding and resource management at Illinois Wesleyan University.
See template
See template
Community Gallery Proposal Form
PDF template
Application form for non-profit organizations seeking to exhibit artwork in a community gallery space
See template
See template
Family Child Care Leave Request Form
PDF template
A form for tenured, tenure-track, and lecturer faculty to request paid family child care leave following birth or adoption of a child.
See template
See template
Frequently Asked Questions (FAQ) Budget Development Forms
PDF template
A guide explaining budget request processes, forms, and procedures for university departments and budget submissions.
See template
See template
Annual Conference FAQS
PDF template
Frequently asked questions about registration, membership rates, and conference details for the Pennsylvania Library Association annual conference.
See template
See template
Professional Development Program Research Proposal Form
PDF template
A form for faculty or staff to propose professional development activities, research projects, or presentations at Florida Atlantic University Libraries.
See template
See template
FBLA Collegiate Membership Form
PDF template
Membership form for Future Business Leaders of America-Collegiate organization, designed for students preparing for business careers.
See template
See template
Annual Faculty Evaluation
PDF template
A comprehensive document outlining the annual evaluation process for faculty members in the Department of Family and Consumer Sciences.
See template
See template
Director Proposal Form For Fauquier Community Theatre (FCT)
PDF template
A comprehensive form for theatre directors to propose and detail a potential production for Fauquier Community Theatre.
See template
See template
Faculty Development Committee (FDC) Disbursement Expense Reporting
PDF template
Guidelines for faculty expenses, reimbursement processes, and fiscal year spending for Regis University faculty development funds.
See template
See template
Off Campus Conference, Seminar, Or Workshop Application For Funding
PDF template
A form for faculty to request funding for professional development events and conferences outside the campus.
See template
See template
PHASE VII FDP DEMONSTRATION PROPOSAL FORM
PDF template
A form for proposing new or ongoing demonstrations within an organizational framework, detailing project objectives and implementation.
See template
See template
DISSERTATION PROPOSAL APPROVAL
PDF template
Official form for submitting and obtaining approval for a doctoral dissertation proposal in Sacred Theology.
See template
See template
Berkeley Language Center Professional Development Fellowship Application
PDF template
A fellowship program supporting language lecturers in conducting research projects related to language acquisition and pedagogy at UC Berkeley.
See template
See template
Fellowship Application Form
PDF template
Application form for the Kevin E Wilk, DPT Fellowship program in Sports Medicine
See template
See template
ECSS Fellowship Application 2024
PDF template
Application form for seeking fellowship with the European College of Sport Science, requiring specific professional and academic qualifications.
See template
See template
Fellowship Application
PDF template
Application form for membership recognition in the Association of Energy Engineers (AEE) fellowship program.
See template
See template
Application For Fellowship
PDF template
Application form for becoming a Fellow member in arbitration or mediation through examination, reciprocity, or special waiver.
See template
See template
CIRSE Fellowship Information And Application
PDF template
Comprehensive guidelines for physicians and scientists seeking CIRSE Fellowship status in interventional radiology and cardiovascular imaging.
See template
See template
Distinguished College Fellow Nomination Form
PDF template
A form used to nominate individuals for a distinguished college fellowship, collecting professional and personal details about the nominee.
See template
See template
Fellows Submission Form
PDF template
Comprehensive nomination form for recognizing outstanding contributions to the assessment industry by IAAO professionals.
See template
See template
National Dam Safety Program Training RequestApproval Form
PDF template
A form for requesting and approving dam safety training courses through the National Dam Safety Program (NDSP)
See template
See template
ACI Concrete Flatwork Certification Client Affidavit Form Instructions
PDF template
Instructions for self-employed individuals seeking ACI Concrete Flatwork Certification through client affidavits and performance verification.
See template
See template
FFVP INITIAL BUDGET FORM 2024 2025
PDF template
Budget allocation form for schools participating in the Fresh Fruit and Vegetable Program with detailed monthly spending categories.
See template
See template
FHWA Transfer Request Form FHWA 1575
PDF template
Official form for transferring and repurposing federal highway program funds between different project categories and programs.
See template
See template
Field Research Grant (FRG) Budget Form
PDF template
A budget form for requesting funds to support field research expenses and travel costs.
See template
See template
FIRST YEAR INTEREST GROUP (FIG) PROPOSAL FORM FALL 2024
PDF template
A proposal form for creating a First-Year Interest Group (FIG) course cluster for incoming university students.
See template
See template
CSB And CoC Invoicing Frequently Asked Questions
PDF template
A comprehensive guide explaining invoicing procedures, budget constraints, and documentation requirements for Community Service Board (CSB) and Continuum of Care (CoC) contracts.
See template
See template
Budget Justification
PDF template
A document template for itemizing and justifying budget expenses with quantity and total cost calculations.
See template
See template
D50 Hawaii Lions Constitution, By Laws And Standing Policies Proposal Form
PDF template
A form for proposing amendments or additions to the Hawaii Lions District 50 Constitution, By-Laws, and Standing Policies.
See template
See template
PROJECTACTIVITY PROPOSAL FORM
PDF template
A form for faculty to request funding for professional development and scholarly activities within the department's priorities and goals.
See template
See template
CLE Program Evaluation Form
PDF template
A form for participants to provide feedback on a legal education course across multiple evaluation criteria.
See template
See template
American Chemical Society Division Membership Application
PDF template
Application form for joining a division of the American Chemical Society with various membership categories and payment options.
See template
See template
Cost Share Request Form
PDF template
A form for documenting and requesting cost sharing details for research project proposals across multiple years.
See template
See template
Preliminary Administrative Services Credential Program District Approval Form
PDF template
Form for obtaining district approval for administrative credential program fieldwork, requiring one day per week for 12 weeks shadowing a principal at a different school site.
See template
See template
InternExtern Application Packet
PDF template
Application for internship and externship opportunities at Elica Health Centers, focusing on medical, dental, and behavioral health fields.
See template
See template
Leadership Fredericksburg 2023 Program Application
PDF template
A nine-month leadership development program for emerging leaders in the Fredericksburg region focused on community engagement and personal growth.
See template
See template
Volunteer Orientation
PDF template
A comprehensive orientation document for college students interested in volunteering at a physical therapy clinic to gain healthcare experience and learn about the profession.
See template
See template
Form 2D Monthly Fee Schedule And Billing Form
PDF template
A billing form for professional clients to record employment status and monthly fee payment for a recovery program.
See template
See template
NPI Partnership Agreement Letter
PDF template
A collaborative agreement form for partners to work together on a joint project, outlining organizational roles and contact details.
See template
See template
Student Portfolio Review Form
PDF template
Form for evaluating student portfolios and determining internship eligibility with criteria for communication, presentation, professionalism, and craft.
See template
See template
Practical Application Commitment
PDF template
A form for recording workshop attendance, learning outcomes, and planned implementation of course insights for township professionals.
See template
See template
JMC Special Course Proposal Form
PDF template
A form for students to propose and document special variable credit courses with instructor approval.
See template
See template
Subdivision Application Form
PDF template
A comprehensive form for submitting subdivision and property development applications, including various types of layout acceptances and approvals.
See template
See template
Verification Of Attendance Form For Continuing Professional Education Activities
PDF template
A form for documenting and verifying continuing professional education (CPE) hours and program details.
See template
See template
Film Budget Pro Confidentiality Agreement
PDF template
A confidentiality agreement between Film Budget Pro and a client to protect sensitive information during potential film budgeting services discussions.
See template
See template
MeHAF Budget Guidance
PDF template
Comprehensive guide for completing budget forms for grant applications, detailing income, expenses, and accessibility considerations.
See template
See template
Final Budget Approval Form
PDF template
A form for documenting project costs, financing, and details for State Water Resources Control Board's State Revolving Fund program.
See template
See template
Certificate In Dance Teaching Application Form For Entry In 2024
PDF template
Application form for prospective students seeking entry into the Certificate in Dance Teaching program starting in January 2024, delivered via distance learning.
See template
See template
PDI Final Checklist
PDF template
Comprehensive checklist for interns to complete final requirements and documentation prior to program completion.
See template
See template
FINAL FINANCING FORM
PDF template
Form for documenting final funding sources and amounts for a housing tax credit project by the Illinois Housing Development Authority.
See template
See template
Graduate Faculty Nomination Form
PDF template
A document used to nominate an individual for graduate faculty status at an academic institution, detailing the nominee's qualifications and background.
See template
See template
Guide To Completing AEIF Proposal Form
PDF template
A comprehensive guide for international exchange alumni to create strong project proposals for the Alumni Engagement Innovation Fund (AEIF)
See template
See template
Guide To The AEIF Budget Form And Budget Justification
PDF template
Comprehensive guide for submitting project budget proposals, including detailed instructions for budget form completion and budget justification requirements.
See template
See template
Application For Final Plat Approval
PDF template
Form for submitting a subdivision final plat for approval by the local Planning and Zoning Commission.
See template
See template
Request For Proposals For Purchase And Development Of 4 Summer Drive
PDF template
Request for proposals to purchase and develop a property located at 4 Summer Drive in Winchendon, Massachusetts, consisting of two contiguous lots and a warehouse building.
See template
See template
Brother Joseph Miggins Service Program Proposal Form
PDF template
A student proposal form for documenting community service project details and plans.
See template
See template
Notice Of FinancePersonnel Committee Meeting
PDF template
Official meeting agenda for the East Aurora School District 131 Finance/Personnel Committee covering financial and personnel matters
See template
See template
INTERNSHIP APPLICATION FORM
PDF template
A form for students to apply for and document internship placement in finance-related roles at Cleveland State University.
See template
See template
Finance Forum Notes
PDF template
Documentation of a new electronic budget revision workflow system and updated returned check fee procedure for an organization
See template
See template
Finance Handbook Of The University Of Rhode Island Student Senate
PDF template
Comprehensive financial policies and procedures manual for the University of Rhode Island Student Senate governing financial operations and budgeting.
See template
See template
FINANCIAL ASSESSMENT FORM
PDF template
A comprehensive document capturing an individual's income sources, expenses, and financial status for assessment purposes.
See template
See template
Summary Of ADB Financial Instruments And Approval Procedures
PDF template
A comprehensive guide to financial instruments and approval procedures for the Asian Development Bank's operations and lending processes.
See template
See template
REQUEST FOR PROPOSAL Financial Transparency And Data Visualization Tool
PDF template
Request for proposal for a financial transparency and data visualization tool to be provided to the City of Westminster's Policy & Budget Department.
See template
See template
Town Of West Boylston Finance Committee Transfer Request Form
PDF template
A municipal form for requesting budget transfers or reserve fund allocations within local government financial procedures.
See template
See template
Report On 2002 03 GovernorS Budget
PDF template
A joint meeting of the UC Regents Committees on Grounds and Buildings and Finance discussing the state budget challenges and potential budget cuts.
See template
See template
Fire District Adopted Budget
PDF template
Budget document for a fire district detailing financial resources, tax revenue, and levy estimates for a fiscal year.
See template
See template
Fire Statement Guidance
PDF template
A document providing guidance on preparing fire statements for planning permission applications, focusing on fire safety matters relevant to land use planning.
See template
See template
Fiscal And Administrative Policy
PDF template
Comprehensive policy manual providing guidelines for state agencies on fiscal management, expenditures, and administrative procedures
See template
See template
Inter Department Charge Requisition Form
PDF template
A form for charging purchases from campus departments to specific budget accounts within an organization.
See template
See template
North Dakota Legislative Fiscal Internship Program Description, Duties, And Qualifications
PDF template
A comprehensive overview of the North Dakota Legislative Council's fiscal internship program, detailing program responsibilities, qualifications, and compensation for students.
See template
See template
Faculty Information System Project Form
PDF template
A form for requesting faculty data from the Faculty Information System (FIS) for research or administrative purposes
See template
See template
FIXED PRICE AGREEMENT BUDGET FORM
PDF template
A financial form for tracking projected and actual expenditures for a research project with fixed-price funding.
See template
See template
Flex Memorandum
PDF template
Guidelines for faculty professional development activities and reporting requirements for the 2024-2025 academic year in the SMCCCD district.
See template
See template
Flex Memorandum
PDF template
A comprehensive memo outlining flex day requirements and guidelines for faculty in the San Mateo County Community College District for the 2024-2025 academic year.
See template
See template
Informed Consent To Tattoo Procedure
PDF template
A legal form for documenting informed consent and required patron information before receiving a tattoo procedure in Wisconsin.
See template
See template
Additional Compensation Cancellation Form
PDF template
A form used to cancel or reduce additional compensation for faculty members at an educational institution.
See template
See template
DEKALB COUNTY GOVERNMENT FY 2021 BUDGET INSTRUCTIONS FOR DEPARTMENTS
PDF template
Instructions for DeKalb County departments on completing budget documentation for fiscal year 2021.
See template
See template
DeKalb County Government FY 2021 Budget Form Submittal Requirements
PDF template
Comprehensive guide for county departments detailing required and optional budget forms for fiscal year 2021.
See template
See template
AV Systems Proposal Final
PDF template
A proposal from Ford Audio-Video Systems for an audio-video system installation for the Oklahoma County Clerk's office.
See template
See template
PGA Professional Golf Management Program Application
PDF template
An application form for individuals seeking to join the PGA Professional Golf Management Program, outlining pre-requisites, documentation requirements, and eligibility criteria.
See template
See template
Form 22 Request For Confidentiality
PDF template
A form for contractors to request confidential treatment of specific sections in a proposal submitted to an agency.
See template
See template
Form 22 Request For Confidentiality
PDF template
A form for contractors to request confidential treatment of proposal materials, with specific instructions and limitations
See template
See template
PROFESSIONAL GROWTH PRE APPROVAL FORM
PDF template
A form for employees to request pre-approval for professional development courses and activities related to their current position or career growth.
See template
See template
Professional Growth Pre Approval Form
PDF template
A form for employees to request pre-approval for professional development courses or activities aligned with their career growth at SLOCOE.
See template
See template
APPENDIX A PROCEDURES FOR IMPLEMENTATION OF UNIVERSITY POLICY ON FACULTY CONDUCT AND ADMINISTRATIO
PDF template
A formal document used to report alleged violations of the Faculty Code of Conduct by an Academic Senate member.
See template
See template
Budget Transfer Request Form
PDF template
Internal financial document for transferring funds between departmental accounts with equal increases and decreases.
See template
See template
PROPOSAL FORM
PDF template
A formal proposal document for submitting a construction bid to Tuskegee University with details about the bidder and proposed work.
See template
See template
FORM C Non U.S. Resident ADVANCE APPROVAL FORM FOR SERVICES
PDF template
A form for non-U.S. residents seeking participation, compensation, or reimbursement for services at a university.
See template
See template
Student Faculty Organization (SFO) Account Check Requisition Form
PDF template
A form for requesting checks from a Student Faculty Organization account with required signatures and expense details.
See template
See template
REQUEST FOR PROPOSALS Workforce Innovation And Opportunity Act (WIOA) Title I Workforce Developmen
PDF template
A request for proposals for workforce development services under the Workforce Innovation and Opportunity Act (WIOA) for Adult, Dislocated Worker, and Youth Programs.
See template
See template
Budget Form No. 3 (Rev. 2019)
PDF template
Official budget hearing notice for Pulaski County, Indiana, detailing public hearing and budget adoption for the year 2025.
See template
See template
Preliminary Information For LSU Participation In A Significant Joint Project
PDF template
Guidelines for LSU's collaborative project proposal process, outlining requirements for review and endorsement of significant external partnerships.
See template
See template
FORM LB 1 NOTICE OF BUDGET HEARING
PDF template
Financial summary document detailing budget resources, requirements, and tax levies for a local government entity
See template
See template
Tooley Water District Resource Description Form
PDF template
Financial document detailing water district resources, revenues, and budget information for multiple fiscal years.
See template
See template
MENTORSHIP INDUCTION EVALUATION FORM
PDF template
A form for documenting mentorship, induction, and performance evaluation for applicants in the MS Alternate Path to Quality Teachers Program.
See template
See template
Form Of 7 Day Notice
PDF template
A formal notice form for submitting details of proposed building development to a Building Control Authority prior to commencing work.
See template
See template
OPERATING TRANSFER REQUEST FORM
PDF template
A government financial document used to request and document budget transfers between departments and organizational units.
See template
See template
Research Advisor Interview Form
PDF template
A form for students to record interviews with faculty members about research programs in the Chemistry Department.
See template
See template
Richter Budget Form
PDF template
A budget request form for students applying to the Paul K. Richter and Evalyn Elizabeth Cook Richter Memorial Fund for project expenses.
See template
See template
Project Setup Budget Form
PDF template
A detailed form for setting up project budgets, including key personnel, expense pools, and indirect cost calculations for research grants.
See template
See template
UNT Star Performer Award Nomination Form
PDF template
A recognition program for UNT staff and faculty who have made outstanding contributions to university values, involving nomination and potential paid leave award.
See template
See template
PHS 398 Detailed Budget For Initial Budget Period
PDF template
A detailed budget form for requesting funding for a research project, covering personnel costs, expenses, and direct costs.
See template
See template
2024 FPEG Fellowship Application
PDF template
Fellowship opportunity for Florida Engineering Society members employed in government engineering positions who are pursuing advanced degrees.
See template
See template
FRAP Card Program Fiscal Year 1718 Policies Procedures
PDF template
Detailed policies for a university purchasing card exclusively for faculty research allocation program purchases with specific spending and usage guidelines.
See template
See template
Freeman Fellowship
PDF template
Fellowship program for ASCE members supporting engineering research, travel, publication, and professional development in hydraulic science and engineering.
See template
See template
Project Budget Form
PDF template
Financial form for requesting and documenting project budgets and funding sources at University of Calgary.
See template
See template
FACULTYSTAFF I.D. CARD AUTHORIZATION
PDF template
A form for university faculty and staff to obtain or replace their university identification card with door access privileges.
See template
See template
Faculty And Staff Contribution Form
PDF template
A form for faculty and staff to make financial contributions to various university programs and funds.
See template
See template
Department Request Form
PDF template
A form used to request the creation or modification of a new department within an organization, detailing departmental and administrative requirements.
See template
See template
Virginia Tech Employee Software Sales Order Form
PDF template
A form for Virginia Tech employees to purchase software licenses and technology accessories at discounted rates.
See template
See template
FY 2025 Brownfield Remediation Program Application
PDF template
A county-level application for environmental remediation and assessment of brownfield sites in Cuyahoga County.
See template
See template
Hawaii PRAMS Full Proposal Approval Form
PDF template
A form for researchers to request and obtain approval for using Hawaii Department of Health PRAMS data with required documentation and compliance guidelines.
See template
See template
Fundraising Proposal Form
PDF template
A form for potential fundraisers to propose and submit details about an event or program to benefit the Alameda County Community Food Bank.
See template
See template
Fundraising Proposal Form
PDF template
A form for student organizations to propose and document details of a fundraising event on campus.
See template
See template
SUNY COBLESKILL FUNDRAISING REQUEST FORM
PDF template
A form for processing fundraising solicitations and proposals at SUNY Cobleskill through the Office of College Advancement.
See template
See template
FUND TRANSFER REQUEST FORM
PDF template
A form for requesting financial transfers between funds within an organization, requiring appropriate signatures and approvals.
See template
See template
Budget Committee Minutes
PDF template
Minutes documenting budget discussions, project reviews, and ARPA/CRRSA fund allocation for educational institution.
See template
See template
FY13 Annual Report Form
PDF template
Annual report documenting University Information Services (UIS) activities, accomplishments, and strategic alignment for fiscal year 2013.
See template
See template
ExceleRate IL Cohort Budget Form
PDF template
Budget form for participants in the Quality Improvement Funds ExceleRate Illinois Cohort program, used for documenting continuous quality improvement planning and procurement needs.
See template
See template
2020 Fiscal Year End Closeout Procedures
PDF template
Document detailing fiscal year-end procedures for state funds, requisitions, and procurement for university departments.
See template
See template
General Fund Budget Form A Instructions
PDF template
Detailed instructions for completing the General Fund Budget Form A for Louisiana school districts, covering budget reporting for fiscal year 2021-2022.
See template
See template
2021 Fiscal Year End Closeout Procedures
PDF template
Detailed instructions for university departments regarding fiscal year-end financial procedures, state fund collapse, and procurement requirements.
See template
See template
FORM LB 1 Statement Of Indebtedness
PDF template
Budget document detailing financial resources, debt obligations, and levy information for a local government entity.
See template
See template
FY 2024 Budget And FY 2023 Budget Adjustment Instructions Supplement
PDF template
Comprehensive budget instructions for fiscal year 2024 from the Department of Finance & Management, providing guidance for budget preparation and submission.
See template
See template
FY 2025 Budget And FY 2024 Budget Adjustment Instructions Supplement
PDF template
Official guidance for state departments on preparing budget requests and submissions for fiscal years 2024 and 2025
See template
See template
PD SESSION EVALUATION AND ATTENDEE FEEDBACK FORM
PDF template
A comprehensive feedback form for evaluating professional development training sessions and workshops.
See template
See template
Request For Proposals For Real Estate And Real Asset Investment Consultant Services
PDF template
Request for proposals from qualified firms to provide real estate investment consulting services to the Teachers' Retirement System of Illinois.
See template
See template
FORM LB 1
PDF template
A detailed financial document presenting budget allocations and expenditures for multiple fiscal years.
See template
See template
PD SESSION EVALUATION AND ATTENDEE FEEDBACK FORM
PDF template
A comprehensive evaluation form for collecting participant feedback on professional development workshops and training sessions.
See template
See template
School DistrictJoint Agreement Budget Form
PDF template
Annual budget document for Mundelein Elementary School District #75 covering fiscal year 2021-2022
See template
See template
20222023 FacultyStaff Vehicle Registration
PDF template
Instruction for SIU faculty and staff to register vehicles for campus parking, with pricing tiers based on salary levels.
See template
See template
Sabbatical Leave Memorandum Of Agreement
PDF template
Official document outlining the guidelines, application process, and key dates for sabbatical leave for academic year 2022-2023.
See template
See template
REQUEST FOR PROPOSALS FOR SECURITIES LITIGATION MONITORING, EVALUATION, AND REPORTING SERVICES
PDF template
Request for proposals from vendors to provide securities litigation monitoring, evaluation, and reporting services for the Teachers' Retirement System of Illinois.
See template
See template
April June 2024 Central Region Training Calendar
PDF template
A comprehensive training calendar for childcare and education professionals in Virginia's Central Region, featuring various professional development sessions.
See template
See template
FY25 Small Grants Program Instructions And Grant Application Form
PDF template
Comprehensive instructions for submitting a research grant proposal to the McDonnell Center for Systems Neuroscience with specific formatting and content requirements.
See template
See template
GEORGIA STATE BOARD OF ACCOUNTANCY AFFIDAVIT OF CITIZENSHIP
PDF template
An affidavit verifying citizenship or immigration status for professional licensure with the Georgia State Board of Accountancy.
See template
See template
Graduate Assistantship Student Evaluation Form
PDF template
A comprehensive form to assess graduate assistants' performance, professional growth, and contribution to departmental objectives.
See template
See template
GASN Membership Application
PDF template
Application form for nursing students to join the Glendale Association of Student Nurses (GASN) and pay membership dues.
See template
See template
PATIENT MEDICAL HISTORY FORM
PDF template
Comprehensive medical history form for patients at Gateway ENT to collect personal health information, medical history, and family health background.
See template
See template
GrapeCity Documents For PDF ReadMe
PDF template
Technical documentation and release notes for GrapeCity Documents for PDF software library, detailing version updates and features.
See template
See template
Mentorship Agreement Form
PDF template
A form outlining the guidelines, expectations, and logistics for a professional mentorship relationship between a mentor and mentee.
See template
See template
NARM Certification Application
PDF template
Comprehensive certification application form for professional midwifery certification with demographic and personal information collection.
See template
See template
General Budget Form
PDF template
Budget form for Alabama municipalities seeking American Rescue Plan funding, documenting annual total operating budget as of January 27, 2020.
See template
See template
GENERAL GRANT GUIDELINES APPLICATION
PDF template
Guidelines for faculty and staff grant applications to the Palomar College Foundation, outlining eligibility, criteria, and funding process.
See template
See template
General Inquiry Form
PDF template
A form for submitting property-related inquiries and pre-consultation requests to the County of Renfrew Development and Property Department.
See template
See template
Purchase Order Request Form
PDF template
A standard form for submitting purchase order requests within the Giddings Independent School District.
See template
See template
New ProgramInitiative Proposal Form
PDF template
A comprehensive form for proposing new academic programs or initiatives with detailed evaluation criteria and implementation planning.
See template
See template
General Risk Assessment Form For Coaches And Run Leaders
PDF template
A comprehensive risk assessment document for athletic activities covering potential hazards and mitigation strategies for coaches and athletes.
See template
See template
University Restricted Fund (URF) Budget Setup And Adjustment Form
PDF template
A form for allocating and adjusting budget for funds deposited at the university cashier's window, requiring detailed financial information and approvals.
See template
See template
INTERN EVALUATION FORM
PDF template
A comprehensive form for supervisors to assess intern performance, providing feedback on skills, professionalism, and workplace readiness.
See template
See template
INTERN EVALUATION FORM
PDF template
A comprehensive form for supervisors to assess intern performance, providing feedback on skills, professionalism, and workplace readiness.
See template
See template
General Education Course Proposal
PDF template
A form for proposing new courses, revising existing courses, or deleting courses from the General Education curriculum.
See template
See template
DSP Competencies Checklist TEMPLATE
PDF template
A comprehensive checklist to evaluate competencies of Direct Support Professionals (DSPs) working with individuals with developmental disabilities in Virginia's service system.
See template
See template
PSEA Gettysburg Summer Leadership Conference 2024 Region Scholarship Application
PDF template
Scholarship application for PSEA members to attend the summer leadership conference at Gettysburg College in July 2024.
See template
See template
Gig Development Agreement Form
PDF template
A form for documenting and tracking internal workforce development assignments and learning opportunities within Cornell University.
See template
See template
Je SRP1(EPSRC)
PDF template
Research proposal form for the Engineering & Physical Sciences Research Council (EPSRC) with details of a proposed research project.
See template
See template
Transfer Of Costs Approval Form
PDF template
A form used to document and approve the transfer of costs between different awards, projects, tasks, and organizational units.
See template
See template
ResidentFellow Leave Request Form
PDF template
Form for residents and fellows to request medical, parental, or caregiver leave, documenting leave details and receiving institutional approval.
See template
See template
National Board Certification (NBCT) Achievement Course Enrollment Form
PDF template
Enrollment form for teachers seeking National Board Certification through a professional development course at George Mason University.
See template
See template
TSST Course Audit Form
PDF template
A form for community-based teacher panel evaluation of courses facilitated by the Institute of Physics, focusing on course coherence and delivery standards.
See template
See template
Purchase Order Request Form
PDF template
A form used to request procurement of goods or services with details about vendor, items, and shipping instructions.
See template
See template
OPIC Handbook
PDF template
Comprehensive guide for international investment and political risk insurance provided by the Overseas Private Investment Corporation (OPIC)
See template
See template
Guiding Principles For Evaluators Workshop Evaluation Form
PDF template
A survey to assess participant knowledge and experience with Guiding Principles for Evaluators before and after a workshop
See template
See template
GPTI Teaching Evaluation Form
PDF template
A comprehensive evaluation form for assessing teaching performance across multiple dimensions including course outline, exams, materials, and classroom performance.
See template
See template
UNL Graduate Certificate Proposal Form
PDF template
A comprehensive form for proposing and documenting a new graduate certificate program at the University of Nebraska-Lincoln.
See template
See template
Graduate DeanS Award For Excellence In Mentoring Of Graduate Students Nomination Form
PDF template
Form for nominating outstanding graduate student mentors at the university for a recognition award.
See template
See template
Graduate Assistant Evaluation Form
PDF template
A comprehensive evaluation form for assessing graduate assistant performance across multiple professional competencies.
See template
See template
Graduate Curriculum Proposal Approval Form
PDF template
A multi-step approval form for graduate curriculum proposals involving various academic committees and administrative offices.
See template
See template
GRADUATE CURRICULUM PROPOSAL APPROVAL FORM
PDF template
A form for approving graduate curriculum proposals through multiple institutional levels and committees.
See template
See template
Graduate Faculty Coordinator Appeal Feedback Form
PDF template
Form for faculty to provide recommendation and feedback on a student's academic dismissal appeal.
See template
See template
Graduate Faculty Nomination Form
PDF template
A form for nominating faculty members to teach and serve on graduate student committees at Oregon State University.
See template
See template
Grant Application Approval Form (GAAF)
PDF template
Internal form for documenting and approving institutional grant applications, including funding sources, personnel, and equipment details.
See template
See template
Stanley H. Mathis Foundation Grant Application
PDF template
A grant application form for educational courses in real estate, submitted to the Stanley H. Mathis Foundation for review and potential funding.
See template
See template
CARTA Interdisciplinary Seed Grant Opportunity Application Form
PDF template
Application form for research seed grant funding within the College of Communication, Architecture + The Arts at Florida International University.
See template
See template
Wellspring Chaplaincy Initiative Grant Application Form
PDF template
A comprehensive application form for chaplains seeking grant funding through the Wellspring Chaplaincy Initiative, capturing professional and educational background.
See template
See template
BUDGET FORM
PDF template
A comprehensive budget form for detailing personnel, equipment, and direct costs for a grant or funding application.
See template
See template
College Of Arts And Sciences Grant Proposal Cover Sheet
PDF template
A comprehensive cover sheet for submitting research grant proposals with details about funding, teaching replacements, and cost-sharing.
See template
See template
GRCC Grant Project Information Form
PDF template
A comprehensive form for submitting grant project proposals, capturing project details, budget, and strategic priorities.
See template
See template
Grant Proposal Form
PDF template
A comprehensive form for submitting grant proposals within an educational institution, covering project details, budgeting, and approval processes.
See template
See template
PEARL RIVER COMMUNITY COLLEGE GRANT PROPOSAL FORM
PDF template
A comprehensive form for submitting and obtaining institutional approvals for grant proposals at Pearl River Community College.
See template
See template
Grant Proposal Form
PDF template
A comprehensive form for submitting grant proposals, detailing project information, budget, and organizational requirements.
See template
See template
Grant Proposal Form
PDF template
A comprehensive form for non-profit organizations seeking funding from the McHenry Area Rotary Charitable Foundation Inc.
See template
See template
Grant Submission Form
PDF template
Form for submitting grant proposals to the Grants Management Office (GMO) with comprehensive proposal details and submission instructions.
See template
See template
Thesis Process And Deadlines
PDF template
Comprehensive guide for graduate students outlining thesis proposal, committee requirements, and submission process for Master's and PhD programs.
See template
See template
2024 2025 GSA Grant Handbook
PDF template
Comprehensive guide for graduate students applying for academic and professional development grants at the University of Northern Colorado.
See template
See template
GSASGSA Budget Proposal Form For Student Grant Applications
PDF template
A form for students to submit detailed budget proposals for grants from GSAS or GSA, including itemized cost requests.
See template
See template
REQUEST FOR PROPOSALS Oracle Customer Cloud Service (CCS, OUAV, OUTA), Oracle Cloud Infrastructure (
PDF template
Request for competitive proposals for Oracle cloud system managed services and support for Greenville Utilities Commission.
See template
See template
Guidance For Completing And Routing Annual Faculty Performance Evaluations
PDF template
Comprehensive guide for faculty performance evaluations, outlining new form changes and submission process for academic year 2022-2023.
See template
See template
Hearing The Student Voice Guidance For Staff
PDF template
A comprehensive guide for educational staff on capturing and utilizing student perspectives to enhance academic practice through a ten-step approach.
See template
See template
Guideline Cross Teaching For The NESA BN Programs
PDF template
A collaborative guideline outlining procedures for faculty members teaching across two nursing education institutions in Southwestern Alberta.
See template
See template
Budget Form Completion Guidelines
PDF template
Guidelines for academic program directors to prepare budget forms for faculty-led study programs, detailing expense categories and budget preparation requirements.
See template
See template
Illinois Indiana Sea Grant College Program Guidelines For Completing The Budget Form (90 4) And Narr
PDF template
Guidelines for preparing budget forms and narratives for Sea Grant College Program grant proposals with matching fund requirements.
See template
See template
GSU COB Intellectual Contribution Form
PDF template
A form providing guidelines for documenting research plans, publications, and professional development activities for Georgia State University College of Business faculty members.
See template
See template
Guidelines For Faculty Evaluations
PDF template
Comprehensive document outlining procedures, methods, and criteria for evaluating university faculty performance across teaching, scholarship, and service domains.
See template
See template
Guidelines For Recruitment
PDF template
Comprehensive guidelines for recruiting faculty, including conference attendance, candidate interviews, and travel reimbursement procedures.
See template
See template
Documentation Guidelines For Non Tenure Track Promotions
PDF template
Comprehensive guidelines for faculty promotion process at the Associate Professor and Professor ranks for part-time, non-tenure track positions.
See template
See template
Documentation Guidelines For Non Tenure Track Promotions
PDF template
Guidelines for academic promotion process for non-tenure track faculty positions at medical school, including required documentation and review process.
See template
See template
The NWU Literary Agent Agreement
PDF template
A comprehensive guide for authors explaining the relationship with literary agents and understanding agent agreements.
See template
See template
Guide To Completing The LDH Budget Form For The Quality Innovation Projects
PDF template
A comprehensive guide for contractors on how to complete budget forms for Quality Innovation Projects, detailing expense categories and reporting requirements.
See template
See template
SU Event Team Budget Form Guidance
PDF template
A comprehensive guide for student organizations on completing a budget form for events with detailed instructions on income and expenditure tracking.
See template
See template
COVID 19 CVD Registry Powered By Get With The Guidelines Investigator Initiated Research Proposal Fo
PDF template
A form for researchers to submit investigator-initiated research proposals related to the COVID-19 Cardiovascular Disease Registry by the American Heart Association.
See template
See template
Conference And Meeting Leave Procedure
PDF template
Detailed procedure outlining conference and meeting leave policies for various employee types within the college district.
See template
See template
Request For Proposals Habitat Hollow
PDF template
Request for creative and interactive proposals for a new zoo exhibit focusing on habitat exploration and learning experiences.
See template
See template
Harden Foundation Grant Application
PDF template
A comprehensive guide for nonprofits seeking grants from the Harden Foundation, providing application strategies and instructions.
See template
See template
MC Hardware Request
PDF template
A form for requesting computer hardware for Montgomery College employees, with options for remote work and instructional needs.
See template
See template
Samuel P. Harn Museum Of Art Intern Application Packet
PDF template
Comprehensive internship application materials for students and professionals interested in museum careers at the Samuel P. Harn Museum of Art.
See template
See template
Provider Enrollment Form
PDF template
Comprehensive form for healthcare providers to enroll and provide professional details for credentialing and practice information.
See template
See template
Henderson County Parks Recreation Program Proposal Form
PDF template
A comprehensive form for instructors and contractors to propose recreational programs to Henderson County Parks and Recreation department.
See template
See template
Healthcare Workers Satisfaction And Engagement Survey
PDF template
A survey designed to assess job satisfaction, engagement, and work experiences of healthcare workers across various dimensions of their professional life.
See template
See template
Budget Transfer Request Form
PDF template
A form for requesting budget transfers within grants, requiring approval and balance adjustments.
See template
See template
Submission Instructions For Development Requisitions
PDF template
Instructions for developers on submitting payment requisitions during development and construction periods using a Master Budget Template.
See template
See template
HHD Outside Professional Activities Approval Form
PDF template
A form for full-time faculty in the College of Health and Human Development to request prior approval for outside professional activities consistent with Penn State Policy AD77.
See template
See template
Request For Proposal No. HPI20221027
PDF template
Request for proposal seeking services to develop management manual and professional development courses for Heifer Project International's global non-profit development work.
See template
See template
Wildlife Heritage Account Project Proposal Form
PDF template
A form for submitting wildlife conservation project proposals to the Board of Wildlife Commissioners for funding from the Wildlife Heritage Account.
See template
See template
TSST Course Audit Form
PDF template
A course evaluation form for physics teachers, designed to assess course quality and community approval by the Institute of Physics
See template
See template
Parental Consent Form Highlighting Effective Teaching Strategies (HETS) Project
PDF template
A consent form for parents to allow their child's classroom to be videotaped for a research study on effective teaching strategies in Hawaii schools.
See template
See template
Testimony Of The Federal Trade Commission
PDF template
Testimony before the House Appropriations Subcommittee detailing the FTC's budget, mission, and ongoing consumer protection efforts.
See template
See template
Oversight Of The Internal Revenue Service
PDF template
Congressional hearing document discussing IRS funding, enforcement, and recent improvements in taxpayer services
See template
See template
Sisseton Wahpeton Oyate Higher Education Program Financial Budget Form
PDF template
A comprehensive financial budget form for students to document expenses, educational status, and financial eligibility for the Sisseton-Wahpeton Oyate Higher Education Program.
See template
See template
NCIEC Healthcare Interpreting Fellowship Application Form
PDF template
Application form for healthcare interpreters seeking a professional fellowship program in medical interpreting across multiple US locations.
See template
See template
Hiring Process (Faculty)
PDF template
Comprehensive guidelines for conducting equitable and compliant faculty hiring processes at Prairie View A&M University.
See template
See template
RECRUITMENT CHECKLIST FOR AP AND FACULTY POSITIONS
PDF template
A comprehensive checklist detailing the recruitment process for academic and professional positions in an educational institution.
See template
See template
Hannibal LaGrange University Faculty Handbook
PDF template
Comprehensive guide outlining recruitment, employment, and professional expectations for faculty members at Hannibal-LaGrange University.
See template
See template
Community Project Proposal Form
PDF template
A form for community agencies to propose partnership projects with Help Me Grow North Texas to support families and child development in the North Texas region.
See template
See template
HOD COMMITTEE VOLUNTEER FORM
PDF template
A form for volunteering to serve on various committees for the House of Delegates meeting, including reference committees and other organizational groups.
See template
See template
2024 Antitrust Section Hollis Salzman WomenS Leadership Fellowship Application Form
PDF template
Application form for a leadership fellowship program in antitrust law, specifically designed to support women in the legal profession.
See template
See template
SOCIETY OF ST. VINCENT De PAUL HOLY ROSARY CONFERENCE BUDGET FORM
PDF template
A detailed financial assessment form for individuals seeking financial assistance, collecting income, expenses, and personal information.
See template
See template
UNIVERSITY HONORS PROGRAM BUDGET FORM
PDF template
A financial form used by university honors program to request and document budget allocations for a specific fiscal year.
See template
See template
Honors Project Proposal Form
PDF template
A form for Purdue University Fort Wayne students to propose and document their honors project for graduation.
See template
See template
Honors Project Proposal Form
PDF template
A form for students to propose and document their honors project details, including contact information, project proposal, and presentation plans.
See template
See template
K 2nd Grade Student Evaluation Form
PDF template
A comprehensive evaluation form for K-2nd grade students assessing academic, social, and emotional development for Horizons program at New Canaan Country School.
See template
See template
K 2nd Grade Student Evaluation Form
PDF template
Comprehensive evaluation form for assessing K-2nd grade student's academic, social, and emotional development for Horizons program.
See template
See template
Development And Royalty Agreement
PDF template
Agreement between Voltron Therapeutics and Hoth Therapeutics for collaborative development of a COVID-19 vaccine through HaloVax, LLC.
See template
See template
Housing Construction Rolling Gap Grant Application Form
PDF template
An application form for developers seeking housing construction grants from the Cuyahoga Land Bank to support new residential development projects.
See template
See template
Housing Incentives Program Supplemental Information Sheet
PDF template
Document providing guidance and procedures for affordable housing project applications with density bonus in San Bernardino County.
See template
See template
FREDERICK L. HOVDE AWARD OF EXCELLENCE NOMINATION FORM
PDF template
Nomination form for recognizing Purdue University faculty/staff who provide excellent educational service to rural people of Indiana.
See template
See template
Frederick L. Hovde Award Of Excellence 2024 Nomination Guidelines
PDF template
Guidelines for an annual Purdue University award recognizing outstanding educational contributions to rural Indiana by faculty or staff.
See template
See template
Pre Purchase Approval Form
PDF template
A form for requesting and obtaining approval for organizational purchases using a Pcard or other payment methods, requiring multiple levels of review.
See template
See template
Terms Of Reference (ToR) For Short Term Technical Assistance To Support The Optimization Of Implemen
PDF template
Request for technical assistance proposal from Heifer International Nigeria Program to support implementing partner application optimization
See template
See template
Purchase Approval Form
PDF template
Document outlining purchase approval limits and required documentation for agency purchases under different monetary thresholds.
See template
See template
Entity Professional Liability Insurance Application
PDF template
An insurance application form for healthcare entities seeking professional liability coverage for their practice and healthcare professionals.
See template
See template
Sample Employee Resignation Form
PDF template
A standard template for employees to formally submit their resignation from a job position.
See template
See template
Health Research Institute Membership Form
PDF template
Form for faculty members to apply for membership in the Health Research Institute, requiring personal details and departmental approval.
See template
See template
Performance Review Form Hourly Employees
PDF template
A comprehensive performance review form for evaluating hourly employees across competencies and performance expectations.
See template
See template
Online Faculty Instructor New Hire Forms Packet
PDF template
Comprehensive guide for new online faculty instructors detailing required employment documentation and submission instructions.
See template
See template
MASTERSPHDRESEARCH PROPOSAL FORM (HUMAN AND SOCIAL SCIENCES)
PDF template
A comprehensive form for submitting research proposals in the College of Humanities for Masters and PhD programs.
See template
See template
Graduate InternshipProfessional Project Form
PDF template
A form for graduate students in Humanities to document internship, professional project, or teaching experience requirements.
See template
See template
Amendment To Research Proposal Form
PDF template
A form used to submit amendments or changes to previously approved research proposals involving human subjects.
See template
See template
Tennessee State University Human Subjects Committee Research Proposal Form
PDF template
A comprehensive form for submitting research proposals involving human subjects at Tennessee State University, covering key details about research projects and researchers.
See template
See template
Human Subjects Research Proposal
PDF template
A comprehensive template for documenting proposed human subjects research, including research objectives, subject population details, and ethical considerations.
See template
See template
Harbor View Neighborhood Association Project Information Form
PDF template
A mandatory form for developers seeking zoning relief within the Harbor View Neighborhood Association boundaries, outlining the community review process.
See template
See template
Hospice Of Washington County Employment Application
PDF template
Comprehensive job application form for employment at Hospice of Washington County, collecting personal, professional, and skills information from job applicants.
See template
See template
HYA Fee Proposal Form
PDF template
Detailed fee proposal for comprehensive superintendent search consulting services, including search, research, advertising, and due diligence options.
See template
See template
IAF GNF Event Proposal Form
PDF template
A form for proposing and organizing a networking event at the International Astronautical Congress 2024, focusing on space community collaboration and knowledge sharing.
See template
See template
Student Volunteer Service Program Application
PDF template
Application form for students interested in volunteering at the Inter-American Foundation (IAF) across various departments and areas of interest.
See template
See template
IAN Scholarship Form
PDF template
Scholarship program to support professional development for current IAN members with financial limitations, offering up to $150 for workshop registration.
See template
See template
Cook County PEL Grant Application Form
PDF template
A grant application form for school nurses seeking professional certification funding in Cook County, Illinois.
See template
See template
Information Bulletin 503
PDF template
Announcement of new forms for Master Plan Review and Rights Determinations by the City of San Antonio Planning & Development Services.
See template
See template
Proof Of Attendance Form
PDF template
A form for documenting attendance at an educational course for bank directors, used for professional certification purposes.
See template
See template
MPCCDMPCTA Agreement
PDF template
A collective bargaining agreement detailing the evaluation process for faculty members at Monterey Peninsula College between 2019-2022.
See template
See template
Informational Circular No 97 A 001
PDF template
Guidance for preparing budget worksheet reports for fiscal year 1998, including definitions of non-reportable expenditures.
See template
See template
ICC Dementia Project Proposal Form
PDF template
A comprehensive proposal form for submitting research projects utilizing ICC-Dementia study data and resources.
See template
See template
Integrated Clinical Experience Student Evaluation Form
PDF template
Evaluation form for assessing physical therapy students during clinical rotations, rating performance across multiple professional competencies.
See template
See template
TRAINING FEEDBACK FORM
PDF template
A form for participants to provide detailed feedback about a training session's effectiveness, content, and delivery.
See template
See template
Interdepartmental Engineering Major Proposal Form
PDF template
Form for students proposing an interdepartmental engineering major with course and requirement selections.
See template
See template
Skills Inventory Form
PDF template
A worksheet for individuals to document and showcase their professional skills, their context of use, and potential evidence for employers.
See template
See template
Booking Form
PDF template
A registration form for booking professional courses with the Institution of Engineering and Technology (IET)
See template
See template
Public Booking Form
PDF template
Registration form for booking professional development courses offered by the Institution of Engineering and Technology (IET)
See template
See template
Interface Development And Testing Agreement
PDF template
Agreement governing the development and testing of customer interfaces connecting to CME electronic trading systems and interfaces
See template
See template
Purchasing Procedures
PDF template
Comprehensive procedures for submitting and processing purchase orders at the school, including requirements for expenditure documentation and approval.
See template
See template
Employee SystemsAccess Checklist Form
PDF template
A form for tracking and managing system access and resources for new or transitioning employees in an educational or administrative setting.
See template
See template
AP 7120 D Recruitment And Hiring Full Time Faculty
PDF template
Administrative procedure detailing the recruitment and hiring process for full-time faculty at Ventura County Community College District.
See template
See template
Consumer Directed Services Authorization Form
PDF template
A form for authorizing and documenting consumer-directed services, payment rates, and budget responsibilities for support workers.
See template
See template
ILA Specialized Event Proposal Form
PDF template
A comprehensive form for proposing specialized conferences through the International Leadership Association (ILA), outlining event details, purpose, and planning process.
See template
See template
Faculty Job Opening Ad Template
PDF template
Job advertisement for a full-time Team Scientist position at Northwestern University's Department of Medical Social Sciences focusing on dissemination and implementation science in cancer research.
See template
See template
Inclusionary Reduction Request For Pipeline Projects
PDF template
A supplemental form for residential development projects seeking to reduce inclusionary affordable housing requirements in San Francisco.
See template
See template
INCO 590 INCO 790 Budget Instructions
PDF template
Instructions for students to request research expense funds up to $200 for research-related costs through the INCO 590 or INCO 790 program.
See template
See template
INCO 590 INCO 790 Budget Instructions
PDF template
Detailed instructions for students to request up to $200 in research-related expenses for academic research projects.
See template
See template
Independent Directed Study Proposal
PDF template
A form for students to propose an independent research study with a professor's supervision at a doctoral level.
See template
See template
Independent Research Project Proposal
PDF template
A form for students to outline and seek approval for an independent research project from academic supervisors.
See template
See template
Budget Instructions Assumptions
PDF template
Document providing budget preparation guidelines and strategic priorities for the American Library Association's fiscal year 2017.
See template
See template
Informational Interview Site Visit Form
PDF template
A structured form for conducting informational interviews with employers to gather insights about company culture, roles, and industry trends.
See template
See template
In House Research Proposal Form
PDF template
An internal research proposal form for seeking departmental funding for research projects.
See template
See template
Initial Budget Form
PDF template
A form for club sports teams to request initial budget and detail estimated expenses for the academic year.
See template
See template
Initial Early Neutral Evaluation (ENE) Provider Training Program Manual
PDF template
A comprehensive training manual for Early Neutral Evaluation providers in family court settings, covering training requirements and curriculum for social and financial evaluations.
See template
See template
Technical Initiative Proposal Form
PDF template
A proposal form for technical initiatives within the Acoustical Society of America, used to request funding and outline project details.
See template
See template
PremierS Award For Innovation In Teaching Application Form
PDF template
Application for recognizing innovative teaching practices in Newfoundland and Labrador's education system
See template
See template
California Lawyer Association In Person Program Submission Form
PDF template
A form for submitting in-person legal programs and events by the California Lawyer Association, designed for programs 4 hours or less in length.
See template
See template
AAS Evaluation Form For StaffVolunteer In Services
PDF template
A feedback form for evaluating staff and volunteer training sessions in a nutrition program center.
See template
See template
Letter Of Intent (LOI) For INSPIRE 2020 Funding
PDF template
A letter of intent for applicants seeking funding through the INSPIRE 2020 program, to be submitted by October 16, 2020.
See template
See template
Instructional Faculty Performance Review
PDF template
A comprehensive review process for evaluating instructional faculty performance, including teaching effectiveness, professional growth, and service contributions.
See template
See template
Worksite Observations Evaluation Form Instructional Specialist
PDF template
A comprehensive evaluation form for assessing the performance of instructional specialists across multiple professional competency areas.
See template
See template
Missouri Valley College Institutional Review Board (IRB) Instructions For Applicants
PDF template
Guidelines for submitting human subjects research proposals to Missouri Valley College's Institutional Review Board for review and approval.
See template
See template
5 Year Budget Form For Graduate Programs
PDF template
Detailed instructions for completing a 5-year budget spreadsheet for new graduate degree programs at UNT
See template
See template
Instructions For Submitting Curricular Changes For 2024 25 Catalog
PDF template
Comprehensive instructions for faculty and academic departments submitting curriculum modifications for the upcoming academic catalog year.
See template
See template
Instructions For Budget Preparation
PDF template
Guidelines for preparing research project budgets, including definitions of key financial terms and submission requirements for The Water Research Foundation.
See template
See template
5 Year Budget Form For Undergraduate Programs
PDF template
A comprehensive budget form for department chairs and program directors to document financial projections for a new undergraduate degree program.
See template
See template
INSTRUCTIONS FOR SABBATICAL LEAVE REQUEST
PDF template
Comprehensive instructions and checklist for faculty members applying for sabbatical leave at a university.
See template
See template
Budget Form
PDF template
Detailed instructions for completing a multi-tab budget spreadsheet with guidance on filling out summary and activity sheets.
See template
See template
NOMINATION FOR A FHWA EMPLOYEE TO INSTRUCT NATIONAL HIGHWAY INSTITUTE TRAINING
PDF template
A form for nominating Federal Highway Administration employees to become instructors for the National Highway Institute training program.
See template
See template
Carroll County Recreation Parks PROGRAM PROPOSAL FORM
PDF template
A form for submitting program proposals to Carroll County Recreation & Parks, including program details, instructor information, and scheduling.
See template
See template
DELL COMPUTER REQUEST FORM
PDF template
Official form for requesting Dell computer products for university departments, with specific instructions for processing and approval.
See template
See template
Inter Departmental Transfer Request Form
PDF template
A form used by Florida Agricultural and Mechanical University for transferring funds between internal departments with budget approval requirements.
See template
See template
Interdivision Transfer Request
PDF template
A form allowing faculty members to request transfer to another academic division within the institution under specific eligibility criteria.
See template
See template
Interim Evaluation Form
PDF template
A form for documenting an employee's interim performance review, highlighting areas of achievement and improvement.
See template
See template
Interim Evaluation Form
PDF template
A supervisory form for assessing an intern's professional performance, skills, and development during an internship period.
See template
See template
INTERNAL APPROVAL FORM
PDF template
An internal form for submitting research proposals, project details, and compliance information to the Office of Research and Sponsored Programs.
See template
See template
College Of Pharmacy Internal Proposal Approval Form
PDF template
An internal form for proposing and obtaining approval for research projects within a College of Pharmacy, including project and budget details.
See template
See template
Internal Quarterly Progress Report Form
PDF template
A standardized form for tracking and reporting project progress, activities, and financial status for grant-funded initiatives.
See template
See template
ORSPA Internal Routing Form
PDF template
A form used by East Tennessee State University for submitting and routing research project proposals and agreements through the Office of Research and Sponsored Programs.
See template
See template
INTERNAL TRANSFER REQUEST FORM
PDF template
A form used by Florida International University for internal financial transfers between departments or projects.
See template
See template
Internship Application Form
PDF template
A comprehensive form for students to apply for an internship placement, including personal and professional details.
See template
See template
Application Form Frankfurt Fellowship Programme
PDF template
Application form for a professional fellowship program focusing on young adult books in the publishing industry
See template
See template
International Travel Authorization Form (Faculty And Staff)
PDF template
A form for University of Miami faculty and staff to request approval for international travel with restricted destinations.
See template
See template
Internship Evaluation Form
PDF template
A comprehensive form for supervisors to assess intern performance, goals, and professional skills during an internship placement.
See template
See template
Intern Evaluation Form
PDF template
Comprehensive evaluation form for assessing internship performance across professional competencies and job duties.
See template
See template
NDSU Counselor Education Program School Counseling Internship Application Form 3
PDF template
Application form for students seeking internship placement in elementary and secondary school counseling settings through NDSU's Counselor Education Program.
See template
See template
Undergraduate Internship Handbook
PDF template
Handbook for University of Louisville undergraduate students completing internships in sport administration, outlining program requirements and guidelines.
See template
See template
Therapist Intern Job Description
PDF template
Unpaid clinical internship for graduate students in counseling, psychology, or social work, providing services to children, youth, and families.
See template
See template
Therapist Intern Job Description
PDF template
An unpaid clinical internship position for graduate students in counseling, psychology, or social work, providing services to children, youth, and families.
See template
See template
Internship 20232024 Student Form
PDF template
A comprehensive form for students to apply for academic internship credits, detailing personal information, internship details, and student commitments.
See template
See template
KINESIOLOGY INTERNSHIP APPLICATION FORM
PDF template
Application form for students seeking internship opportunities in the Department of Kinesiology at the University of Rhode Island.
See template
See template
INTERNSHIP APPLICATION FORM
PDF template
A comprehensive form for students seeking internship opportunities, collecting personal and academic information along with professional aspirations.
See template
See template
Internship Application And Agreement Form
PDF template
A comprehensive guide for students seeking academic internship opportunities, detailing requirements, credit hours, and application process.
See template
See template
INTERNSHIP APPLICATION FORM
PDF template
Comprehensive application form for internship candidates seeking placement at the African Centre for Democracy and Human Rights Studies.
See template
See template
Turning Point Internship Application Form
PDF template
A comprehensive application form for internship candidates seeking placement at Turning Point organization
See template
See template
Tompkins County Whole Health Internship Application Form
PDF template
A comprehensive application form for internship candidates at Tompkins County Whole Health, collecting educational and personal information.
See template
See template
MBA Student Internship Checklist
PDF template
A comprehensive guide for MBA students detailing the steps required to complete an internship through the Herberger Business School.
See template
See template
INTERN FEEDBACK FORM
PDF template
A comprehensive form for assessing student intern performance across multiple professional competency areas during an internship experience.
See template
See template
STUDENT AND FACULTY GUIDE TO INTERNSHIPS
PDF template
Comprehensive guide outlining requirements and policies for student internships at Wesleyan University.
See template
See template
Internship Guideline Handbook For Interdisciplinary Studies (INDS) Comprehensive Component
PDF template
A comprehensive guide for graduate students participating in internship programs, outlining responsibilities, procedures, and required documentation for internship experiences.
See template
See template
Clarence H. Jackman Accounting Internship Program Packet
PDF template
Comprehensive guide for accounting students seeking internship opportunities at Cal Poly Pomona, providing details about the internship program, benefits, and participation steps.
See template
See template
Internship Proposal Form
PDF template
A form for businesses and organizations to propose and document internship opportunities for students.
See template
See template
Internship Site Assessment Form
PDF template
A form for evaluating internship sites and intern experiences at the State University of New York College of Agriculture and Technology.
See template
See template
INTERNSHIP STUDENT EVALUATION FORM
PDF template
A comprehensive form for students to evaluate their internship experience and provide feedback on professional learning.
See template
See template
Internship Supervisor Evaluation Form
PDF template
A comprehensive form for supervisors to evaluate student intern performance, skills, and overall internship experience.
See template
See template
Hunter College History Department Internship Work Agreement
PDF template
A formal document outlining the terms, objectives, and expectations for a student internship in the History Department at Hunter College.
See template
See template
Foreign Language Certification Process For Becoming A Certified Or Qualified Interpreter For The Sta
PDF template
Comprehensive guide for foreign language interpreters seeking certification to work in the Rhode Island court system, detailing written and oral examination requirements.
See template
See template
AMMCOS Internship Application Form
PDF template
A detailed form for students seeking a research internship to complete their 2nd year Master's degree at AMMCO.
See template
See template
Faculty Interview Form
PDF template
A form for students to interview at least three faculty members about their research and document the discussions.
See template
See template
Credential Admission Interview Form
PDF template
A form used to evaluate teaching credential applicants through an admission interview process in California.
See template
See template
Stockton Introductory Fieldwork Feedback Form
PDF template
A feedback form for evaluating teacher education students during their introductory fieldwork experience in educational settings.
See template
See template
Budget Form No. 3
PDF template
Budget hearing notice for Indianapolis Public Schools for the 2024-25 fiscal year, detailing budget estimates across multiple funds.
See template
See template
WESTERN NEW ENGLAND UNIVERSITY INSTITUTIONAL REVIEW BOARD (IRB) SUBMISSION FORM
PDF template
Institutional form for submitting research proposals involving human participants at Western New England University
See template
See template
Research Proposal Instructions Institutional Review Of Research With Human Subjects
PDF template
Instructions for obtaining institutional review board (IRB) approval for research involving human subjects, including review timelines and required training.
See template
See template
Research Proposal Cover Sheet And IRB Research Proposal Form
PDF template
A standardized form for submitting research proposals for ethical review by an Institutional Research Board, covering project details, participant information, and review process.
See template
See template
International Research Opportunities Program (IROP) Application Checklist
PDF template
Comprehensive checklist for students applying to the International Research Opportunities Program, detailing application preparation steps and requirements.
See template
See template
Implant Restorative Study Club Membership Form
PDF template
A membership form for joining the Implant Restorative Study Club with annual fee and contact information collection.
See template
See template
Continuing Education Unit (CEU) Attendance Form
PDF template
A form for recording continuing education units for professionals in arboriculture, used to track educational session attendance for certification purposes.
See template
See template
Continuing Education Unit (CEU) Attendance Form
PDF template
A form for tracking and reporting continuing education units for certification with the International Society of Arboriculture
See template
See template
Information Technology Project Request Form
PDF template
A comprehensive form for submitting and evaluating technology project proposals within an organization
See template
See template
ISU DAIRY RESEARCH PROPOSAL FORM
PDF template
A comprehensive form for submitting dairy research project proposals, detailing research objectives, animal requirements, and project specifics.
See template
See template
IT Addendum To ContractorS Contract Form
PDF template
An addendum modifying standard contract terms for IT services between a contractor and the Virginia Community College System (VCCS)
See template
See template
Interest Inventory Form For Protgs
PDF template
A form for faculty members to indicate technology training interests and goals for professional development
See template
See template
Mentor Assessment Form
PDF template
A form for proteges to provide feedback on their mentoring experience and mentor's performance.
See template
See template
WELLNESS CENTER LIABILITY WAIVER
PDF template
A comprehensive liability waiver for participation in university wellness center activities and events, acknowledging risks and releasing the university from potential claims.
See template
See template
CDW Customer Service Order Form
PDF template
Agreement between Tulsa County and CDW Government, LLC for Mimecast M2A and LCS-Gold annual subscriptions
See template
See template
I.T Maintenance Request Form
PDF template
A form used to document and track IT equipment maintenance requests within an organization.
See template
See template
Attachment A AFFIDAVIT FORM ITN CERTIFICATION FORM
PDF template
Certification form for responding to an Invitation to Negotiate (ITN) for student housing feasibility study and consulting services.
See template
See template
ITP 3 Technology Governance And Procurement Review
PDF template
Administrative procedure defining the technology governance process and requirements for technology procurement review at Marshall University.
See template
See template
Information Technology Professional Services Agreement
PDF template
A service agreement between Cornell University and a technology consultant for professional IT services and deliverables.
See template
See template
SIUE ITS Network Infrastructure Management Service Requisition Form
PDF template
A form for requesting network and infrastructure services at Southern Illinois University Edwardsville (SIUE)
See template
See template
Information Technology Services Purchase Requisition Form
PDF template
Guidelines for staff to request and purchase IT equipment through the Information Technology Services department's requisition process.
See template
See template
J 1 Student Intern Eligibility And Requirements
PDF template
Comprehensive guidelines for international undergraduate students seeking internship opportunities in the United States under the J-1 visa program.
See template
See template
Alonzo And Elisabeth Jamison Excellence Fund GovernmentNon Profit Internship Application
PDF template
An application for students seeking internships in government or non-profit organizations through the Jamison Internship Program.
See template
See template
Jane Farver Memorial Fund Residency Application
PDF template
Application form for artists seeking a residency at the International Studio & Curatorial Program (ISCP)
See template
See template
GLCA NEH Endowment Japan Travel Grant Application Form
PDF template
Application form for faculty members seeking travel grants to support academic research and activities in Japan.
See template
See template
PSP Committee Members
PDF template
Detailed workflow for committee members participating in a professional procurement selection process at the University of Illinois.
See template
See template
Jasper County 4 H Project Form
PDF template
Comprehensive form for 4-H members to document project activities, learning, and achievements for a specific project year.
See template
See template
Judicial Branch Certification Commission Complaint Form
PDF template
Official form for filing complaints against certified court professionals in Texas, including court reporters, guardians, process servers, and interpreters.
See template
See template
FORM LB 1
PDF template
Budget document outlining financial resources, requirements, and tax levies for the library district for fiscal years 2015-2018.
See template
See template
Je SRP1(EPSRC)
PDF template
Research proposal submission form for the Engineering & Physical Sciences Research Council with details of research project and investigators
See template
See template
Faculty Conference Travel Instructions
PDF template
Comprehensive guidelines for Holy Cross faculty members planning conference travel, detailing required forms, submission procedures, and travel arrangements.
See template
See template
Job Interview Contest
PDF template
Comprehensive guidelines for a job interview skills competition evaluating participants' interview techniques and professional communication abilities.
See template
See template
Job Related Training And Education Employee Request Form
PDF template
Form for employees to request tuition reimbursement and time off for job-related educational programs at UTHealth.
See template
See template
Louisiana Delta Community College Academic Affairs Master Syllabus
PDF template
A course designed to help students develop job search skills, create career portfolios, and prepare for employment opportunities.
See template
See template
Job Search Lesson Plan
PDF template
A lesson plan teaching high school students how to complete job applications effectively and avoid common mistakes.
See template
See template
Amendment Of The Budget For Capital Improvements And The Capital Improvement Program
PDF template
A document detailing budget amendments for undergraduate housing expansion at UC Irvine, including changes to funding and project scope.
See template
See template
Joint Venture Agreement (Development Agreement) Between Southwark Council And Berkeley Homes Plc
PDF template
A joint venture agreement between Southwark Council and Berkeley Homes for developing land at Potters Fields in London SE1, aimed at creating new homes, commercial spaces, and generating capital.
See template
See template
Joint Agreement Budget Form State Of Illinois
PDF template
Budget document for fiscal year 2019-2020 for the South Macoupin Association for Special Education covering Macoupin and Madison Counties in Illinois
See template
See template
Joint Agreement Budget Form State Of Illinois
PDF template
Annual fiscal budget document for the South Macoupin Association for Special Education covering the fiscal year 2021-2022.
See template
See template
J 1 Scholar Transfer Request Form
PDF template
Form for J-1 scholars to request transfer of their SEVIS record to a new program sponsor at a different institution.
See template
See template
Authorization, Agreement, And Certification Of Training
PDF template
A comprehensive document for recording employee training details, course information, and agency-specific training data.
See template
See template
Judson College Food Service Request
PDF template
A form for requesting food service at Judson College, including details about event catering and budget information.
See template
See template
Indiana Junior Division Project Form
PDF template
A comprehensive form for students to submit their science fair project details, including personal information, project proposal, and research methodology.
See template
See template
Kane County School District PurchasePayment Procedures For Small Purchases (CBE)
PDF template
Guidelines for purchasing procedures based on different price thresholds and required approvals for school district procurement
See template
See template
2025 Budget Summary
PDF template
A comprehensive budget document detailing proposed expenditures and tax rates for various county funds in 2025.
See template
See template
Capital Request Form
PDF template
A financial document used to request capital assets or funding for university groups or departments.
See template
See template
Best Practices Of A Performance Review
PDF template
A comprehensive guide detailing the components, instructions, and best practices for conducting employee performance reviews.
See template
See template
Kindergarten Student Evaluation Form
PDF template
A comprehensive evaluation form assessing a kindergarten student's emotional development, self-help skills, and social behaviors.
See template
See template
IRB Research Proposal Form
PDF template
A form for submitting research proposals involving human subjects to an Institutional Review Board for approval and review.
See template
See template
Creating A High Level Budget In Kuali Research
PDF template
Instructions for creating a high-level budget in Kuali Research, focusing on non-personnel budget entry methods for research proposals.
See template
See template
Kuali Research Create Budget Quick Reference Guide
PDF template
A step-by-step guide for creating detailed budgets in Kuali Research proposal system, explaining budget version setup and navigation.
See template
See template
Competition Entry Form
PDF template
Entry form for a national insurance customer service representative award recognizing excellence in professional performance.
See template
See template
Lansing School District Evaluation Process For LAES Employees
PDF template
Comprehensive guide for conducting employee performance evaluations in the Lansing School District, detailing the process and requirements for employee assessments.
See template
See template
Community Reinvestment Area Tax Exemption Program Municipality Submittal Form
PDF template
Form for submitting a tax exemption application for property improvements in a Community Reinvestment Area in Lake County, Ohio.
See template
See template
Landscape Affidavit
PDF template
Official document certifying landscape planting compliance with Chicago Zoning Ordinance requirements for a specific property.
See template
See template
Landscape Deposit Refund Request Form
PDF template
A form for property owners to request refund of landscape deposit after passing landscape inspection in the City of Chicago.
See template
See template
Land Use Application Form
PDF template
A comprehensive form for submitting various land use and development permit requests to a municipal planning department.
See template
See template
Utah County Application For A Large Scale Development
PDF template
Official application process and guidelines for large scale development projects in Utah County, detailing submission requirements and review procedures.
See template
See template
LAUC Research Professional Development (RPD) Mini Grant Application Form
PDF template
A grant application form for librarians seeking professional development funding within the University of California library system.
See template
See template
LAUC Presentation Grant Application Form
PDF template
A grant application form for librarians seeking funding to present at professional conferences.
See template
See template
4 H Welcome Packet
PDF template
Comprehensive introduction to the 4-H youth organization, its mission, structure, and participation opportunities for youth ages 5-18.
See template
See template
STUDENT ORGANIZATION REIMBURSEMENT REQUEST FORM
PDF template
A form for student organization members to request reimbursement for pre-approved purchases related to organizational events.
See template
See template
FORM LB 1
PDF template
A financial document detailing budget requirements, property taxes, and organizational expenses for fiscal years 2019-2022.
See template
See template
FORM LB 1
PDF template
A comprehensive financial summary and budget document showing revenue, expenditures, and full-time equivalent employees across organizational units for fiscal years 2019-2022.
See template
See template
Resource Description Form
PDF template
Financial document detailing resources and budget for Wasco County 4-H & Extension Service District across multiple years
See template
See template
SUBJECT AUTHORITY PROPOSAL FORM FOR NONPCC INSTITUTIONS
PDF template
A form for submitting subject authority proposals for non-PCC institutions to the Library of Congress.
See template
See template
Student Teacher Evaluation Checklist
PDF template
A comprehensive checklist for student teachers to track and complete required assignments and evaluations during their teaching placement.
See template
See template
Budget Form Instructions
PDF template
Comprehensive instructions for completing a budget form for program services, including details on administration, program costs, and budgeting guidelines.
See template
See template
LE 13 Training Reimbursement For License Exempt Family Child Care Providers
PDF template
Reimbursement form for license exempt family child care providers to get up to $300 for professional training and education.
See template
See template
FY 2024 Budget Form CNP Verification And Certification
PDF template
A budget verification form for local education agencies (LEAs) participating in various federal child nutrition programs and documenting program participation and financial details.
See template
See template
Helping Students Develop Learning Contracts
PDF template
A comprehensive guide for creating learning contracts in student internship or field education settings, outlining the purpose, framework, and key components of effective learning contracts.
See template
See template
Simulation Program New Course Proposal Form
PDF template
A form for proposing new simulation-based training programs at Massachusetts General Hospital's Learning Laboratory.
See template
See template
ABIM Learning Session Order Form
PDF template
Order form for ABIM medical education learning sessions and modules for internal medicine and hospital medicine professionals.
See template
See template
Expression Of Interest Non School Based Teaching Service (NSBTS) Positions Information
PDF template
Document detailing application process for temporary teaching service positions within NSW Department of Education's Student Support & Specialist Programs area
See template
See template
Department Chair Evaluation Form Of Temporary Faculty Unit Employees
PDF template
A comprehensive evaluation form for temporary faculty members, mandated by the CSU/CFA Collective Bargaining Agreement.
See template
See template
LEGACY BUDGET FORM TO LAGOV BUDGET FORM CROSSWALK
PDF template
A comprehensive mapping of legacy budget forms to new LaGov budget reporting forms and their corresponding sections and attachments.
See template
See template
LEP Budget Spending Procedures
PDF template
Comprehensive guide for student groups on budgeting, fund spending, procurement, and vendor management procedures.
See template
See template
LESSON PLAN EVALUATION FORM
PDF template
A comprehensive form for evaluating teacher lesson plans and classroom performance across multiple domains and standards.
See template
See template
Release And Indemnity Agreement
PDF template
A legal document that releases Southern Adventist University from liability for risks associated with student, employee, or volunteer activities.
See template
See template
Arkansas Tech University Student Liability Waiver
PDF template
A comprehensive liability waiver for students participating in on or off-campus university activities, outlining participant responsibilities and risks.
See template
See template
Library Faculty Annual Report Of Activities
PDF template
Annual self-evaluation form for library faculty to document professional activities, accomplishments, and goals.
See template
See template
Personal Budget Form
PDF template
A comprehensive form for tracking monthly income, fixed expenses, and flexible expenses to help manage personal finances.
See template
See template
Library Program Proposal Form
PDF template
A form for individuals to propose library programs for consideration by the Kent Free Library.
See template
See template
Resignation Form
PDF template
Official form for veterinarians to resign their license with the College of Veterinarians of Ontario, detailing the resignation process and implications.
See template
See template
Form IV Application For Limited Registration As A Health Practitioner
PDF template
Application form for foreign health professionals seeking temporary registration to practice in Zambia for up to six months.
See template
See template
LIONCASH REFUND REQUEST FORM
PDF template
A form for students, faculty, and staff to request refunds from their LionCash+ account at Penn State University.
See template
See template
Group Literature Order Form
PDF template
Order form for purchasing Narcotics Anonymous literature, books, pamphlets, and recovery materials
See template
See template
Long Island Unitarian Universalist Fund Expense Budget Form
PDF template
A financial form for documenting program expenses and grant allocation for a Unitarian Universalist organization's project budget.
See template
See template
Long Island Unitarian Universalist Fund Income Budget Form
PDF template
A comprehensive budget form for tracking income sources, contributions, and grant funding for a non-profit organization's project or program.
See template
See template
Arizona Airport Development Loan Program Instructions And Application Forms
PDF template
A comprehensive guide for Arizona airports to apply for state development loans to improve airport infrastructure and facilities.
See template
See template
IEEE Signal Processing Society Local Events And Member Driven Initiative Proposal Form
PDF template
A proposal form for IEEE Signal Processing Society members to request up to $5,000 in support for local events and initiatives.
See template
See template
Lodging Waiver Form
PDF template
A form for requesting a waiver for exceptional circumstances involving faculty/staff lodging with students during travel.
See template
See template
FOTO Patient Intake Form Lower Back
PDF template
A form to evaluate patient's ability to perform daily activities affected by a lower back problem.
See template
See template
Faculty InstructionalCourse Development Seed Grant Application Form
PDF template
A form for faculty members to apply for instructional and course development seed grants from the Lieberthal-Rogel Center for Chinese Studies.
See template
See template
Leveraging State Investments In Creative Aging Grant Funding
PDF template
A grant application form for documenting projected income and expenses for creative aging projects with detailed financial categories.
See template
See template
LUDWIG FELLOWSHIP APPLICATION FORM 2 APPLICANT BACKGROUND AND RESEARCH INTEREST
PDF template
Application form for researchers seeking a fellowship, requiring details about graduate research and proposed research program.
See template
See template
Liberty University Online Academy Employment Documentation Packet
PDF template
Instructions and requirements for new faculty members to complete employment documentation for Liberty University Online Academy.
See template
See template
Leave Without Pay Request Form
PDF template
A form for faculty and librarians to request voluntary leave without pay for personal reasons for up to two consecutive academic years.
See template
See template
Lynchburg IRB Quick Reference Guide
PDF template
A comprehensive guide for researchers outlining the Institutional Review Board (IRB) consent process, ethics training requirements, and proposal submission steps.
See template
See template
MA ThesisPortfolioProject Proposal Form
PDF template
A form for graduate students to submit their thesis, portfolio, or project proposal for review and approval.
See template
See template
Major Contribution Form
PDF template
Form for faculty members to document a significant professional contribution for annual evaluation and tenure consideration.
See template
See template
Professional Liability Insurance Form
PDF template
Form for medical doctors to provide professional liability insurance details for employment with Research Foundation for Mental Hygiene, Inc.
See template
See template
Southwest Minnesota State University North Star Mutual School Of Business Internship Application For
PDF template
An application form for university students seeking internship opportunities in the North Star Mutual School of Business, designed to provide practical business experience.
See template
See template
SEIU UHW West Joint Employer Education Fund Wage Replacement ManagerEmployee Agreement Form
PDF template
A program providing wage replacement for SEIU-UHW members pursuing educational training for career advancement with employer support.
See template
See template
SEIU UHW West Joint Employer Education Fund Wage Replacement Program ManagerEmployee Agreement Form
PDF template
A document outlining an educational wage replacement program for SEIU-UHW members, allowing employees to reduce work hours for educational pursuits.
See template
See template
ITP 1 Technology Governance And Procurement Review
PDF template
Defines the technology governance process and outlines requirements for technology procurement review at Marshall University.
See template
See template
MASc Thesis Proposal Form
PDF template
A comprehensive form for graduate students in Civil Engineering to outline their research thesis proposal at York University.
See template
See template
CENTRAL CALIFORNIA TRAINING ACADEMY CONTINUING EDUCATION CREDIT (CEU) REGISTRATION AND ATTENDANCE F
PDF template
Registration form for continuing education credits for licensed clinical social workers in California
See template
See template
Master Electrician License Requirements
PDF template
A detailed guide explaining the requirements, documentation, and fees for obtaining a Master Electrician License in the Town of North Hempstead.
See template
See template
MasterS Degree Proposal Approval
PDF template
Official form documenting approval of a master's degree research proposal by an academic advisory committee.
See template
See template
Budget Form
PDF template
A document for listing and detailing expected expenditures for potential reimbursement.
See template
See template
Proposal For Thesis Or Project Research
PDF template
Academic document for graduate students to propose and outline their thesis or project research at Washington University's Computer Science and Engineering department.
See template
See template
MasterS Thesis Proposal Form
PDF template
A graduate student form for proposing and gaining approval for a master's thesis from advisors.
See template
See template
Bryan College Dual Enrollment Math ACT Waiver Form
PDF template
A form allowing students to enroll in college-level math courses despite not meeting standard ACT math prerequisites
See template
See template
Mayo Clinic Administrative Fellowship Application Form
PDF template
Fellowship application form for graduate students seeking leadership roles in healthcare at Mayo Clinic across various programs and settings.
See template
See template
Graduate Medical Education Disciplinary Action Form
PDF template
Form documenting academic deficiencies, misconduct, and potential disciplinary actions for medical residents.
See template
See template
MATERNAL CHILD HEALTH (MCH) FELLOWSHIP APPLICATION FORM
PDF template
Application form for medical professionals seeking a Maternal Child Health fellowship at the University of Rochester and Highland Hospital.
See template
See template
Mass Communication Internship Application
PDF template
An application form for students seeking internship opportunities in mass communication at the University of Montevallo.
See template
See template
CERTIFICATION OF ATTENDANCE (FORM 2)
PDF template
Official form for attorneys to document and certify their Continuing Legal Education (CLE) attendance for the Virginia State Bar.
See template
See template
Certification Of Attendance (Form 2)
PDF template
Official form for attorneys to document and certify continuing legal education (CLE) course attendance in Virginia.
See template
See template
MEETING REGISTRATION FORM
PDF template
Registration form for pharmacists, pharmacy professionals, and students to attend a professional meeting organized by the American Society of Health-System Pharmacists (ASHP)
See template
See template
Internship Evaluation Form
PDF template
A comprehensive form for evaluating intern performance across multiple professional competency areas during an internship.
See template
See template
Affidavit For Proof Of Appropriate Field Experience
PDF template
State of New Hampshire form for documenting work experience as part of professional licensing requirements.
See template
See template
Mechanical Engineering Thesis Dissertation Proposal Form
PDF template
A comprehensive form for graduate students in mechanical engineering to submit their thesis or dissertation proposal to the Graduate Program Advisor (GPA)
See template
See template
Northern Ireland Young Solicitors Association CPD Event Booking Form
PDF template
Registration form for professional development events organized by the Northern Ireland Young Solicitors' Association.
See template
See template
Medical Release Form
PDF template
Medical release and health information form for adult participants in Eagle Bluff activities, requiring personal and medical details.
See template
See template
UA Affidavit Authorization For Release Of Information
PDF template
Official affidavit and authorization document for releasing information related to physician licensure application for the Maine Board of Osteopathic Licensure.
See template
See template
INTERVIEW FORM MEMBER ASSOCIATE
PDF template
A comprehensive interview form for evaluating potential commercial real estate professional membership in SIOR (Society of Industrial and Office Realtors).
See template
See template
Ohio Valley Entomological Association (OVEA) Annual Membership Form
PDF template
Annual membership registration form for the Ohio Valley Entomological Association for students and regular members.
See template
See template
4 H Youth Development 2019 2020 MEMBER HEALTH INFORMATION FORM
PDF template
A comprehensive health form for 4-H youth members to record medical history, medications, allergies, and emergency information.
See template
See template
Membership Form
PDF template
A membership form for contractors and construction professionals to join the Western Resource Center and access industry updates and directory listings.
See template
See template
NEA Membership Enrollment Form Certificated
PDF template
Enrollment form for teachers to join the National Education Association, California Teachers Association, and local union chapter.
See template
See template
INDIAN MEDICAL ASSOCIATION MEMBERSHIP APPLICATION FORM
PDF template
Membership application form for medical professionals seeking to join the Indian Medical Association as life or direct members.
See template
See template
Appalachian State University Facility Access Membership Form
PDF template
A membership form for faculty and staff to access university recreation facilities, with options for individual and family memberships.
See template
See template
Texas Library Association Membership Form
PDF template
Membership application form for joining or renewing membership with the Texas Library Association for the 2025 calendar year.
See template
See template
Eastern Washington University Masters In Social Work Student Association Membership Form
PDF template
A membership form for students in the Masters of Social Work program at Eastern Washington University to join the student association.
See template
See template
Membership Form
PDF template
Comprehensive membership form for the American Choral Directors Association (ACDA) with individual and organizational membership options and payment details.
See template
See template
ASLME Membership Form
PDF template
Membership registration form for professionals with various membership levels and pricing options for ASLME organization.
See template
See template
First Gen Connect Mentor Event Attendance Form (Fall 2019)
PDF template
A form for mentors to record attendance at three required First Gen Connect events per semester.
See template
See template
Faculty Mentor Feedback Form (Video Recording Of Teaching)
PDF template
A formative feedback document for evaluating instructor performance through video recording review in a university teaching skills program.
See template
See template
Annual Mentoring Evaluation Form
PDF template
A comprehensive evaluation form for mentors to assess their mentoring relationship and mentee performance at NIH.
See template
See template
Mentor Nomination Form
PDF template
A form for nominating individuals to serve as mentors within an organization, with options for self, supervisor, and peer nominations.
See template
See template
MERIT Trainer Check In Rubric
PDF template
A comprehensive evaluation tool for assessing trainer performance and training quality across multiple dimensions of instructional design and facilitation.
See template
See template
Request For Proposal DE SOL 0005388 QA
PDF template
Question and answer document providing clarifications for a government solicitation regarding proposal submission requirements and evaluation criteria.
See template
See template
Maryland Ensemble Theatre Internship Application Form
PDF template
An internship application form for Maryland Ensemble Theatre providing opportunities in non-profit arts management, production, marketing, and theatre education.
See template
See template
Maryland Ensemble Theatre Internship Application Form
PDF template
An application form for internship opportunities at Maryland Ensemble Theatre, offering learning experiences in non-profit arts management and theatre operations.
See template
See template
High School Internship Application Form
PDF template
Paid internship program for 11th and 12th grade NYC students from Title I schools to gain museum career experience and professional skills.
See template
See template
Graduate Student Evaluation Form
PDF template
A comprehensive evaluation form for graduate students in the Department of Food Science, assessing research, professional, and interpersonal skills.
See template
See template
Faculty Self Evaluation Form Fall 2021
PDF template
A comprehensive self-evaluation form for faculty members to document their teaching, advising, and professional activities for the academic year 2020-2021.
See template
See template
Managers Graduate Tuition Pre Approval Form
PDF template
Form for managers to obtain pre-approval for graduate course tuition reimbursement under the company's degree program policy.
See template
See template
Magellan Scholar BUDGET FORM
PDF template
Detailed instructions for completing a student budget form for research or scholarly work, including salary and fringe benefit calculations.
See template
See template
MICR Committee Service Volunteer Form
PDF template
Volunteer form for AACR-MICR members to participate in committee activities related to minorities in cancer research.
See template
See template
Microcredential Pilot Inquiry Form
PDF template
A form for proposing and exploring potential microcredential programs at the educational institution.
See template
See template
COEHD Micro Credential Proposal Form
PDF template
A comprehensive overview of micro-credential types, development process, and implementation within an educational institution's College of Education and Human Development.
See template
See template
Professional Development Protocols And Procedures
PDF template
Document outlining protocols for professional development, book studies, and professional learning communities for educators in the school district.
See template
See template
Mid Project Feedback Form
PDF template
A feedback form for participants in the Career and Technical Education project to evaluate professional development and program implementation.
See template
See template
Mid Term Evaluation Of StudentS Professional Development
PDF template
Assessment tool for measuring student performance and professional development during an internship placement.
See template
See template
Budget Requests For Student Clubs, ASI Groups, Or IRA Groups
PDF template
Guidelines for budget requests and funding requirements for student clubs and organizations at Cal Poly Pomona
See template
See template
CC 4 H Mini Grant Application, Budget Form
PDF template
A budget form for 4-H members to detail project expenses, funding sources, and in-kind contributions for a mini grant application.
See template
See template
Mini Grant Application Guidelines
PDF template
Guidelines for faculty to apply for short-term research funding up to $1,000 for specific research and scholarly project needs.
See template
See template
Mini SabbaticalGrant Writing Fellowship Application Form
PDF template
An application form for Western Illinois University faculty members to apply for a course reduction to support professional projects and grant writing.
See template
See template
Supervisor Approval Form To Attend Mission Support Leadership Program
PDF template
A form for federal supervisors to approve and support employee participation in a leadership development program for mission-critical employees.
See template
See template
Service Request Form For Software Development And System Changes
PDF template
A comprehensive form for requesting software development changes, system modifications, and technical support within an organization.
See template
See template
MIWG Form 173B Budget Form
PDF template
A budget forecasting form for Civil Air Patrol unit financial planning for each fiscal year.
See template
See template
MKSAP Money Back Guarantee Refund Request Form
PDF template
A refund request form for medical professionals who did not pass the ABIM exam after completing MKSAP self-assessment questions.
See template
See template
Self Assessment Form Year End Candidate Self Assessment With AdvisorSponsor Feedback
PDF template
A comprehensive self-evaluation form for candidates in a music leadership certification program, requiring self-assessment, advisor feedback, and sponsor comments.
See template
See template
School Library Internship Application Form
PDF template
Application form for graduate students seeking internship placement in school libraries as part of their professional training.
See template
See template
Monthly Budget Worksheet
PDF template
A comprehensive financial tracking document for monitoring monthly income, expenses, and cash flow.
See template
See template
Ask An MCH Brochure Purchase Form
PDF template
A purchase form for ordering professional brochures from the Massachusetts Nursery and Landscape Association about certified landscape professionals.
See template
See template
Modular Versus Detailed Budgets
PDF template
Guidelines for submitting budgets to NIH using either modular or detailed budget formats based on direct costs and application type.
See template
See template
Money Insurance Proposal Form
PDF template
Insurance proposal form for money protection and insurance coverage by Fidelity Shield Insurance Company in Kenya.
See template
See template
Monthly Club Report Form
PDF template
A form for student clubs to report monthly activities, membership, topics, future plans, and budget status to their organization.
See template
See template
ON THE JOB TRAINING MONTHLY EVALUATION FORM
PDF template
A comprehensive monthly evaluation form for assessing trainee performance across multiple professional competency areas.
See template
See template
Monthly Status Report Form
PDF template
A monthly tracking document for monitoring the progress of a real estate development project, including key milestones and approvals.
See template
See template
JOB APPLICATION FORM ASSOCIATE STAFF
PDF template
Comprehensive job application form for associate staff positions with sections covering personal details, employment history, and professional qualifications.
See template
See template
JOB APPLICATION FORM ASSOCIATE STAFF
PDF template
A comprehensive employment application form for associate staff positions at Moseley Park, part of The Central Learning Partnership Trust.
See template
See template
2023 MPCA Dental Therapy Scholarship Request For Applications (RFA)
PDF template
A scholarship program supporting Michigan students attending dental therapy programs with a commitment to practice in underserved Michigan communities for up to 36 months after graduation.
See template
See template
2024 MPCA Dental Therapy Scholarship Request For Applications (RFA)
PDF template
Scholarship supporting Michigan students attending dental therapy programs with a commitment to practice in community health centers after graduation.
See template
See template
Integrated Public Health Practicum Manual (GPH 747)
PDF template
A comprehensive manual detailing requirements, policies, and procedures for public health graduate students completing their practicum experience.
See template
See template
California State University San Marcos MPP Performance Planning And Review Program Handbook
PDF template
A comprehensive guide for performance planning and review process for Management Personnel Plan (MPP) employees at California State University San Marcos.
See template
See template
Project Proposal Form
PDF template
A form for proposing and documenting project requests at Miami Palmetto Senior High School with details on mission alignment and resource allocation.
See template
See template
MasterS Course Work Self Assessment
PDF template
A comprehensive self-assessment form for master's students to document academic progress, training, professional development, and achievements.
See template
See template
Budget Form No. 3
PDF template
Public notice for the 2024-25 budget hearing and adoption for M.S.D. Warren Township School Corporation in Marion County, Indiana.
See template
See template
American College Of Theriogenologists Self Assessment Form
PDF template
A comprehensive self-assessment form for veterinary professionals to document their clinical experience across different animal species and reproductive techniques.
See template
See template
MSIM Full Time Internship Instructions
PDF template
Detailed step-by-step guide for students pursuing a full-time summer internship in the MSIM program
See template
See template
MSIM Part Time Internship Guidelines
PDF template
Step-by-step guide for students completing a part-time internship in the MSIM program, detailing application and confirmation procedures.
See template
See template
MS Project Form
PDF template
A form for electrical and computer engineering graduate students to submit their project proposal for departmental review and approval.
See template
See template
MasterS ThesisReport Self Assessment
PDF template
A comprehensive self-assessment form for master's students to document academic progress, training, and professional development.
See template
See template
Master Of Social Work (M.S.W.)
PDF template
Comprehensive graduate program in social work focusing on advanced practice areas and professional development in social service sectors.
See template
See template
Request For Proposal Multi Channel Digital Platform For Farmer Field Business School
PDF template
A confidential Request for Proposal by CARE USA for developing a multi-channel digital platform targeting farmer field business schools.
See template
See template
MULTIPLE LISTING REQUEST FORM
PDF template
A form for requesting multiple listing certification of product models with UL (Underwriters Laboratories)
See template
See template
OwnerS Authorization Form
PDF template
A legal form authorizing an individual to act on behalf of property owners for development permit applications in St. Johns County, Florida.
See template
See template
Stewardship Fund Program Budget Form
PDF template
Instructions for completing the budget form for Planning and Action Grant Applications with guidance on project expenses and matching requirements.
See template
See template
Maryland Wildlife Rehabilitators Scholarships
PDF template
Scholarship program by Maryland Wildlife Rehabilitators Association to support members attending wildlife rehabilitation conferences.
See template
See template
Midwifery Clinical Training Student Evaluation Form
PDF template
A detailed evaluation form for assessing midwifery students' professional performance and skills during clinical training.
See template
See template
Monthly Household Budget
PDF template
A comprehensive budget form designed to help potential homeowners assess their current and future financial situation for mortgage eligibility.
See template
See template
NACE Career Readiness Competencies
PDF template
A comprehensive assessment tool for evaluating student competencies in critical workplace skills and development areas.
See template
See template
2024 2025 Membership Enrollment Form
PDF template
Enrollment form for National Association of Elementary School Principals (NAESP) membership with various membership categories and benefits.
See template
See template
Nominations Agreement Form
PDF template
A form for professionals to be considered for board positions within the NAIOP Southern Nevada organization, detailing professional experience and leadership interest.
See template
See template
Request For Proposals NASEO Energy Emergency Response Playbook For States And Territories
PDF template
A solicitation for developing an operational energy emergency response playbook for U.S. Territory Energy offices, remote communities, and State Energy Offices.
See template
See template
Severance Tax Status Report
PDF template
Report detailing severance tax revenue estimates, potential refunds, and proposed transfers to the General Fund for fiscal year 2016-17.
See template
See template
National Board For Professional Teaching Standards Assessor Course Enrollment Form
PDF template
Enrollment form for professional teachers seeking to become National Board assessors through a specialized university course
See template
See template
State Board Of Registration For Foresters Affidavit
PDF template
Official affidavit for registered foresters in North Carolina to attest to their professional qualifications and ethical standards.
See template
See template
Continuing Education Units (CEUs) Attendance Form For 2023 CMV Public Health Policy Conference
PDF template
Form for tracking continuing education unit attendance at the 2023 CMV Public Health & Policy Conference in Salt Lake City, UT.
See template
See template
Continuing Education Units (CEUs) 2024 Early Hearing Detection And Intervention (EHDI) Conference
PDF template
A form for tracking continuing education units for health professionals attending the 2024 EHDI Conference in Denver, Colorado.
See template
See template
Research Proposal Form
PDF template
A structured form for submitting doctoral dissertation research proposals with guidelines for content and structure.
See template
See template
NC Psychology Board Change Of Address Form
PDF template
A form for North Carolina psychology licensees to update their professional contact information and address with the state licensing board.
See template
See template
Survey Of State Government Research And Development
PDF template
A comprehensive survey collecting statistical data on research and development activities across state governments in the United States.
See template
See template
North Dakota Corn Utilization Council Instruction And Guidelines For Grant Proposal Submission
PDF template
Guidelines and instructions for submitting research and education grant proposals to support corn production and industry in North Dakota.
See template
See template
Northern Development Initiative Trust Connecting British Columbia Program Core UBF Intake Post Proje
PDF template
A documentation form for reporting project details and ownership status for Northern Development Initiative Trust's Connecting British Columbia Program.
See template
See template
ACT Parental Consent Form
PDF template
Consent form for Nebraska public school juniors to take the standardized ACT college entrance exam, outlining test features and information collection process.
See template
See template
Managed Service Provider Request For Proposal (RFP MSP2021)
PDF template
Request for Proposal seeking qualified Managed IT Services Providers to provide IT services to Northeast Energy Efficiency Partnerships, Inc.
See template
See template
2024 Nutrition Food Safety Not That Big Of A Leap
PDF template
A continuing education program focusing on nutrition and food safety strategies for professionals in the food systems sector.
See template
See template
Mennonite Village New Scholarship Program Application
PDF template
A scholarship application form for Mennonite Village employees seeking tuition assistance for professional development and educational courses.
See template
See template
Request For Approval For Attendance At Events
PDF template
A form for employees to request approval for attending professional events, including details about the event, costs, and potential conflicts of interest.
See template
See template
Dorchester Center For The Arts New ClassWorkshop Proposal Checklist
PDF template
A comprehensive checklist for instructors proposing new art classes or workshops at the Dorchester Center for the Arts.
See template
See template
Academic Proposal Form For All New Concentrations Within Existing Programs
PDF template
A comprehensive form for proposing new academic concentration within existing university programs, detailing structure, requirements, and implementation details.
See template
See template
Waiver Of Liability, Promise Not To Sue, Assumption Of Risk And Agreement To Pay Claims
PDF template
A comprehensive legal document waiving liability and assuming risks for participation in a university-sponsored activity.
See template
See template
DCE E1 CourseInstructional Materials Checklist Form
PDF template
A comprehensive checklist for faculty to ensure complete course syllabus documentation for the Division of Continuing Education.
See template
See template
New Faculty Onboarding Checklist
PDF template
A comprehensive checklist for new faculty members joining the University of Maryland, Baltimore County, covering administrative, logistical, and resource setup requirements.
See template
See template
New Faculty Orientation Checklist Form 4.5
PDF template
Comprehensive onboarding document for new faculty members in the School of Nursing, covering general, classroom, and clinical orientation tasks.
See template
See template
New Faculty Quick Guide
PDF template
A comprehensive resource for new faculty members at the University of California, Santa Cruz, providing essential information and checklists for starting their academic career.
See template
See template
NEW FACULTY CHECKLIST
PDF template
Comprehensive checklist for processing and documenting new faculty hires at UC Davis Health, including required documentation and background check procedures.
See template
See template
New Hire Checklist For Part Time Faculty
PDF template
Comprehensive checklist for hiring and onboarding part-time faculty members, covering documentation, background checks, and administrative processes.
See template
See template
New Homes In Our Neighborhoods Program Guidelines
PDF template
Program offering funding and guidelines for constructing single-family homes on city-owned infill sites in Oshkosh neighborhoods.
See template
See template
The Heart And Stroke Foundation South Africa Research Proposal Form
PDF template
Guidelines and application form for research funding from the Heart and Stroke Foundation of South Africa, outlining submission requirements and timelines.
See template
See template
IT Project Initiation Proposal Form
PDF template
A comprehensive form for proposing and initiating new IT projects, capturing project vision, goals, resources, and approval requirements.
See template
See template
Academic Proposal Form For A New Minor
PDF template
Official form for proposing and documenting the creation of a new academic minor program at an educational institution.
See template
See template
Practice Quality Improvement (PQI) Project Summary Form
PDF template
A form for diplomates to document and attest to the completion of a Practice Quality Improvement project for Maintenance of Certification requirements.
See template
See template
Curricular Action Workflow New Program Proposal Form Guide
PDF template
A comprehensive guide for submitting and processing new academic program proposals within an educational institution.
See template
See template
New Project Request Instructions
PDF template
Instructions for submitting and evaluating new project proposals within an organizational framework, covering the process from initial request to potential approval.
See template
See template
YCMGA New Project Form
PDF template
A form for proposing and documenting new volunteer projects within the Master Gardener program, detailing project specifics and alignment with organizational mission.
See template
See template
Promotion Process And Guidelines
PDF template
Guidelines for faculty members seeking promotion, detailing the documentation and process required for advancing academic rank at Berklee.
See template
See template
Honors Program Course Proposal Form
PDF template
A form for proposing new Honors courses or Honors sections to be added to existing courses, detailing course components and requirements.
See template
See template
UNI Education Grant Application Form
PDF template
A grant application form for social work professionals seeking funding for professional training and educational opportunities through NBASW.
See template
See template
NFAC Expense Reimbursement Form
PDF template
A form for submitting expense reimbursements and mileage claims for an organization, with space for detailed expense tracking and accounting.
See template
See template
Nurse Faculty Loan Program (NFLP) Administrative Guidelines
PDF template
Guidelines for administering the Nurse Faculty Loan Program, providing details on loan fund management, student eligibility, and loan provisions.
See template
See template
Nurse Faculty Loan Program Student Eligibility And Documentation
PDF template
Document outlining eligibility requirements and documentation process for Nurse Faculty Loan Program at Tanner Health System School of Nursing.
See template
See template
Step 1 Topic Proposal Form
PDF template
A form for students to propose research topics for historical projects, documentaries, exhibits, and performances.
See template
See template
College Of Natural And Health Sciences Hiring Guide
PDF template
Comprehensive guide for search chairs, administrative assistants, and hiring authorities to navigate the faculty and staff hiring process at the College of Natural and Health Sciences.
See template
See template
DETAILED BUDGET FOR INITIAL BUDGET PERIOD
PDF template
Detailed budget form for research grant application tracking personnel costs, expenses, and direct costs for an initial budget period.
See template
See template
NIH Modular Budget Examples
PDF template
A detailed guide for preparing modular budgets for NIH grant applications with example budget calculations and form completion instructions.
See template
See template
Arizona National Interest Waiver Program Transfer Form
PDF template
A transfer form for healthcare professionals participating in Arizona's National Interest Waiver program to change their service site location.
See template
See template
NMAI Andrew W. Mellon Postgraduation Fellowship In Conservation Fellowship Budget Form
PDF template
Budget breakdown for a conservation fellowship application, detailing expenses for conferences, workshops, and research supplies.
See template
See template
NEW MEXICO FIRM PERMIT CANCELLATION FORM
PDF template
Official form for cancelling a firm's professional permit with the New Mexico Public Accountancy Board
See template
See template
NMRWB 2021 Application Form Research Fund
PDF template
Application form for research funding from the Nunavik Marine Region Wildlife Board, requiring detailed project description and methodology.
See template
See template
SRC Approval Form
PDF template
A comprehensive form for students to submit science research project proposals for review and approval by the Scientific Review Committee (SRC)
See template
See template
Notice Of Funding Opportunity Proposal Submission Instructions (PSI)
PDF template
Comprehensive guidelines for submitting proposals to the U.S. Department of State Bureau of Educational and Cultural Affairs funding opportunities.
See template
See template
Nomination For 2024 Lifelong Learning Award
PDF template
Annual award recognizing UW faculty who make significant contributions to teaching nontraditional students and professional development programs.
See template
See template
Faculty Staff Scholarship Nomination Form
PDF template
A form for faculty and staff to nominate students for scholarships through the Chattahoochee Tech Foundation.
See template
See template
Information On Nomination Form
PDF template
A detailed form for nominating a candidate for recognition within the American Statistical Association, requiring nominee details, nominator information, and support letters.
See template
See template
Nomination Process Toolkit
PDF template
A toolkit for nominating Ohio State University faculty to prestigious national academies with guidance on nomination processes and timelines.
See template
See template
Non Budgeted Capital Request Form
PDF template
Internal form for requesting unplanned capital equipment purchases with detailed cost and strategic justification requirements.
See template
See template
NON CLASSIFIED STAFF PERFORMANCE EVALUATION FORM
PDF template
A comprehensive performance evaluation form for non-classified staff members at Auraria Higher Education Center, assessing employee performance across multiple dimensions.
See template
See template
Non Credit Instructional Proposal
PDF template
Instructional proposal document for submitting innovative educational experiences for professional development at Catawba Valley Community College.
See template
See template
South Carolina Applicant Notarization Form
PDF template
Official notarization form for first-time candidates applying to take the CPA Examination in South Carolina.
See template
See template
Tennessee Applicant Notarization Form
PDF template
A notarization form for first-time candidates applying for the CPA Examination in Tennessee, requiring official notary verification.
See template
See template
Request For Proposal (RFP)
PDF template
Solicitation for professional engineering consulting firms to provide architectural design services for Department of Correction facilities in New York City.
See template
See template
NPFVGA Research Proposal Form
PDF template
A standard research proposal form for agricultural research projects seeking funding from the Niagara Peninsula Fruit and Vegetable Growers Association.
See template
See template
Application For NPSS Child Care Assistance (Pilot Program)
PDF template
A pilot program offering up to $400 per family for child care expenses for conference attendees, primarily targeting early-career IEEE NPSS members.
See template
See template
Narrow Ridge Earth Literacy Center Confidential Health Information And Medical Release Form
PDF template
Comprehensive medical history questionnaire for participants in Narrow Ridge Earth Literacy Center activities, including medical release authorization.
See template
See template
NSCAS ACT Parental Consent Form
PDF template
Form providing information and consent for Nebraska public school students in the Third Year Cohort to take the standard college admission ACT test.
See template
See template
NSI 30 Training Assessment Booking Form (A)
PDF template
A booking form for NSI training and assessment, specifically for classroom-based training for competent and authorized persons.
See template
See template
NSI 30 Training Assessment Booking Form (B) (E Learning)
PDF template
Booking form for training and assessment related to substation competency and safety documents with multiple payment and delegate information sections.
See template
See template
Internship Application Form
PDF template
Comprehensive application form for students seeking an internship opportunity at the National Sporting organization.
See template
See template
Continuing Education Documentation Form
PDF template
Form for New Hampshire nurses to document required continuing education hours for license renewal across different nursing levels.
See template
See template
Nurse License Compact (NLC) Status Form
PDF template
Form for nurses to notify Rhode Island Office of Nurse Registration about primary state of residency and nursing license status under the Nurse Licensure Compact.
See template
See template
Time Off Request Form
PDF template
A form for Haverhill Public Schools health services staff to request various types of time off including personal, medical, professional development, and other leave types.
See template
See template
Nursing, MSN Program Assessment Plan
PDF template
A comprehensive document outlining the mission, curriculum, and learning outcomes for a Master of Science in Nursing program.
See template
See template
How To Place A Catering Order
PDF template
Step-by-step guide for submitting catering orders through the Nutrition Services Catering Request Form with budget and approval instructions.
See template
See template
Sierra Nevada Swimming (SNS) North Valley Aquatic League (NVAL) Proposal For Hosting A Meet
PDF template
A proposal form for swimming clubs to host competitive swimming meets with various competition class options and fee structures.
See template
See template
Managed Service Provider Request For Proposal
PDF template
Request for proposals from qualified Managed IT Services Providers to provide IT services to the Naugatuck Valley Council of Governments.
See template
See template
NorthWest Arkansas Community College Planning And Budget Document
PDF template
A strategic planning document for NorthWest Arkansas Community College to align departmental goals with institutional objectives for the upcoming fiscal year.
See template
See template
NWCG Interagency Training Nomination And Agreement To Collect Funds
PDF template
A form for nominating and registering for interagency training courses with potential tuition collection requirements.
See template
See template
New York State Continuing Teacher And Leader Education (CTLE) Professional Development Continuing Ed
PDF template
Instructions for obtaining continuing teacher education credits for professional development events conducted by the IIRP in New York State.
See template
See template
NYS Workshop Proposal Form
PDF template
A form for educators to submit workshop proposals for educational seminars and meetings for the Delta Kappa Gamma Society.
See template
See template
Research Proposal Form
PDF template
A form for medical researchers to submit details about their proposed research project, including objectives, methods, and publication plans.
See template
See template
Observation Program Agreement Form
PDF template
A formal agreement outlining responsibilities and expectations for participants observing healthcare professionals at Mayo Clinic without direct patient contact.
See template
See template
Training Attendance Form
PDF template
Official record of employee attendance for a training course on Concur/OBT system
See template
See template
Occupancy Compliance Form
PDF template
A municipal form for obtaining building occupancy compliance from the Town of Marana's Development Services department.
See template
See template
OCDC Complaint Form
PDF template
A form for filing complaints against attorneys in Missouri by the Office of Chief Disciplinary Counsel (OCDC)
See template
See template
OEDI Membership Form
PDF template
Membership registration form for public safety professionals, military personnel, and associated industry members with options for annual or lifetime memberships.
See template
See template
Miami Dade College Off Campus Activity Student Agreement Form
PDF template
A legal agreement for students participating in off-campus activities, acknowledging risks and releasing the college from liability.
See template
See template
Official Budget Forms Town Of Guadalupe Tentative Budget
PDF template
Comprehensive municipal budget document detailing financial estimates, revenues, and expenditures for the Town of Guadalupe for fiscal year 2024.
See template
See template
BUDGET FORM SAMPLE
PDF template
Detailed budget breakdown for a financial assistance program, showing funds requested, cash match, and other funds across various expense categories.
See template
See template
Ohio Certificate Of Attendance
PDF template
Official certification of attendance for a continuing legal education seminar on bankruptcy law in Atlanta, GA
See template
See template
Credit Enhancement Operations
PDF template
Operations manual outlining Asian Development Bank's policies and principles for credit enhancement products and guarantees.
See template
See template
FACULTYSTAFF VEHICLE REGISTRATION FORM
PDF template
Form for university faculty and staff to register vehicles and obtain parking permits on campus.
See template
See template
Office Of Organizational And Professional Development Service Request Form
PDF template
A form used by University of South Carolina employees to request professional development and organizational services
See template
See template
PMF Success Story Submission Form
PDF template
A form for current and former Presidential Management Fellows to submit their professional success stories and photographs for potential publication.
See template
See template
QuarkNet Opportunities Feb Mar 2022
PDF template
Information about virtual teacher institutes, mini-grants, and stipends for QuarkNet program participation
See template
See template
OPTIONAL PERFORMANCE SELF ASSESSMENT FORM
PDF template
A comprehensive self-assessment document for employees to review their job performance, goals, and professional development at Ohlone Community College.
See template
See template
Oracle Software Configuration Service Request Approval Stepper
PDF template
Instructions for submitting and processing Oracle software configuration service requests within an organization's information technology workflow.
See template
See template
ACTE Organization Membership Form
PDF template
Membership form for governmental units and staff in career and technical education (CTE) programs with professional development and networking benefits.
See template
See template
Student Club Proposal Form
PDF template
A form for students to submit a proposal for creating a new student club at Weston High School with required details and signatures.
See template
See template
Open Society Fellowship Application Form
PDF template
A comprehensive application form for individuals seeking a fellowship with the Open Society Foundations, requiring detailed personal and professional information.
See template
See template
OSUAP Conference Grant Application Form
PDF template
Application form for administrative professionals seeking funding to attend an OSUAP conference with professional development goals.
See template
See template
Outstanding Teaching Award Nomination Form
PDF template
A form used to nominate faculty members for an outstanding teaching award at a university.
See template
See template
OtolaryngologyENT Medical History Form
PDF template
Comprehensive medical history form for children visiting an Ear, Nose, and Throat (ENT) specialist, collecting patient details, medical history, medications, and allergies.
See template
See template
Otolaryngology Head And Neck Surgery Patient Medical History Form
PDF template
Comprehensive medical history form for patients visiting an Ear, Nose, and Throat (ENT) clinic, collecting patient details, medical conditions, and past surgical history.
See template
See template
Domain Name Service Request Form (OTS 39)
PDF template
Form for requesting domain name services from the Louisiana Office of Technology Services, including domain creation, modification, and removal.
See template
See template
Outside Work For Pay Approval Form
PDF template
A form for faculty members to obtain approval for performing outside work during fiscal year and non-duty periods.
See template
See template
Michigan State University Overload Pay Pre Authorization Form
PDF template
A form for faculty members to obtain pre-authorization for additional compensated work beyond their standard duties at Michigan State University.
See template
See template
P 14 Evaluation Form
PDF template
A performance review document for evaluating employee progress and development at Thomas Nelson Community College.
See template
See template
Request For Proposal Concessions Opportunity
PDF template
Request for proposal document for airport concession spaces with specific guidelines for joint venture and ACDBE participation
See template
See template
Power To The Profession Feedback Form
PDF template
A comprehensive survey collecting input from early childhood education professionals about the Power to the Profession initiative and demographic information.
See template
See template
Recertification Attendance Form
PDF template
Form for documenting continuing education credits and course attendance for licensed agricultural applicators in Texas.
See template
See template
Pacific Dining Catering Order
PDF template
A catering order form used by Sacramento City College for event food service procurement and budget tracking
See template
See template
Physician Administrative Fellowship Application Form
PDF template
Application form for physicians seeking an administrative fellowship at Northwell Health's Center for Learning & Innovation
See template
See template
Proposal Authorization Form
PDF template
Comprehensive form for authorizing and documenting research project proposals, including project details, subject research, and budget information.
See template
See template
Performance Management Plan Frequently Asked Questions (FAQs)
PDF template
Comprehensive guide explaining the new electronic performance evaluation tool for employees at University of Alabama in Huntsville.
See template
See template
Internship Application Form
PDF template
Application form for internship opportunities at Paragon Events in various departments including event planning, accounting, marketing, and travel.
See template
See template
Activity Consent Form And Approval By Parent Or Legal Guardian
PDF template
A comprehensive form for parents/guardians to provide consent and medical information for a child's participation in an activity or program.
See template
See template
Paid Parental Leave Request Form Agreement
PDF template
A form for faculty members to request paid parental leave, including details about leave duration and teaching replacement provisions.
See template
See template
ParentFamily And Teacher Survey Form
PDF template
A survey evaluating teachers' perceptions of their professional preparation in working with parents and families
See template
See template
FacultyStaff Parking Permits
PDF template
Guidelines and purchase options for faculty and staff parking permits at Black Hills State University for the 2021/22 academic year.
See template
See template
City Of Taneytown Department Of Parks Recreation Proposed Project Or Service Request Form For Unsol
PDF template
A form for submitting proposed projects or services for consideration by the Taneytown Parks & Recreation Department and Advisory Board.
See template
See template
Proposed Project Or Service Request Form For Unsolicited Proposals
PDF template
A form for submitting proposed projects or service requests to the City of Taneytown Department of Parks & Recreation
See template
See template
Refund Request Form
PDF template
A form for requesting refunds for park, recreation, or neighborhood services activities or programs
See template
See template
NEW PROJECT PROPOSAL FORM
PDF template
A comprehensive form for submitting new project proposals within a park system, requiring review and approval from the Department of Planning and Development.
See template
See template
Participant Agreement Form
PDF template
Agreement form for tribal members participating in a workforce development and employment support program by the Little Traverse Bay Bands of Odawa Indians.
See template
See template
Participant Evaluation Form
PDF template
A comprehensive evaluation form for assessing presentation content and instructor effectiveness at Utah State University Extension program.
See template
See template
Participant Evaluation Form
PDF template
A comprehensive form to assess participant suitability for an activity or trip, including personal background, experience, physical preparedness, and medical considerations.
See template
See template
EQUAL Guide For Development Partnerships
PDF template
A comprehensive guide for creating and managing effective development partnerships, based on experiences from European EQUAL partnerships.
See template
See template
OCU Part Time Proposal Form
PDF template
A form for OCU employees at Cummins to propose and document part-time work arrangements lasting 3 months or longer.
See template
See template
Peralta Community College District Summary Report Form
PDF template
A comprehensive evaluation form for assessing part-time, LTS, and tenured faculty performance across multiple dimensions.
See template
See template
Career Management Passport
PDF template
A program to help students engage in career-related services and gain extra credit through participation in professional development activities.
See template
See template
Provost Award For Travel (PAT) Application Budget And Budget Justification Form
PDF template
A comprehensive form for documenting travel expenses and requesting funding for academic travel through the Provost Award for Travel program.
See template
See template
Partnership Assessment Toolkit
PDF template
A comprehensive toolkit for evaluating and improving equity in health research partnerships between researchers from different global regions.
See template
See template
Maryland Child Care Credential Professional Activity Unit (PAU) Approval Form
PDF template
A form for child care professionals to request approval of professional development activities for credentialing purposes.
See template
See template
Instructional Faculty Attendance Form
PDF template
A form for tracking and reporting faculty absences during a specific pay period.
See template
See template
FacultyStaff Payroll Deduct Cancellation Form
PDF template
A form for faculty and staff to cancel their Campus Recreation payroll deduction and membership.
See template
See template
Recreational Sports Fitness Full Time Faculty Staff Payroll Deduction Form
PDF template
A form for AU full-time faculty and staff to sign up for, change, or drop Recreational Sports and Fitness membership with payroll deduction.
See template
See template
Agency Request For Proposal
PDF template
Request for proposal for a COVID-19 vaccination call center service for the State of New Jersey.
See template
See template
Performance Based Assessment (PBA) Preparation Guide
PDF template
A comprehensive guide for candidates preparing for the Performance-Based Assessment administered by the College of Dietitians of Ontario.
See template
See template
Lead Course Attendance Form
PDF template
A form for tracking attendance and participation in professional development courses across different disciplines and course types.
See template
See template
Future Business Leaders Of America Phi Beta Lambda (FBLA PBL) Membership Application
PDF template
Application form for students to join the Future Business Leaders of America-Phi Beta Lambda organization and participate in business leadership programs.
See template
See template
Professional Development Assistance Program (PDAP) Affidavit For Course Completion
PDF template
A form for employees to document and certify completion of professional development activities for financial benefit eligibility at Montgomery College.
See template
See template
PD EC Attendance Log
PDF template
A tracking document for logging employee attendance at professional development or extracurricular events for the School District of Philadelphia.
See template
See template
PD EC OT Universal Supplemental Pay Log
PDF template
A form for tracking supplemental pay for professional development, extracurricular activities, and overtime for Philadelphia school district employees
See template
See template
Child Life Fellowship Application Form
PDF template
Application form for candidates seeking a fellowship in child life services at UNC Hospitals, requiring professional and academic details.
See template
See template
Faculty Professional Development Grant Procedures And Information
PDF template
Procedures for faculty to apply for and receive professional development grants at Solano Community College for conferences, workshops, and skill development activities.
See template
See template
PDK Association Professional Membership Form
PDF template
Membership form for education professionals to join PDK International and access professional resources and networking opportunities.
See template
See template
Professional Development Program (PDP) Course Proposal Form
PDF template
A form for submitting proposed professional development courses to Madonna University's Professional Development Program for review and potential credit allocation.
See template
See template
Professional Development Reimbursement Form
PDF template
A form for private school teachers to request reimbursement for professional development training expenses and provide feedback on the training.
See template
See template
Professional Development Units (PDU) Application
PDF template
Form for faculty to apply for Professional Development Units (PDU) for various professional activities and experiences.
See template
See template
Seminar Reimbursement Form
PDF template
Form for contractors in Bowling Green, Warren County to request reimbursement for attending a seminar.
See template
See template
Private Employment Counselor Application
PDF template
Application form for individuals seeking a private employment counselor license in the state of Illinois.
See template
See template
Travel Pre Authorization Form
PDF template
Form for requesting pre-approval for business-related travel by faculty, fellows, and staff at University of Washington and Washington State.
See template
See template
Ear, Nose Throat Consultants Tongue Tie Medical History Form
PDF template
Comprehensive medical history form for pediatric patient evaluation focused on tongue tie assessment and related medical conditions.
See template
See template
Peer Observation Of Teaching Feedback Form
PDF template
A structured form for evaluating instructor performance and classroom effectiveness through peer observation and feedback.
See template
See template
EQUIPMENT TRUST FUND INSTRUCTIONS PENDING APPROVAL
PDF template
Detailed guidelines for submitting Equipment Trust Fund (ETF) procurement requests for approval at JMU, including equipment requirements and form completion instructions.
See template
See template
PEN Materials Delivery
PDF template
A comprehensive guide explaining how faculty can deliver classroom materials through various methods at the campus PEN rooms.
See template
See template
Faculty Evaluation Form
PDF template
Detailed guidelines for faculty members to complete their annual self-evaluation process using PeopleAdmin system.
See template
See template
The PEP Curriculum Module A The PEP Orientation Session And Module B The PEP Mentor Development Wo
PDF template
A comprehensive curriculum guide for professional mentorship training covering orientation, mentor development, and partnership skills.
See template
See template
Staff Performance And Development Review Performance Improvement Plan
PDF template
A formal document for tracking and addressing employee performance issues and improvement strategies
See template
See template
Alternative Performance Evaluation Form
PDF template
Comprehensive performance evaluation form for Wright State University staff and non-bargaining unit faculty covering the review period from April 1, 2023 through March 31, 2024.
See template
See template
Performance Evaluation Process
PDF template
Comprehensive guidelines for conducting employee performance evaluations and goal-setting at Pittsburg State University.
See template
See template
University Of North Texas Health Science Center Staff Performance Evaluation
PDF template
A comprehensive performance evaluation form for assessing employee performance, professional growth, and alignment with institutional goals.
See template
See template
Performance PlanEvaluation Form For Administrative Professional Staff
PDF template
A comprehensive document for annual performance planning and evaluation of administrative professional staff, detailing goals, expectations, and performance assessment.
See template
See template
2016 Performance Partnership Form
PDF template
Annual performance review document for documenting staff member job responsibilities, goals, and performance evaluation at Syracuse University.
See template
See template
EMPLOYEE PERFORMANCE REVIEW FORM
PDF template
A comprehensive form for documenting employee achievements, work plans, professional development, and performance expectations.
See template
See template
Performance Review Form
PDF template
A comprehensive document for assessing employee job performance, setting development goals, and documenting performance review discussions.
See template
See template
Postdoctoral Scholars Annual Performance Review Form
PDF template
Annual performance review document for evaluating postdoctoral scholars' work, responsibilities, and achievements at NC State University.
See template
See template
Semi Annual Performance Review Guidelines
PDF template
Comprehensive guidelines for conducting semi-annual employee performance reviews, including preparation steps for both supervisors and employees.
See template
See template
Performance Review Instructions
PDF template
Comprehensive document detailing performance review process and expectations for employees and supervisors at Washington College.
See template
See template
Supervisor Guidelines Annual Performance Review Process
PDF template
Comprehensive guide for supervisors to conduct annual employee performance reviews at Skidmore, outlining planning, execution, and assessment stages.
See template
See template
Permit Cancellation Refund Request Form
PDF template
A form for requesting cancellation or refund of construction permits from the Building Development Division.
See template
See template
Personal Budget Form
PDF template
A comprehensive form for tracking monthly income, fixed expenses, flexible expenses, and financial balance.
See template
See template
Position Requisition Form (PRF)
PDF template
A comprehensive form used by an organization to request and justify a new or replacement employment position with detailed staffing and budgetary information.
See template
See template
Transfer Inquiry Form
PDF template
Form for students in RN to BSN, LVN to BSN, and 2+2 programs to request transfer credit approval from Azusa Pacific University.
See template
See template
Patient Intake Form
PDF template
A comprehensive medical intake form for patients undergoing PET/CT imaging, collecting patient medical history, current health status, and pre-scan details.
See template
See template
Proposal Form Motorcycle
PDF template
Insurance proposal form for motorcycle coverage by Liberty Insurance in Singapore, requiring detailed personal and driving information.
See template
See template
Internship Application Form
PDF template
Application form for individuals seeking an internship in family mediation services at Peel Family Mediation.
See template
See template
Proposal Form Private Car
PDF template
Insurance proposal form for obtaining private car insurance coverage with detailed personal and driving information.
See template
See template
2018 2019 PFx Emeritus Faculty Fellowship Application Form
PDF template
A professional development fellowship for graduate students who have participated in the Preparing Future Faculty and Scholars programs at ASU, offering awards between $300-$1500.
See template
See template
Mass Humanities Project Grant Budget Form Instructions
PDF template
Detailed guidelines for completing a grant budget form for Mass Humanities project funding, including cost-sharing requirements and budget preparation instructions.
See template
See template
AIMST University Research Proposal Form
PDF template
A comprehensive form for submitting research project proposals at AIMST University, capturing researcher and supervisor details, research information, and project overview.
See template
See template
Request For Proposals Housing Unit Expansion Consulting Services
PDF template
Invitation for consulting proposals to assist Provincetown Housing Authority in investigating and planning for expanding housing units at 42-46 Harry Kemp Way.
See template
See template
Pratt Heins Nomination Form
PDF template
Nomination form for faculty awards in teaching, scholarship/research, and service at the University of Nebraska at Kearney
See template
See template
Phase 2 Contract Preparation Checklist
PDF template
A comprehensive checklist for preparing contract documents for construction projects, detailing required documentation and submission process.
See template
See template
DISSERTATION PROPOSAL FORM
PDF template
A form for graduate students to document their dissertation proposal approval by their major advisor and dissertation committee members.
See template
See template
First Year Research Proposal Form
PDF template
A form documenting approval of a first-year graduate student's research proposal by their major advisor and second reader.
See template
See template
NRSA PROPOSAL FORM
PDF template
A form for graduate students to submit their National Research Service Award (NRSA) proposal for advisor approval and certification.
See template
See template
Research Proposal PhD Project
PDF template
A comprehensive form for documenting and proposing a doctoral research project at the University of Groningen.
See template
See template
PhD Thesis Research Proposal Approval Recommendation
PDF template
A formal academic document for evaluating and recommending approval of a PhD thesis research proposal within the Faculty of Social Work.
See template
See template
PHE 404 UNDERGRADUATE INTERNSHIP STUDENT CHECKLIST
PDF template
A comprehensive checklist for undergraduate students completing a public health internship, outlining required steps and documentation.
See template
See template
Physical Science Department Chemical Order Form
PDF template
A form for Physical Science Faculty to request chemical purchases for classes, research, or events.
See template
See template
Improvement In Medical Practice (PIP) Audit Form
PDF template
A form for psychiatry and neurology professionals to document their ongoing professional practice improvement activities and quality improvement efforts.
See template
See template
Continuing Education Requirements Documentation Form
PDF template
A form for professionals to document and track completed continuing education courses and hours.
See template
See template
PLAN Mentor School Request For Bids (RFB) Technical Proposal Form
PDF template
A technical proposal form for schools seeking to become a PLAN Mentor School through a bid process administered by New York State Education Department.
See template
See template
Planned Unit Development Conditional Use Permit Application
PDF template
Application form for new Planned Unit Development projects in Ketchum, Idaho, requiring comprehensive project details and documentation.
See template
See template
Planning And Development Director Job Description
PDF template
Job description for a Planning and Development Director position in Chester County, South Carolina, responsible for leading community development efforts.
See template
See template
North Lebanon Township Application For Submission Of Plans
PDF template
Official application form for submitting plans to North Lebanon Township, outlining required document copies and submission procedures.
See template
See template
Alternative Dispute Resolution Syllabus And Course Guide
PDF template
A syllabus for an online course on Alternative Dispute Resolution methods, detailing course structure, requirements, and learning objectives.
See template
See template
2023 2024 Professional Learning Reimbursement Form
PDF template
A form for occasional teachers to request reimbursement for professional learning expenses up to $250 for the 2023-24 school year.
See template
See template
Commercial Plan Review Application Checklist
PDF template
Comprehensive checklist for submitting commercial construction project plans and documentation for permit review in the City of Corvallis, Oregon.
See template
See template
Presidential Management Fellows (PMF) Success Story Submission Form
PDF template
A form for collecting success stories from current and former Presidential Management Fellows to highlight their achievements and experiences.
See template
See template
FELLOWSHIP APPLICATION FORM FOR CHCs
PDF template
Application form for Psychiatric-Mental Health Nurse Practitioner (PMHNP) Fellowship slots at Community Health Centers (CHCs)
See template
See template
University Housing Policy And Procedures Manual Purchasing Information Technology Equipment
PDF template
Establishes procedures for requesting and purchasing information technology equipment within University Housing units.
See template
See template
560 Expenses
PDF template
Policy detailing expense reimbursement guidelines for district employees, including rules for travel, meals, lodging, and expense advancements.
See template
See template
WCU Faculty Serious Illness And Disability Leave Request Form
PDF template
A request form for faculty members to apply for serious illness or disability leave with provisions for FMLA and tenure considerations.
See template
See template
Entertainment Pre Approval Form
PDF template
A form for pre-approving and documenting entertainment expenses for university events with specific cost and approval guidelines.
See template
See template
Tier 1 Large Scale Renewables Program Request For Proposals RESRFP23 1
PDF template
Policy document outlining eligibility, termination conditions, and proposal submission requirements for renewable energy contract proposals.
See template
See template
PONI Conference Series Application And Research Agenda
PDF template
An application guide for professionals to submit presentation proposals for the PONI Conference Series focusing on nuclear enterprise topics.
See template
See template
UTKUTIA Faculty Search Pool Approval
PDF template
A form used to request approval for initial screening interviews and review applicant pool demographics for a faculty search process.
See template
See template
Cash In Lieu Of Construction Agreement And Tracking Sheet
PDF template
A document for developers to make cash payments in lieu of constructing specific infrastructure improvements for a county project.
See template
See template
Porter Senate Discretionary Budget Proposal
PDF template
A form for student organizations to request discretionary funding from Porter Senate for programs or events at UC Santa Cruz.
See template
See template
POS Device Inspection Checklist
PDF template
A comprehensive checklist for regularly inspecting point of sale devices to detect potential tampering or unauthorized modifications.
See template
See template
Faculty Job Opening Ad Template For Tenure Track Positions On The Investigator Track
PDF template
Job advertisement for a tenure-track Assistant or Associate Professor position in Cognitive and Clinical Neuroscience Research at Northwestern University's Feinberg School of Medicine.
See template
See template
Health Psychology Ph.D. Program Practicum Site Student Evaluation Form
PDF template
A comprehensive evaluation form for assessing clinical psychology practicum students' performance at their placement site.
See template
See template
Practicum Student Evaluation Form
PDF template
A comprehensive evaluation form for assessing practicum students in a clinical psychology program, covering work requirements and professional conduct.
See template
See template
Program Review And Development Service Request Form
PDF template
A form for child life programs to request professional consultation and review services from the Association of Child Life Professionals.
See template
See template
EMPLOYEE STUDENT PRE APPROVAL FOR TRAVEL FORM
PDF template
A form for Hennepin Technical College employees and students to get pre-approval and document travel expenses for professional development or college-related travel.
See template
See template
PREAUTHORIZATION FORM FOR TRAVEL
PDF template
A form for faculty, staff, and students to obtain preapproval for travel expenses at the university during a period of budget cuts.
See template
See template
PreK 3rd Grade Student Evaluation Form
PDF template
A comprehensive evaluation form for assessing young students' social, emotional, and cognitive development during admissions process.
See template
See template
PRE SCHOOLKINDERGARTEN STUDENT EVALUATION FORM
PDF template
A confidential form for evaluating a student's developmental readiness for kindergarten admission at Laurence School.
See template
See template
Presenter Proposal Form
PDF template
A form for educators to submit presentation proposals, including contact details, presentation specifics, and availability.
See template
See template
Presidential Research And Creative Achievement Award Nomination Form
PDF template
Annual award recognizing outstanding research, scholarship, and creative achievements by University of Maine faculty and staff members.
See template
See template
Nomination Form PresidentS Awards For Excellence
PDF template
Official form for nominating faculty or staff for the President's Awards for Excellence at McNeese University.
See template
See template
Pre Six Unit 18 Faculty Assessment
PDF template
Assessment form for pre-six Unit 18 faculty members evaluating teaching ability, competence, and performance prior to reappointment.
See template
See template
PRESS FELLOWSHIP APPLICATION FORM
PDF template
A comprehensive application form for individuals seeking a press fellowship, requiring personal, academic, and professional details.
See template
See template
Prevocational Training Term Assessment Form
PDF template
A comprehensive form for evaluating prevocational doctors' performance during medical training terms, supporting learning and registration assessments.
See template
See template
Program Review Schedule 2019 2024
PDF template
Comprehensive schedule outlining annual budget forms and self-study requirements for academic programs across multiple divisions.
See template
See template
PRICECOST PROPOSAL FORM
PDF template
Detailed financial proposal form for submitting cost and pricing information to the National Renewable Energy Laboratory (NREL)
See template
See template
Declaration Of Primary State Of Residence For Purposes Of The Nurse Licensure Compact
PDF template
Official form for nurses to declare their primary state of residence for licensure purposes under the Nurse Licensure Compact.
See template
See template
Cost Sharing Budget Form
PDF template
A form for documenting cost sharing budget items and sources for research project proposals and awards.
See template
See template
Principal InvestigatorS Handbook
PDF template
A comprehensive guide for university researchers on submitting research proposals and obtaining necessary institutional approvals.
See template
See template
SAMPLE PRIOR APPROVAL FORM
PDF template
A form for requesting extensions, budget revisions, and changes to grant-funded project activities for National Endowment for the Humanities (NEH) grants.
See template
See template
BWF PRISM Budget Form
PDF template
Budget request form for scientific and mathematical innovation funding from the Burroughs Wellcome Fund's PRISM Award Program.
See template
See template
PRO BONO PROFESSIONAL DEVELOPMENT PROJECT FORM
PDF template
A form for students to document and record their pro bono professional development work and hours completed.
See template
See template
Campus Procurement Annual Accessibility Report Academic Year 1213
PDF template
Annual report detailing the development of Section 508 compliance processes and procedures for procurement activities.
See template
See template
Producer Appointment Request Form
PDF template
A form used by insurance professionals to request appointment as a producer, requiring personal and professional background information.
See template
See template
Production Proposal Form
PDF template
A form for submitting theatrical production proposals to a department, detailing script, cast, and production considerations.
See template
See template
Professional Development Approval Form
PDF template
A form for medical students to request approval for professional development activities outside standard curriculum.
See template
See template
Professional Development Request Form
PDF template
A form for employees to request approval and reimbursement for professional development workshops, conferences, and related travel expenses.
See template
See template
Professional Development Request Claim Invoice
PDF template
Form for employees to claim reimbursement for professional development expenses including travel, registration, lodging, and meals.
See template
See template
Professional Development Faculty Staff Funding Request
PDF template
Form for faculty and staff to request funding for professional development events and activities within the School of Education, Social Sciences, & the Arts.
See template
See template
ACSA Region XIV Professional Development Scholarship (PDS) Application Form
PDF template
Application form for ACSA Region XIV members seeking scholarship funding for professional development academies or summer residential institutes.
See template
See template
Professional Evaluation Form
PDF template
A comprehensive form for evaluating instructor performance across multiple teaching dimensions and classroom effectiveness criteria.
See template
See template
Professional Interview Report Form
PDF template
A structured form for students to document insights from a professional interview about a specific career path and occupation.
See template
See template
Professional Leave 2025 2026
PDF template
Comprehensive application form for faculty members seeking a professional leave of absence, detailing project proposal and professional development plans.
See template
See template
ILE Paper Submission Form Instructions
PDF template
Detailed instructions for students, advisors, and student services coordinators for submitting a professional paper and related materials.
See template
See template
Professional Services Agreement
PDF template
A legal agreement between Bucks County Water and Sewer Authority and a developer for reviewing planning and sewer service submissions.
See template
See template
Licensee Profile Change Form
PDF template
A form for updating professional license information including personal details, name, address, and employer information.
See template
See template
Professional Persons Feedback Form
PDF template
A form for submitting complaints or comments about healthcare professionals, organizations, or policies with detailed feedback collection.
See template
See template
Program Checklist
PDF template
A comprehensive checklist for reviewing and approving academic program proposals across different categories and types.
See template
See template
Program Proposal Form
PDF template
A form for submitting program proposals to a park district, detailing program specifics and requirements.
See template
See template
Program Proposal Form
PDF template
A fillable PDF form for submitting program proposals to Mount Pleasant Community Center in Vancouver.
See template
See template
Program Proposal Form
PDF template
A form for proposing and submitting continuing legal education (CLE) programs to the Massachusetts Bar Association with details about program format, speakers, and content.
See template
See template
Program Proposal Form
PDF template
A form for submitting program proposals to the Avon Recreation and Parks Department for potential class or activity offerings.
See template
See template
Program Proposal Form
PDF template
A form for submitting a new program proposal to a recreation or parks department, detailing program specifics and intended participants.
See template
See template
Prohibited Campaign Contributions And Development Proposals
PDF template
Compilation of sections related to campaign contributions, real estate development proposals, and various municipal procurement requests
See template
See template
Project Authorization Form
PDF template
A form for requesting and documenting project funding, scope, and approvals across different budget levels.
See template
See template
Project Budget Form
PDF template
Official form for submitting initial application budgets and budget revisions for arts project funding.
See template
See template
Project Budget Reference Sheet
PDF template
A guide for calculating the hourly value of volunteer medical services for project budgeting purposes.
See template
See template
Projected Budget Form
PDF template
Budget projection form for AYSO section, capturing estimated revenues and expenditures for a 12-month fiscal period.
See template
See template
Community Social Psychology Project Forms
PDF template
A set of three graduate psychology project forms for advisor request, proposal approval, and project completion
See template
See template
Site Requested Project Proposal Form
PDF template
A form for proposing and documenting proposed changes or projects for school district facilities and grounds.
See template
See template
Project REAL Proposal Form
PDF template
A student form for documenting work experience goals, activities, and sponsor details for a two-week professional project.
See template
See template
Project Submission Form
PDF template
A form for submitting project details to the Fort Bend County Drainage District for review and approval.
See template
See template
Promotion Request Form
PDF template
A form for assistant and associate professors to request consideration for academic promotion during the 2018-19 academic year.
See template
See template
Lecture Observation Feedback Form
PDF template
A comprehensive evaluation form for assessing teaching performance and lecture effectiveness across multiple dimensions of instructor interaction and delivery.
See template
See template
PROMPT Small Group Facilitation Observation Feedback Form
PDF template
A comprehensive feedback form for evaluating small group facilitation skills and teaching effectiveness.
See template
See template
Proof Of Insurance Form
PDF template
Form for verifying medical and emergency insurance coverage for students, faculty, and staff traveling internationally.
See template
See template
MLS PROJECT PROPOSAL APPROVAL FORM
PDF template
A form used to document and approve a project proposal for review by a committee and the MLS Director.
See template
See template
FORM RDS 1 PROPOSAL APPROVAL FORM
PDF template
Internal university form for processing and approving research project proposals at State University of New York at Binghamton.
See template
See template
WE LIP Proposal Assessment Form
PDF template
A comprehensive assessment form for project proposals within the WE LIP initiative, focusing on service delivery for newcomers.
See template
See template
Dogwood Crossing Exhibition Proposal Form
PDF template
A comprehensive form for artists or artist groups to submit exhibition proposals to Dogwood Crossing Art Gallery.
See template
See template
City Of Tampa Proposal Form
PDF template
A proposal form for submitting a mixed-use development project in the East Tampa Community Redevelopment Area, detailing legal and financial capabilities.
See template
See template
Proposal Form
PDF template
A construction proposal form for a project with the Tulalip Tribes Housing Department, including bid details and contract terms.
See template
See template
HESI Proposal Solicitation 2024
PDF template
A solicitation for scientific proposals addressing emerging health and environmental challenges through multi-sector collaboration.
See template
See template
Digital Project Proposal Form
PDF template
A form for proposing and documenting digital archival or preservation projects for library materials.
See template
See template
HONR 495 SENIOR HONORS THESIS PROPOSAL FORM
PDF template
A formal document for students to submit their senior honors thesis proposal at Liberty University, detailing thesis committee and project requirements.
See template
See template
Honors Capstone Proposal
PDF template
A formal agreement between a student and mentor outlining the requirements and process for completing an honors capstone project for graduation.
See template
See template
FUSF Proposal Form General Awards Track
PDF template
A comprehensive proposal form for researchers seeking funding from the Focused Ultrasound Surgery Foundation's General Awards Track.
See template
See template
M.S. Geoscience Research Proposal Form
PDF template
A form for graduate students to outline their proposed master's research project in geoscience, including project details, methods, and expected outcomes.
See template
See template
Inclusive Excellence Proposal Form
PDF template
A form for requesting funding for diversity and inclusion initiatives within an organization.
See template
See template
RFP No. DPW 2017 01 Proposal Form
PDF template
Request for proposal document for waste collection, transportation, and recycling services in the Town of Exeter, New Hampshire.
See template
See template
Research Proposal Form
PDF template
A comprehensive research proposal template for scientific studies at Maroof International Hospital Research Department.
See template
See template
PROPOSAL FORM QUICK QUOTE FORM
PDF template
Insurance proposal form for taxi businesses covering 1-4 vehicles, detailing duty of disclosure and personal information handling.
See template
See template
BP S Bid Proposal Form Short
PDF template
A standardized form for submitting construction or services bids to the Department of Administration in Montana.
See template
See template
Inclusive Excellence Proposal Form
PDF template
A form for requesting funding for diversity and inclusion projects across professional development, recruiting, student organizations, and community initiatives.
See template
See template
Proposal Form 00300
PDF template
A standardized form for submitting construction project proposals to Mississippi State University's Office of Procurement and Contracts.
See template
See template
Abstract Submission Information
PDF template
A form for submitting a presentation proposal with details about presenters and presentation content for ABPsi (Association of Black Psychologists)
See template
See template
Institutional Review Board Proposal Submission Form
PDF template
Form for researchers at Anna Maria College to submit proposals involving human subjects research for institutional review.
See template
See template
New Proposal Submission Information Form
PDF template
A comprehensive form for submitting research proposals, particularly for hematology and oncology studies involving human or animal subjects.
See template
See template
Nomination Proposal Form
PDF template
A form for proposing and recommending a candidate for a leadership position within The Obesity Society (TOS)
See template
See template
Pro Rata Share Assessment Form
PDF template
Form for calculating a site's pro rata assessment for development and impervious surface areas using Virginia Runoff Reduction Method (VRRM)
See template
See template
PROSPECTIVE STUDENT EVALUATION FORM
PDF template
A comprehensive evaluation form for assessing prospective PreK and Kindergarten students' development across multiple domains.
See template
See template
Application For Approval Of Continuing Education Credits Provider
PDF template
Form for court interpreters to request approval of continuing education credits from the Wisconsin Court Interpreter Program.
See template
See template
Provider Request For Education Course Approval
PDF template
A form for education providers to request approval of a continuing education course from the Property Tax Administrator.
See template
See template
Application For Provisional Membership
PDF template
Application form for obtaining provisional membership with the Ontario Professional Foresters Association
See template
See template
Nevada System Of Higher Education Academic Program Proposal Form
PDF template
A form used to propose new academic degree programs, majors, or certificates within the Nevada System of Higher Education.
See template
See template
Phi Rho Pi National Tournament And Convention Committee Resolution Proposal Form
PDF template
A standardized form for proposing rule changes, new rules, or constitutional amendments for Phi Rho Pi organization
See template
See template
CAP Regulation 173 1
PDF template
Regulation detailing financial procedures, budget requirements, and forms for the Puerto Rico Wing of Civil Air Patrol.
See template
See template
ProvostS Seed Grant Budget Form
PDF template
A budget form for requesting funds from the Provost's Seed Grant with detailed cost categories and budget justification requirements.
See template
See template
PSIA AASI ChildrenS Specialist 1 Assessment Form
PDF template
Assessment form for evaluating ski instructors specializing in teaching children, covering professional behavior, safety, communication, and teaching skills.
See template
See template
PSIA Certified Level I Alpine ASSESSMENT FORM
PDF template
A comprehensive evaluation form for assessing ski instructors' professional skills, teaching abilities, and performance at the Level I certification level.
See template
See template
PSIA RM RMT Telemark Skiing Performance Assessment Form
PDF template
Assessment form for evaluating professional skiing skills, performance, and behavior management in Telemark skiing instruction.
See template
See template
DECLARATION OF HOME STATE OF RESIDENCE FOR ALABAMA MULTISTATE LICENSE APPLICANTS
PDF template
A form for nursing license applicants to declare their primary state of residence in Alabama and submit proof of residency.
See template
See template
INDIVIDUAL REQUEST FOR TRAVEL FORM
PDF template
Form for employees to request travel reimbursement and advance for business-related travel expenses.
See template
See template
PSU AAUP Membership Form
PDF template
Membership form for joining the Plymouth State University Chapter of the American Association of University Professors, including dues authorization and voluntary participation options.
See template
See template
PSY 382, Section 732 Psychology General Internship Course Fall 2024 Syllabus
PDF template
A syllabus for an online psychology internship course that provides students with opportunities to explore career interests and gain professional experience.
See template
See template
Part TimeTemporary Lecturer Pool Availability And Course Selection Survey
PDF template
Survey for part-time and temporary lecturers to indicate course availability and teaching preferences at California State University, Sacramento.
See template
See template
Check Request Form
PDF template
Internal form for requesting and documenting financial check issuance within an organization.
See template
See template
PTC Membership Form
PDF template
Comprehensive membership application form for organizations, individuals, and students to join the Pacific Telecommunications Council.
See template
See template
Postgraduate Training Program Enrollment Form
PDF template
Official form for enrolling and documenting postgraduate medical training for osteopathic medical residents in California.
See template
See template
Concrete Technician Certification Program
PDF template
Comprehensive guide for field technicians detailing initial certification, recertification, and application procedures for concrete technician certification.
See template
See template
NEW FACULTYSTAFF VEHICLE REGISTRATION FORM
PDF template
A form for new faculty and staff to register vehicles for campus parking permits at Ferris State University.
See template
See template
Purchase Order Request Form
PDF template
A form used to request and track purchases for Morrison Elementary School with space for vendor details, items, and approvals.
See template
See template
Request To Purchase Form
PDF template
A procurement form for Westlake High School to request and document the purchase of goods or services
See template
See template
FSHN Purchase Order Request Form
PDF template
A form for requesting purchases over $5,000 at the University, detailing vendor and purchase information for procurement processing.
See template
See template
OHLONE COMMUNITY COLLEGE DISTRICT PURCHASE REQUISITION FORM
PDF template
A form used by Ohlone Community College District for requesting and documenting procurement of goods or services.
See template
See template
A Brief Primer On Purchasing
PDF template
An internal document explaining the purchase order and requisition process for college employees using the BlazerNet system.
See template
See template
PVAMU Visiting FacultyScholar Request Form (PV VFS)
PDF template
A form for host faculty members to request authorization for hosting a visiting faculty member or scholar at Prairie View A&M University.
See template
See template
PVT ProgramEventFundraising Activity Proposal Form
PDF template
A form for submitting proposed volunteer programs, events, or fundraising activities to Park Authority management for approval.
See template
See template
Request For Tenders Website Development For The PacWastePlus Programme
PDF template
A request for qualified consultants to develop an innovative and interactive website for the PacWastePlus programme by SPREP.
See template
See template
Request For Proposal Digital Media Buying Agency
PDF template
Request for proposals for digital media buying agency services by Harper College with submission deadline and pre-submission meeting details.
See template
See template
Form Of Proposal
PDF template
Invitation for bids on mop buckets and waste barrels for Des Moines Independent Community School District
See template
See template
Experiential Learning Supervisor Student Evaluation Form
PDF template
A comprehensive form for supervisors to evaluate student performance during an experiential learning experience.
See template
See template
NEXT SCIENCE Investigator Sponsored Research Proposal Form
PDF template
A comprehensive form for submitting research proposals for clinical studies involving Next Science products
See template
See template
VPRA Response To QuestionsRequests For Clarification
PDF template
Document providing official responses to questions and clarifications for a request for proposal (RFP) for preliminary engineering and surveying project in Virginia
See template
See template
Performance Management Quick Guide
PDF template
A comprehensive three-step guide for performance management for staff and administrators at California State University, Northridge.
See template
See template
CHEJS Small Grants Program 2024 Round 2 (Part 3 Budget Form)
PDF template
A comprehensive budget form for organizations applying for CHEJ's small grants program, detailing project expenses and revenue sources.
See template
See template
PURCHASE AGREEMENT ONLINE CLASSES AND WORKSHOPS
PDF template
Legal agreement outlining terms and conditions for purchasing online training courses from Caring Safely Inc.
See template
See template
Certificate In Dance Teaching Application Form
PDF template
Application form for part-time, distance-learning dance teaching certificate program starting in January 2025 through the Royal Academy of Dance.
See template
See template
Patient Intake Questionnaire Speech (Pediatric)
PDF template
Comprehensive medical and developmental questionnaire for children with potential speech and language concerns.
See template
See template
Request For Proposals Ragged Hill Road Land Disposal
PDF template
Solicitation of sealed proposals for purchasing two parcels of land located on Ragged Hill Road in Hubbardston, Massachusetts.
See template
See template
RAMP GRANTS HOW TO CREATE A PROPOSAL BUDGET
PDF template
A step-by-step instructional document for creating proposal budgets in the RAMP Grants system, covering budget setup, personnel costs, and effort allocation.
See template
See template
RAMP GRANTS EXPORT A FEDERAL FLOW THROUGH BUDGET TO AN SF424 RESEARCH AND RELATED (RR) BUDGET FORM
PDF template
Instructions for exporting a federal flow-through budget to Grants.gov SF424 R&R budget form using RAMP Grants system
See template
See template
RBC Proposal Form
PDF template
A proposal form for submitting changes to risk-based capital methodology and documentation for insurance regulators.
See template
See template
RBC Proposal Form
PDF template
Proposal form for submitting changes to Risk-Based Capital (RBC) regulations and instructions across different insurance sectors.
See template
See template
Licensed Complaint Form For Current Or Suspended Licensees
PDF template
A formal document for filing complaints against licensed professionals, providing detailed instructions for submission and documentation requirements.
See template
See template
Rawls College Of Business Incident Report Template Guidelines
PDF template
A confidential template for documenting security incidents within the Rawls College of Business, with guidelines for reporting and tracking potential security events.
See template
See template
Form 6 Coefficient Price Proposal Form
PDF template
A detailed pricing proposal form for job order contracting with specific guidelines for unit price book (UPB) interpretation and pricing coefficients.
See template
See template
Form 6 Coefficient Price Proposal Form
PDF template
A pricing form for job order contracting that establishes guidelines for unit price book (UPB) line item pricing and coefficients for the City of San Antonio.
See template
See template
Renewal Application For Residential Child And Youth Care Practitioners
PDF template
Instructions for completing the renewal application for residential child and youth care professionals in Maryland, including personal information and certification requirements.
See template
See template
Research Development SalesUse Tax Exemption Form
PDF template
Form for businesses to request sales tax exemption for research and development equipment purchases.
See template
See template
Real Estate Appraiser Late Renewal Application
PDF template
Application for renewing a non-renewed real estate appraiser credential after the standard renewal period in Illinois.
See template
See template
Reactivation Of Inactive APRN License
PDF template
Instructions for reactivating an inactive Advanced Practice Registered Nurse (APRN) license in South Dakota.
See template
See template
Reactivation Of Inactive APRN License
PDF template
Instructions for reactivating an inactive Advanced Practice Registered Nurse (APRN) license in South Dakota for CNM, CNP, CRNA, or CNS practitioners.
See template
See template
Reading And Research Proposal
PDF template
A research project course for Bachelor of Liberal Arts degree candidates with strong academic records, designed to pursue an original research topic under faculty supervision.
See template
See template
City Of Madera Regional Early Action Plan (REAP) 2.0 Program Suballocation Public Survey Form
PDF template
Survey to gather community input on housing development, infrastructure, and urban planning priorities for the City of Madera.
See template
See template
Appendix A Verification Of Continuing Education Attendance Form
PDF template
A form used to document attendance and hours for continuing education activities when a certificate is not issued.
See template
See template
INVOICE FORM SMA SERVICE REBATE FOR QUALIFIED ELECTRICAL PROFESSIONALS
PDF template
Invoice form for electrical professionals to claim service rebate payments from SMA Solar Technology AG for inverter services.
See template
See template
Recommended County Sponsored Legislative Proposal Form
PDF template
A form for proposing and documenting state legislative proposals sponsored by a county government.
See template
See template
Record Of Approval For The Doctoral Thesis Research Proposal
PDF template
A form used to document and obtain approval for a doctoral thesis research proposal by a student's thesis committee.
See template
See template
Checklist For Employment Of Full Time Faculty
PDF template
A comprehensive checklist detailing the steps for recruiting full-time faculty members, including recruitment and screening processes.
See template
See template
Recruitment Incentive Waiver Template
PDF template
Guidelines for federal agencies on offering recruitment incentives to employees in hard-to-fill positions, including waiver requirements and payment limits.
See template
See template
TEACHING APPLICATION FORM
PDF template
A comprehensive application form for teaching positions, collecting personal, educational, and professional details of job applicants.
See template
See template
KL2 Progress Report Form
PDF template
A confidential progress report form for tracking scholarly research, training, and development activities over a six-month period.
See template
See template
Lorenz Clinic Professional Referral Form
PDF template
A referral form for healthcare professionals to submit client information and request services from Lorenz Clinic.
See template
See template
Referral Form CT Endoscopy
PDF template
A comprehensive referral form for veterinary diagnostic procedures including CT scan, endoscopy, and internal medicine consultation.
See template
See template
HSD Property Control Contractor Form C 063 IT
PDF template
Form for tracking and managing transfer, donation, destruction, or recycling of IT equipment valued under $5,000
See template
See template
SHRM Certification Refund Request Form
PDF template
A form for SHRM certification candidates to request a refund for their exam appointment under specific circumstances.
See template
See template
Refund Request Form
PDF template
Official form for requesting refunds for parks and recreation activities with specific guidelines and submission instructions.
See template
See template
RefundTransfer Request Form
PDF template
A form for requesting refunds or transfers for park district activities with specific refund policy guidelines.
See template
See template
REGARDS Manuscript Proposal Form
PDF template
A form for proposing and documenting a manuscript based on REGARDS research study data and guidelines.
See template
See template
REGISTRATION FORM EDUCATION EVENTS
PDF template
Registration form for healthcare executives to enroll in professional education events hosted by the Foundation of the American College of Healthcare Executives.
See template
See template
ASHRAE REGION 2 EXPENSE REPORT FORM
PDF template
Official form for submitting and documenting regional expense reimbursements for ASHRAE Region 2 members
See template
See template
Course Selections
PDF template
Registration form for healthcare professionals to select and register for continuing education courses across various medical disciplines.
See template
See template
REGISTRATION FORM
PDF template
Registration form for dental professionals to enroll in continuing education courses at Marquette University School of Dentistry.
See template
See template
Course Registration Form
PDF template
Registration form for dental professionals seeking continuing education courses at University of Detroit Mercy School of Dentistry.
See template
See template
Reservation For RotariansWork
PDF template
Information about two business tour options for Rotarians in Cincinnati, featuring Lightborne Communications and Osborne Coinage Co.
See template
See template
Career And Professional Development Courses Registration Form
PDF template
Registration form for career development and training courses at Miami Dade College's North Campus.
See template
See template
Wisconsin Breastfeeding Friendly Child Care Provider Training
PDF template
Registration form for child care professionals to attend an online training about breastfeeding support in child care settings.
See template
See template
Office Of The Registrar Policies And Procedures
PDF template
University document providing registration policies, procedures, and guidelines for faculty and staff course registration
See template
See template
FacultyStaff Grant Reimbursed Time Form
PDF template
A form for faculty and staff to request reimbursement of salary and benefits for time spent on externally funded sponsored projects.
See template
See template
RELEASE TIME REIMBURSEMENT FORM
PDF template
Form for teachers to request reimbursement for release time costs to attend Democracy Bootcamp.
See template
See template
ReMIS Instructor Feedback Form
PDF template
A comprehensive form for evaluating instructor performance across multiple teaching and professional competency dimensions.
See template
See template
Rental Declaration Form
PDF template
City of Vancouver form for declaring existing rental housing status during property development or demolition permit applications.
See template
See template
Request For Certificate Of General Liability Insurance
PDF template
A form for Boy Scouts of America units to request a general liability insurance certificate for authorized activities.
See template
See template
Request For Expense Approval Form
PDF template
A form for student organizations to request funding for various expenses from the Student Government Association (SGA)
See template
See template
REQUEST FOR FUNDS Requisition Form
PDF template
Internal form for requesting financial disbursement within an organizational structure, with specific approval guidelines based on amount.
See template
See template
REQUEST FOR LEAVE And CONFERENCE ATTENDANCE FORM
PDF template
A form for employees of Oklahoma City Public Schools to request various types of professional and personal leave with authorization requirements.
See template
See template
Goldman Sachs Global Banking Markets Derivative Clearing Services Request For Proposal Form
PDF template
Request for proposal form for investment advisors seeking to utilize Goldman Sachs' derivative clearing services and provide details about their organization.
See template
See template
Request For Proposals Grant Application Required Attachments
PDF template
A comprehensive grant application package for developing a school-based health center, outlining required documentation and proposal guidelines.
See template
See template
REQUEST FOR APPROVAL OF TRAVEL
PDF template
A form for SUHSD employees to request pre-approval and document expenses for district-related travel.
See template
See template
Required Additional Documents For Funding Applications
PDF template
Guidelines for required supporting documents for various types of funding applications including travel, professional development, and research.
See template
See template
A.S. Requisition Form
PDF template
A financial requisition form used by University of California Santa Barbara's Associated Students for purchasing, reimbursements, and budget transfers.
See template
See template
Purchase Order Request Form
PDF template
A form used by school district staff to request purchases from vendors with detailed order information and budget tracking.
See template
See template
POSITION REQUISITION FORM FOR FACULTY AND STAFF
PDF template
A form used by Franklin Pierce University to request and document new or replacement faculty and staff positions.
See template
See template
Requisition Rationale Form
PDF template
A form and process for justifying and approving district purchases with detailed explanation requirements for administrators.
See template
See template
Indiana Real Estate Commission CE Sponsor RE Sales
PDF template
Detailed record of continuing education credits for real estate professionals in Indiana, listing various courses and training sessions.
See template
See template
Research Assistant Professor Appointment And Promotion Documents
PDF template
Comprehensive checklist of required documents for initial appointment and promotion of Research Assistant Professors in an academic institution.
See template
See template
Research Economic Development Service Agreement
PDF template
Service agreement detailing budget allocations and service descriptions for research units at the University of North Dakota from FY2020 through FY2024.
See template
See template
Compliance Form For Full Time Faculty For Reporting Of Research Or Consulting With Outside Public Or
PDF template
A form for full-time faculty to report and obtain approval for consulting or research activities outside the university.
See template
See template
Research And Development (RD) Equipment Sales Use Tax Exemption Form
PDF template
A form for documenting tax exemption eligibility for research and development equipment in South Carolina.
See template
See template
Research Related Budget
PDF template
A comprehensive budget form for tracking personnel costs and budget details for a research project or grant application.
See template
See template
Researcher Evaluation Form
PDF template
A survey to assess the value and effectiveness of family leader reviewers in the grant proposal process.
See template
See template
Poster Presentation Feedback Form
PDF template
A comprehensive form for providing detailed feedback on academic poster presentations, covering design, presentation, delivery, and overall performance.
See template
See template
Researchers Performance Review Form
PDF template
Annual performance review document for various research positions, outlining a collaborative evaluation process for researchers and their supervisors.
See template
See template
Research Grant Budget Form
PDF template
A comprehensive form for students to request research funding, detailing project costs and budget allocation.
See template
See template
OUTSIDE ACTIVITY REQUEST FORM
PDF template
A form for university employees to request permission to engage in outside professional or scholarly activities while maintaining compliance with university policies.
See template
See template
University Research Committee Research Projects Application Packet
PDF template
Official document outlining the purpose, membership, duties, and operational procedures for the University Research Committee responsible for internal research funding.
See template
See template
Research Project Proposal Form
PDF template
A form for submitting and documenting details of a proposed research project in a scientific setting.
See template
See template
Research Project Proposal Form
PDF template
Academic form for Bachelor of Science in Social Sciences students to propose and register their research project for 06 credit hours across two semesters.
See template
See template
Thesis Or Dissertation Proposal Approval Form
PDF template
A form for graduate students to submit and receive approval for their thesis or dissertation research proposal from their steering committee.
See template
See template
UNIVERSITY COMMITTEE ON RESEARCH REQUEST FOR FUNDS 2024 2025
PDF template
A comprehensive research funding request form for university faculty seeking financial support for academic research projects.
See template
See template
RESEARCH PROPOSAL FORM
PDF template
A form for researchers to propose and submit research ideas for a Sarphati Cohort sub-cohort study, detailing project specifics and research objectives.
See template
See template
The MyDiv Experiment Research Proposal Form
PDF template
A research proposal form for submitting project details to the MyDiv Experiment research initiative.
See template
See template
Research Proposal Form
PDF template
A comprehensive form for submitting research proposals involving human subjects for institutional review and approval.
See template
See template
Research Proposal Form
PDF template
A research proposal form for submitting research projects to Wingham Wildlife Park in Kent, UK.
See template
See template
Research Proposal Form
PDF template
A formal document for submitting and obtaining approval for a doctoral research project proposal.
See template
See template
Research Request And Proposal Form
PDF template
A comprehensive form for researchers seeking to conduct a research project at the Belle W. Baruch Foundation's Hobcaw Barony site.
See template
See template
TBTAK 2216B TUBITAK TWAS Postgraduate And Postdoctoral Fellowship Programmes Research Proposal For
PDF template
A comprehensive research proposal form for postgraduate and postdoctoral fellowship applications through TUBITAK-TWAS program.
See template
See template
Mansfield Independent School District Research Review Instructions
PDF template
Guidelines for submitting research proposals to Mansfield Independent School District, including required documentation and procedures.
See template
See template
Mansfield Independent School District Research Proposal Form
PDF template
A formal document for submitting research proposals to the Mansfield Independent School District's Assessment, Accountability, & Analysis Office.
See template
See template
Residency Application Form
PDF template
A comprehensive form for artists seeking a residency opportunity, requiring detailed personal and professional information.
See template
See template
Studio Monitor Art Residency Program
PDF template
A one-year artistic residency opportunity for recent art graduates to develop their work while providing administrative support at the Santa Reparata International School of Art.
See template
See template
Residency In Small Animal Emergency And Critical Care
PDF template
A three-year post-DVM training program in veterinary emergency and critical care medicine designed to prepare residents for board certification.
See template
See template
Residential Development Permit
PDF template
A permit application for residential development and construction projects within the City of Pendleton, Oregon.
See template
See template
BWF Form 175
PDF template
A budget form for documenting direct costs for a research grant or funding application.
See template
See template
Downstate Resiliency Award Nomination Form
PDF template
A nomination form for recognizing outstanding contributions by SUNY Downstate employees across multiple award categories.
See template
See template
School Activity Request Form
PDF template
A form for requesting and documenting school-based activities involving sales, third-party agreements, or financial transactions.
See template
See template
Research Proposal Form
PDF template
A form for graduate students in Computer and Information Science to submit their research proposal within the first 12 hours of graduate study.
See template
See template
Alaska Board Of Fisheries Restructuring Proposal Form
PDF template
A comprehensive form for proposing changes to fishery regulations, management, and structure in Alaska.
See template
See template
Faculty Retention Documentation And Procedure Guidelines
PDF template
Guidelines for documenting and processing faculty retention efforts, including required documents and procedures for retention approvals.
See template
See template
Faculty And Staff Retirement Checklist
PDF template
A comprehensive guide for faculty and staff retirement preparation at Seminole State College, outlining key steps for retiring employees.
See template
See template
Faculty And Staff Retirement Checklist
PDF template
Comprehensive retirement checklist for Seminole State College faculty and staff, providing step-by-step instructions for retirement planning and documentation.
See template
See template
Retraining Leave 2025 2026
PDF template
A comprehensive form for academic professionals seeking professional development leave, requiring detailed project and funding information.
See template
See template
Tennessee Arts Commission Revised Budget Form
PDF template
A financial document for arts grant recipients to detail project expenses, income, and match funding for a Tennessee Arts Commission grant.
See template
See template
REVISED Attachment 14 Price Proposal Form
PDF template
Detailed pricing form for artwork, layout, design, and printing services for the 'Ohana Report publication
See template
See template
Revised Settlement Agreement And General Complete Release
PDF template
Settlement agreement resolving a class action lawsuit related to Family Medical Leave Act (FMLA) claims for nine-month faculty members at New Mexico State University.
See template
See template
Financial Disclosure FormBudget Form
PDF template
A form for candidates to report campaign funds, contributions, and expenditures for student government elections.
See template
See template
RFA Membership Form
PDF template
Membership form for University of North Carolina-Chapel Hill retired faculty to join or renew their association membership.
See template
See template
Request For Proposal NO. 1 HCC Information Technology Assessment And Related Services
PDF template
Request for Proposal for Information Technology Assessment services for Houston Community College with clarification questions and answers
See template
See template
Request For Proposal 17 02 WTP Supervisory Control And Data Acquisition (SCADA) Software
PDF template
Request for proposals from qualified SCADA software vendors for a water treatment plant software modernization project.
See template
See template
RFP 17 21 OWNERS ADVISOR FOR WTP SCADA SYSTEM UPGRADE PROJECT
PDF template
Request for proposal seeking a consultant to act as Owner's Advisor for a SCADA system upgrade project for the City of Ann Arbor's Water Treatment Plant.
See template
See template
Addendum No. 1 To RFP Documents For State Advocacy Services
PDF template
Official addendum modifying request for proposals document with updated terms, conditions, and clarifications for service provider selection.
See template
See template
San Gabriel Valley Mosquito And Vector Control District Request For Proposal District Legal Counsel
PDF template
Request for proposals from qualified attorneys or law firms to provide legal services for a special district responsible for mosquito and vector control in the San Gabriel Valley.
See template
See template
RFP 2129 Executive Recruitment Consulting Services
PDF template
Request for Proposal cover sheet for executive recruitment consulting services with vendor certification requirements.
See template
See template
REQUEST FOR PROPOSAL Installation Contractor Partner Refrigeration (RFP 22 203)
PDF template
Request for proposals from contractors to partner with Redwood Coast Energy Authority for refrigeration installation services.
See template
See template
REQUEST FOR PROPOSAL (RFP) BID SOLICITATION DOCUMENT
PDF template
Request for proposal for athletic apparel and equipment agreement for Northwest Arkansas Community College's athletic programs.
See template
See template
Addendum No. 1 Request For Proposal On Call Environmental Remediation And Disposal Services
PDF template
Official addendum modifying key dates and forms for a environmental remediation services procurement proposal.
See template
See template
RFPA Membership Form
PDF template
Membership registration form for retired faculty and professionals at UNC-Chapel Hill, offering various membership types and levels.
See template
See template
Vendor Proposal Form For Transit Bus
PDF template
A detailed proposal form for purchasing a specific transit bus with comprehensive technical specifications and pricing requirements.
See template
See template
Request For Proposal (RFP)
PDF template
Request for proposal for enhanced agricultural inputs and fertilizer distribution service provision in Ethiopia by Palladium International, LLC.
See template
See template
Owens State Community College Enterprise Resource Planning System Request For Proposals
PDF template
A comprehensive request for proposals for an Enterprise Resource Planning (ERP) system at Owens State Community College, seeking potential technology solutions.
See template
See template
Lease Proposal Form
PDF template
A comprehensive form for submitting a lease proposal for office space, including company details, credit references, and commercial property experience.
See template
See template
Attachment B Proposal Documents
PDF template
Comprehensive collection of required forms and documents for submitting a proposal to the Transportation Agency for Monterey County.
See template
See template
Managed Service Provider Request For Proposal
PDF template
Request for Proposal for selecting a Managed IT Services Provider for a school district serving approximately 520 students.
See template
See template
Request For Proposals Management Contract For Oversight Of Aviation And Related Activities At Cape C
PDF template
Request for proposals seeking qualified individuals or management companies to manage aviation activities at Cape Cod Airfield in Marston's Mills, Massachusetts.
See template
See template
RFP Questions Digital Interactive Employee Training Service (IETS)
PDF template
A document containing questions and answers related to a digital interactive employee training service request for proposal, focusing on video-based training modules.
See template
See template
Request For Proposals Senate Bill 743 Technical Assistance For VMT Threshold Development
PDF template
Request for consulting proposals to provide technical assistance for developing vehicle miles traveled (VMT) thresholds for the Transportation Agency for Monterey County.
See template
See template
REQUEST FOR PROPOSALS STREET SIGN INSTALLATION
PDF template
Request for proposals for street sign installation services in Granville County, North Carolina, seeking a qualified vendor for a three-year contract.
See template
See template
Request For Qualifications Permitting On Call Services And Development CodeStandard Amendments
PDF template
Request for qualified firms to provide on-call planning and engineering expertise for development review and code updates on a task order basis.
See template
See template
Retired Faculty Of The University Of Florida Membership Form
PDF template
Annual membership form for retired faculty at the University of Florida, collecting personal and payment information for membership dues.
See template
See template
Training Proof Of Attendance Form
PDF template
A document used to record attendance and details for training programs for Rhode Island Service Coordinators.
See template
See template
BusinessCOVID 19 Loan Application Form
PDF template
A comprehensive loan application form for businesses seeking funding from the East Central Regional Development Commission during the COVID-19 period.
See template
See template
Instructions For Applying For RN Licensure By Endorsement
PDF template
Official instructions for registered nurses seeking licensure in Louisiana through professional endorsement process.
See template
See template
RN Refresher Q A
PDF template
A comprehensive nursing course designed to help RNs reactivate their license after being inactive for three or more years, combining online study, skills lab, and clinical experience.
See template
See template
Louisiana RN Reinstatement Application Instructions
PDF template
Detailed instructions for registered nurses seeking to reinstate their Louisiana nursing license, including eligibility requirements and application process.
See template
See template
ROMEO Research Proposal Form
PDF template
A comprehensive form for submitting research proposals to ROMEO Ophthalmology, detailing project specifics, contributors, and data management plans.
See template
See template
UMKC School Of Medicine Monthly Budget Notes
PDF template
A personal financial tracking document for budgeting income, expenses, bills, and financial goals.
See template
See template
Brodie Science Room Booking Form
PDF template
A form for faculty members to request and book science rooms at the Faculty of Science
See template
See template
EXHIBIT B MANAGEMENT PROPOSAL FORM
PDF template
A comprehensive form for bidders to detail project management, team qualifications, and experience for a potential contract.
See template
See template
BUDGET FORM FOR RSCA PROPOSALS Spring 2015
PDF template
A budget request form for faculty to seek funding for research-related expenses and potential release time.
See template
See template
Research Proposal Form
PDF template
Formal document for submitting a research project proposal for graduate studies, including details about the research type and committee approval.
See template
See template
Kosciusko County 4 H Proposed Rule Change Submission Form
PDF template
A form for submitting proposed changes to existing 4-H rules in Kosciusko County, allowing members to suggest modifications, deletions, or new rules.
See template
See template
Statement Of Qualifications Evaluation Form
PDF template
A comprehensive form for rating and scoring consultant qualifications across multiple dimensions of performance and importance.
See template
See template
Rotary Youth Leadership Academy District 7670 Application
PDF template
Application form for high school students to participate in Rotary Youth Leadership Academy leadership development program in western North Carolina.
See template
See template
Sabbatical Leave Application Form
PDF template
An application form for faculty members seeking a sabbatical leave from Valencia College, requiring approval from multiple administrative levels.
See template
See template
Sabbatical Leave Request Form
PDF template
A formal document for faculty members to request and document a sabbatical leave, including approval process and required documentation.
See template
See template
State Aided Institutions (SAIs) Program Fiscal Year 2023 Timeline
PDF template
A comprehensive timeline detailing key dates and milestones for the State-Aided Institutions program fiscal year 2023 funding cycle.
See template
See template
Salaries Screening Questions
PDF template
Survey document collecting salary information for full-time instructional faculty at CUNY School of Law, including gender and academic rank details.
See template
See template
Sabbatical And Leave Application Form Budget Form
PDF template
A detailed budget form for documenting financial aspects of a sabbatical project, including personal, departmental, and other funding sources.
See template
See template
Sales And Use Tax Exemption For Transformational Brownfield Plans
PDF template
Instructions for obtaining sales and use tax exemption related to transformational brownfield development projects in Michigan.
See template
See template
Kenneth G. Standard Diversity Internship Program
PDF template
An internship program designed to increase representation of diverse lawyers and students in corporate legal departments through meaningful work experience.
See template
See template
Salon Interview Form
PDF template
A form used by prospective cosmetology students to interview salon professionals about their career experiences and insights.
See template
See template
SALTA MEMBERSHIP FORM
PDF template
A membership registration form for language teaching professionals with multiple membership tier options and payment methods.
See template
See template
SLCC Internship Application Form
PDF template
A comprehensive form for students to apply for internship opportunities at SLCC, collecting personal information, qualifications, and required supporting documents.
See template
See template
Institutional Review Board (IRB) For Human Subjects Research Minimal Risk Research Protocol Proposal
PDF template
A comprehensive form for submitting minimal risk research protocols for review by an Institutional Review Board, detailing submission requirements and research team guidelines.
See template
See template
Summer 2023 Budget Form
PDF template
Form for tracking student internship income, expenses, and stipend eligibility for summer internship program.
See template
See template
Sample Budget Description
PDF template
A detailed budget description outlining personnel costs, in-kind services, and project expenses for a cultural humanities project.
See template
See template
Sample Budget Form
PDF template
A guide for creating an annual budget for birth centers, including income categories and financial planning considerations.
See template
See template
Sample Budget Form
PDF template
A comprehensive financial planning document for a healthcare center, detailing income sources and expenditure categories.
See template
See template
Potomac College Proposed Budget
PDF template
A detailed budget proposal for Potomac College's Title I, Perkins grant funding for fiscal year 2018.
See template
See template
SAMPLE CLUB SOFTBALL BUDGET FORM
PDF template
Detailed budget breakdown for a softball club, including expenses for various categories like supervision, equipment, travel, and lodging.
See template
See template
Short Term International Program Budget Form
PDF template
Comprehensive budget breakdown for a student international program to Canada, detailing expenses and student costs.
See template
See template
ICF Sample Coaching Agreement
PDF template
A legal document outlining the relationship, responsibilities, and expectations between a coach and client in a professional coaching engagement.
See template
See template
Contract For Grantwriting Services
PDF template
A contract outlining the scope of services, compensation, and terms between a client and a grantwriting consultant.
See template
See template
CEC Course Or Pathway Proposal Form
PDF template
A form for proposing and reviewing new courses or course revisions within an educational institution's CEC process.
See template
See template
Pathway Proposal Form Initial Screen
PDF template
A form used to submit and screen initial pathway proposals for review.
See template
See template
Employee Evaluation Form
PDF template
A comprehensive self-evaluation document for employees to rate their performance across multiple professional competencies and reflect on their achievements and goals.
See template
See template
CME Evaluation For An Industry Supported Activity
PDF template
A comprehensive evaluation form for assessing the quality, objectivity, and potential practice impact of a medical education program.
See template
See template
Internship Agreement Form
PDF template
A comprehensive agreement outlining responsibilities and expectations for interns, employers, and faculty during an internship experience.
See template
See template
Sample Budget Form
PDF template
Comprehensive financial planning document for a childcare center, detailing income sources and financial considerations for operating a child care facility.
See template
See template
Provost Award For Travel (PAT) Application Budget And Budget Justification Form
PDF template
Detailed budget form for tracking travel expenses and requesting funding from Provost Award for Travel (PAT) program
See template
See template
Budget Worksheet
PDF template
A detailed budget document showing personnel costs, project expenses, and funding breakdown for a nonprofit or grant application.
See template
See template
SAMPLE BUDGET FORM
PDF template
A comprehensive template for creating a budget for grant applications, including income, revenue, and expense categories.
See template
See template
Sample Proposal Form
PDF template
A comprehensive form for submitting a conference or event presentation proposal, capturing presenter details, session content, and learning objectives.
See template
See template
Staff Evaluation Form
PDF template
A comprehensive assessment tool for evaluating staff knowledge and skills in child development, health, and safety.
See template
See template
SBA Treasury Transfer Request Form
PDF template
A form for requesting funds transfer between organizational accounts within an organization's treasury system.
See template
See template
CFP Sample
PDF template
A form for submitting speaker and presentation proposals for a conference with details about author information and abstract submission.
See template
See template
CFP Sample
PDF template
A Call for Proposals (CFP) form for conference presenters to submit speaker and presentation details.
See template
See template
Doctor Of Business Administration Student Handbook
PDF template
A comprehensive guide for participants in the Doctor of Business Administration program at SBS Swiss Business School Branch Campus, RAK, providing program details, rules, and support information.
See template
See template
2024 SCAA Scholarship Award Program
PDF template
Scholarship application for students pursuing professional fields related to mineral extraction, offering up to $5,000 in awards.
See template
See template
Suicide Care Assessment Form (SCAF)
PDF template
A self and observer-rated form assessing mental health trainees' competencies in suicide-related clinical skills and knowledge.
See template
See template
Continuing Education Mission Statement
PDF template
Document outlining the mission, vision, and guiding principles for continuing education in critical care medicine by the Society of Critical Care Medicine (SCCM).
See template
See template
SCC Training Program Application Form
PDF template
Application form for graduate students seeking placement in the Student Counseling Center's training program, requiring detailed personal and professional information.
See template
See template
SCHA Education Grant Application
PDF template
A grant application form for professionals in college health seeking funding for conference attendance or professional development.
See template
See template
Request For Proposal 11 X 21415 Telecommunications Equipment Services Solution
PDF template
A proposal detailing maintenance discounts and coverage for telecommunications equipment by Avaya for the State of New Jersey.
See template
See template
DCOM Student Scholarly Activity And Research Project Form OMS I II
PDF template
A form for medical students to document and obtain approval for scholarly research activities with mentor and institutional review board guidance.
See template
See template
H.E.L.P. The Lawrence J. Dippold Health Education Loan Program
PDF template
Scholarship program providing financial assistance for health-related career training at Guthrie Cortland Medical Center
See template
See template
Scholarship Budget Form For Upcoming Academic Year
PDF template
A comprehensive financial planning form for students to track educational resources and expenses for an upcoming academic year.
See template
See template
School Of Education Required Common Assessments
PDF template
Document outlining required assessments and forms for student teachers and interns in the School of Education.
See template
See template
School Of Education Required Common Assessments
PDF template
Comprehensive assessment documentation for student teachers and interns in the School of Education, including self-evaluation and disposition assessment forms.
See template
See template
Undergraduate Internship Application
PDF template
Application and guidelines for undergraduate students seeking internship opportunities in criminal justice agencies and organizations.
See template
See template
Official Score Transfer Request Form
PDF template
Form for requesting official exam result transfer from NBSTSA to another credentialing or licensing board.
See template
See template
Screening Assessment Form
PDF template
A form for assessing potential land contamination for small development projects, to be submitted with planning applications.
See template
See template
Screen Mentoring Initial Report
PDF template
A form for documenting mentorship details, goals, and actions while addressing data protection requirements.
See template
See template
Screen Mentoring Interim Report
PDF template
A form for documenting progress and details of a mentorship program, including meeting information and data protection consent.
See template
See template
SWITCH AND CROSSING REFURBISHMENT COURSE BOOKING FORM
PDF template
A training course booking form for professionals in railway infrastructure maintenance and refurbishment of switches and crossings.
See template
See template
REQUEST FOR PROPOSALS FOR Sebastopol Main Street Planning And Redesign Project
PDF template
Request for proposals for urban planning and traffic engineering services to redesign Main Street in Sebastopol, California, funded by a Caltrans Sustainable Transportation Grant.
See template
See template
UNIVERSITY MANUAL, SECTION 305 Performance Evaluations
PDF template
Policy outlining the process for conducting performance evaluations for university faculty members, including review procedures and evaluation criteria.
See template
See template
University Manual, Section 305 Performance Evaluations
PDF template
Comprehensive guidelines for evaluating faculty performance, including retention, tenure, promotion, and periodic reviews.
See template
See template
F4.5 Other Services To Faculty
PDF template
Comprehensive policy detailing various services and benefits available to full-time faculty members at East Central University.
See template
See template
ISMAA SECTION NExT APPLICATION FORM
PDF template
Application form for mathematics educators seeking professional development through the ISMAA Section NExT Program for the 2024-25 academic year.
See template
See template
SEI Educational ProgramProject Proposal
PDF template
A form for proposing educational programs or projects that demonstrate sustainability and educational value to students at Western Carolina University.
See template
See template
PERFORMANCE FEEDBACK PROGRAM SELF ASSESSMENT FORM
PDF template
A comprehensive form for employees to document their professional accomplishments, development areas, and future goals for performance review.
See template
See template
Self Designed Externship Host Agreement Form
PDF template
Form for students to secure and document an externship placement with a host organization, outlining program details and requirements.
See template
See template
Self Evaluation Form Full Time (Tenured Or Tenure Track) Faculty
PDF template
A comprehensive self-assessment document for full-time faculty to reflect on their professional development, teaching craft, and contributions to the college and community.
See template
See template
SELF FEEDBACK FORM
PDF template
A guided reflection tool for facilitators to assess their performance, learning, and areas for improvement after a session.
See template
See template
Annual Employee Self Review Form
PDF template
A comprehensive performance review document for employees to assess their annual work performance, goals, and professional development.
See template
See template
Document Of Self Support IncomeExpense Budget Form Financial Independence
PDF template
Form for undergraduate students under 24 to document financial independence by providing detailed income and expense information for residency determination.
See template
See template
Southeast Library System Scholarship Application
PDF template
Application for library professionals to request funding for professional development events or courses.
See template
See template
THEA 482 Senior Project Proposal
PDF template
A departmental form for students proposing a senior project in the Theatre & Dance department, potentially qualifying for Departmental Honors.
See template
See template
Senior Project Proposal Form
PDF template
Form for students proposing a senior project in the Theatre & Dance department, including options for departmental honors consideration.
See template
See template
Senior Thesis Or Senior Honors Thesis In Biochemistry Research Proposal Form
PDF template
A form for students to submit their senior thesis or honors thesis research proposal in biochemistry, requiring advisor approval and proposal details.
See template
See template
NPP PRACTICUM SERVICE ENTRANCEEXIT INTERVIEW
PDF template
A two-part interview document for tracking intern expectations, goals, and insights at the beginning and end of a service practicum.
See template
See template
SERVSAFE CLASS REGISTRATION FORM
PDF template
Registration form for a ServSafe food safety management certification course requiring a written examination and valid for five years.
See template
See template
Settlement Proposal
PDF template
A document used to propose financial settlement for a terminated contract, detailing costs, expenses, and credits.
See template
See template
County Of Hastings Land Division Committee Inquiry Or Development Proposal Form
PDF template
A form for submitting land division proposals and property severance inquiries to the County of Hastings Land Division Committee.
See template
See template
Authorization, Agreement, And Certification Of Training
PDF template
A comprehensive form for documenting employee training details, course information, and organizational training requirements.
See template
See template
Budget Information For Non Construction Programs (SF 424A)
PDF template
A standardized form for providing budget information for non-construction federal grant programs.
See template
See template
SFSU Incident Report Form
PDF template
A form for reporting information security incidents at San Francisco State University that potentially compromise IT asset confidentiality, integrity, or availability.
See template
See template
Application For Approval Of Research Proposal
PDF template
A comprehensive form for submitting and obtaining approval for a research proposal at Shahid Gangalal National Heart Centre.
See template
See template
Shadowing Contact Information Form
PDF template
A form for healthcare professionals to provide contact details and availability for nursing students or professionals interested in job shadowing experiences.
See template
See template
CONTINUING EDUCATION UNITS (CEUs) SHADOWING FORM
PDF template
A form for documenting professional job shadowing and learning experiences for massage therapists to track continuing education units.
See template
See template
Faculty And Staff Annual Giving Form
PDF template
A form for Shepherd University faculty and staff to make annual charitable contributions through various payment methods, including payroll deduction.
See template
See template
Shot Clock Waiver Form
PDF template
A form allowing applicants to waive statutory deadlines for various city planning and development permits under Local Government Code Chapter 212.
See template
See template
Evaluation Policy For Tenured And Part Time Faculty
PDF template
A comprehensive policy outlining the evaluation criteria and process for faculty members in the Peralta Community College District.
See template
See template
Signature Experience Grant Budget Form
PDF template
A form for applicants to detail budget items for a signature grant with a $300 limit.
See template
See template
Signature Experience Grant Budget Form
PDF template
A form for submitting budget details for a signature grant application with a $750 budget limit.
See template
See template
Significant Change Proposal Form
PDF template
A form used to propose significant changes to graduate degree or graduate certificate program requirements at the University of Washington.
See template
See template
SIMPLE BUDGET FORM
PDF template
A comprehensive budget form for tracking monthly income, expenses, and financial allocations across various spending categories.
See template
See template
Permit Variance Approval Form
PDF template
A comprehensive permit application form for various land use, development, and construction-related approvals and permits.
See template
See template
Site Plan Agreement Performance Deposit Tracking
PDF template
A municipal document for tracking site plan performance deposits, including deposit receipt and release details.
See template
See template
Six Months Certificate Course On Corporate Law (Online)
PDF template
A comprehensive online certification program covering corporate law concepts, designed for professionals and students to enhance legal knowledge and career prospects.
See template
See template
Skills Inventory
PDF template
A career services document for students to inventory and document their skills, experience, and potential ways to demonstrate them to employers.
See template
See template
Membership Form
PDF template
Registration form for students to participate in various technical, leadership, and professional development contests across multiple disciplines.
See template
See template
Trapeze Experience Registration Agreement Form
PDF template
Registration and medical consent form for a flying trapeze course with participant medical information and liability release
See template
See template
Trapeze Experience Registration Agreement Form
PDF template
Registration and medical consent form for a flying trapeze course, including participant details, medical information, and image release
See template
See template
RFP 24 EMO 1 Emergency Preparedness Smartphone Application For Tioga County Fire Emergency Manageme
PDF template
Request for proposal for a mobile application to support emergency preparedness and management in Tioga County, New York.
See template
See template
Annual Financial Report Of Expenditures
PDF template
Annual financial report detailing expenditures and budget allocation for the Scaling Up Nutrition Movement Secretariat for the year 2019.
See template
See template
Summer Manuscript Support (SMS) Funding Opportunity Announcement
PDF template
Funding opportunity for faculty to receive support for preparing and submitting peer-reviewed manuscripts related to human health research.
See template
See template
Summer Manuscript Support (SMS) Funding Opportunity Announcement
PDF template
Funding opportunity to support faculty in preparing and submitting peer-reviewed manuscripts related to human health research.
See template
See template
Certificate Of Attendance
PDF template
Official document certifying participation in the SNACC Annual Meeting conference
See template
See template
Sierra Nevada Swimming Proposal For Hosting A Meet
PDF template
A proposal form for organizing a swimming competition under Sierra Nevada Swimming with various meet format options and guidelines.
See template
See template
Snow Fun YOUTH Informed Consent And Parental Consent Form
PDF template
A consent form for youth participation in Snow College's SnowFun courses and programs, requiring parent/guardian and participant signatures.
See template
See template
Administrative Faculty Annual Evaluation Form
PDF template
Annual performance assessment form for administrative faculty members covering professional skills, collaboration, university contributions, and growth potential.
See template
See template
Sociology And Criminal Justice Internship Student Evaluation Form
PDF template
A comprehensive form to evaluate student intern performance in a sociology or criminal justice internship program.
See template
See template
Enterprise Budget Software Purchase Form
PDF template
A purchase form for agricultural enterprise budget software with multiple budget options from Oklahoma State University
See template
See template
Enterprise Budget Software Purchase Form
PDF template
A form for purchasing agricultural enterprise budget software with multiple budget options for crop and livestock budgeting.
See template
See template
Solicitation 374916 Staff Aug Senior Mechanical Design Engineer
PDF template
Formal request for proposals from potential candidates for a senior mechanical design engineering position at Washington River Protection Solutions, LLC.
See template
See template
Solicitation 374936 Staff Aug CivilStructural Engineer SME
PDF template
Request for proposals for a Civil/Structural Engineer Subject Matter Expert (SME) position supporting the U.S. Department of Energy's Office of River Protection contract.
See template
See template
TNI Standard Operating Procedure Educational Delivery System
PDF template
Describes TNI's comprehensive training system components, procedures for training development, review, acceptance, and fee establishment for both TNI and third-party training.
See template
See template
SOPHE Internship Application Form
PDF template
An application form for students seeking an internship with the Society for Public Health Education (SOPHE)
See template
See template
Budget Form
PDF template
A comprehensive form for tracking monthly income and expenses across various categories.
See template
See template
Strategic Planning And Resource Council Minutes
PDF template
Minutes from a university strategic planning meeting discussing funding, budget allocations, and capital requests for the year.
See template
See template
Speaker Travel Reimbursement
PDF template
A form for speakers to claim travel-related expenses for presentations at Florida Bar events.
See template
See template
Affiliate Special Event Budget Form
PDF template
A comprehensive form for non-profit affiliates to plan and track financial details of special fundraising events.
See template
See template
Special Interest Housing Proposal Form
PDF template
A form for proposing special interest housing communities at a university with faculty/staff contact and program details.
See template
See template
Special Issue Proposal Form
PDF template
A form for academic journal editors to propose and outline details for a special issue publication.
See template
See template
Spending Policies And Procedures
PDF template
Comprehensive document outlining procurement policies, expenditure procedures, and purchasing guidelines for Auburn University.
See template
See template
Sponsor Checklist
PDF template
A comprehensive checklist for Northern Lights-approved sponsors planning and offering trainings in Vermont for early childhood and afterschool professionals.
See template
See template
Informational Interview Experience Form For Sport Management Application
PDF template
A form for students to document and reflect on informational interviews with professionals in sport management careers.
See template
See template
Play Proposal Form
PDF template
A comprehensive form for playwrights to submit their play proposal to a theatre company, detailing production specifics and requirements.
See template
See template
REQUEST FOR SPOUSAL TRAVEL
PDF template
Form for documenting and obtaining approval for a spouse's travel on university business at university expense.
See template
See template
Paid Artist Residency Spring Programme Call Out
PDF template
A paid residency opportunity for professional dance artists in Scotland to develop their work in a supportive studio environment with funding support.
See template
See template
Spring Artist Residency Call Out
PDF template
A paid residency program for professional dance artists and choreographers based in Scotland to develop their work in a supportive studio environment.
See template
See template
Substantive Policy Statement 15
PDF template
Policy guidelines by the Arizona Medical Board for establishing residency when applying for professional licensing under A.R.S. 32-4302.
See template
See template
Oklahoma State University School Psychology Program Student Evaluation Form
PDF template
Comprehensive assessment form for evaluating graduate students in the School Psychology program across professional and academic dimensions.
See template
See template
AISGW Common Confidential Student Evaluation Form
PDF template
A confidential evaluation form assessing a young child's social, physical, and pre-academic skill development for school admission purposes.
See template
See template
Service Request Form
PDF template
A form for part-time and adjunct faculty to request and detail service assignments for upcoming semesters.
See template
See template
Student Research Grant Budget Form
PDF template
A form for students to request funding and itemize budget details for a research proposal.
See template
See template
AP 12.204 Attachment 1 Special Fund Research Recharge Center (SRRC) Proposal
PDF template
A comprehensive form for establishing or modifying a Special Fund Research Recharge Center at the University of Hawai'i, detailing project specifics, operating budget, and user rates.
See template
See template
Supplemental Salary Funds Agreement
PDF template
A document outlining the process for faculty members receiving external fellowship funds through university payroll and maintaining benefits.
See template
See template
Social Sciences Graduate Student Activities Committee Funding Proposal Form
PDF template
A form for requesting funding for student activities within the Social Sciences Division at the University of Chicago.
See template
See template
Sales Competency Program Application
PDF template
Application form for students seeking professional sales and leadership certificates through California State University, Chico's College of Business program
See template
See template
UC Davis Health Staff Assembly Volunteer Form
PDF template
A form for UC Davis Health staff members to volunteer and participate in staff assembly committees or initiatives.
See template
See template
Annual Performance Review Form
PDF template
A comprehensive form for evaluating employee performance, including self-assessment and supervisor evaluation at Cowley College
See template
See template
Staff Performance Review Process
PDF template
A comprehensive document outlining the process and form for evaluating staff performance at Southern Utah University
See template
See template
Development Agreement
PDF template
A contract between the British Broadcasting Corporation (BBC) and a supplier for developing a potential television programme or series.
See template
See template
Standard Equipment Request Form
PDF template
A form for requesting computer equipment and accessories for staff, faculty, and labs at an educational institution.
See template
See template
Standard Event Budget Form
PDF template
A comprehensive financial planning form for tracking event expenses, revenues, and net profit calculation.
See template
See template
AIGA Standard Form Of Agreement For Design Services
PDF template
A modular contract template for design professionals to help clarify project expectations and protect interests of all parties involved.
See template
See template
STANDARDIZED SUBMISSION REQUIREMENTS AND SELECTION CRITERIA
PDF template
Request for proposals from qualified firms and individuals to provide professional services with specified submission and selection criteria.
See template
See template
Standards And Guidelines For Undergraduate Student Internships In The Department Of History, Colorad
PDF template
Comprehensive guidelines for undergraduate history students seeking internship credits at Colorado State University, outlining eligibility, requirements, and internship process.
See template
See template
2021 Legislative Session Member Requested Local Community Project Information Form
PDF template
A form for legislative members to submit local community project proposals with detailed project and organizational information.
See template
See template
Statewide Vehicle Rentals Contract
PDF template
Non-mandatory vehicle rental contract for state agencies and political subdivisions in Alaska, providing pricing and rental terms for various vehicle classes.
See template
See template
Stay Interview Notes
PDF template
A structured interview form designed to assess employee engagement, satisfaction, and retention by exploring individual experiences and perspectives.
See template
See template
Professional Development REFUND REQUEST FORM
PDF template
A form for students to request tuition refunds for professional development courses at CSU Monterey Bay Extended Education.
See template
See template
Course Evaluation Form
PDF template
A standardized form for evaluating the quality and effectiveness of a training course, covering learning objectives, instructor performance, and overall experience.
See template
See template
Step One MSE 1010 Feedback On Individual Lessons
PDF template
A comprehensive evaluation form for assessing student teachers' performance during classroom instruction
See template
See template
Step 2 Lesson Feedback Form
PDF template
A comprehensive observation form for evaluating teaching performance and providing constructive feedback for MTeach students.
See template
See template
STEPS IN PREPARING BUDGET TRANSFERS
PDF template
Detailed instructions for creating and submitting budget transfer forms in Adobe Sign for Santa Monica College financial processes.
See template
See template
HCO Grant Application Form
PDF template
A form for healthcare organizations to request educational support grants from Astellas for healthcare professionals to attend scientific congresses.
See template
See template
IUPAC Safety Training Program Fellowship Application Form
PDF template
Application for chemists and chemical engineers to receive safety and environmental protection training through IUPAC's Safety Training Program
See template
See template
Student Activity Or Club Release And Waiver Of Liability, Assumption Of Risk And Indemnity Agreement
PDF template
A legal document allowing students to participate in university activities by acknowledging and accepting potential risks and liability terms.
See template
See template
Student Contact Form
PDF template
A document used to document conversations between faculty and postprofessional physical therapy students to assess academic and professional development.
See template
See template
Student Employee Evaluation Form
PDF template
A comprehensive performance assessment form for student employees covering multiple work performance factors and professional development areas.
See template
See template
Student Employee Workplace Expectations Feedback Form
PDF template
A comprehensive feedback form for evaluating student employee performance across multiple workplace competency areas.
See template
See template
Student Employment Self Evaluation Form
PDF template
A self-evaluation form for student employees to assess their job performance, skills, and professional growth.
See template
See template
Annual Student Evaluation Form
PDF template
A comprehensive form documenting student performance across multiple academic and professional domains with rating scales and potential recommendations.
See template
See template
Clinical Psychology Student Annual Summary Evaluation Form
PDF template
Annual evaluation form for assessing clinical psychology graduate student performance across multiple professional domains.
See template
See template
Missouri Western State University Student Evaluation Of Faculty
PDF template
Guidelines for conducting student evaluations of faculty performance at Missouri Western State University, detailing administrative procedures and evaluation process.
See template
See template
Student Performance Evaluation Template
PDF template
A comprehensive evaluation form for assessing student employee performance across multiple professional competencies.
See template
See template
Student Activity Student Representation Fee WaiverRefund Request
PDF template
Form for students to request waiver or refund of voluntary student activity and representation fees at Contra Costa College.
See template
See template
Norman Chamber Of Commerce 2013 Job Shadowing Program For Cleveland County
PDF template
A program for high school juniors and seniors to experience professional work environments through job shadowing opportunities.
See template
See template
Student Professional Development Allowance Application Form 2017 2018
PDF template
A funding program providing $100 to support professional training events for full-time pre-internship graduate students in clinical psychology.
See template
See template
Student ProjectActivity Proposal Form
PDF template
A form for students to propose and get risk management approval for projects or activities not part of regular course curriculum.
See template
See template
Student International Activity Proposal Form
PDF template
A form for Hobart and William Smith Colleges students to propose and get approval for independent international activities with institutional risk management review.
See template
See template
Step 2 Inquiry Based Lesson Design Mentor Teacher Feedback Form
PDF template
A comprehensive evaluation form for assessing teacher performance and lesson design effectiveness during classroom instruction.
See template
See template
STUDENT INTERN SELF EVALUATION FORM (Form C)
PDF template
A comprehensive self-assessment form for student interns to evaluate their performance, skills, and accomplishments during an internship experience.
See template
See template
Student Services Service Agreement
PDF template
Comprehensive service agreement detailing budget and service units for student support across various departments in a university setting.
See template
See template
Student Teaching Checklist
PDF template
A comprehensive checklist for student teachers detailing required documents, tasks, and prerequisites for student teaching placement in Missouri.
See template
See template
STUDENT TRAVEL FORM
PDF template
A form for student pharmacists to request travel reimbursement for professional conferences with specific funding guidelines.
See template
See template
Graduate Student Travel Grant Application
PDF template
Travel grant application for full-time graduate students at East Stroudsburg University to support research presentations and professional activities.
See template
See template
Seton Hall University Off Campus Activity Student Voluntary Participation Waiver And Release And Eme
PDF template
A legal waiver for students participating in off-campus university activities, outlining risks, responsibilities, and release of liability.
See template
See template
Form 410 Study Group Proposal Form
PDF template
A form for proposing and submitting a study group for the Osher Lifelong Learning Institute (OLLI) winter/spring session.
See template
See template
NBCOT Study Group Report Form
PDF template
A structured form for documenting occupational therapy study group activities, goals, and learning outcomes.
See template
See template
STUDY LEAVEDAY RELEASE APPLICATION FORM
PDF template
An application form for Central Government Service of Jamaica officers seeking study leave or day release for educational purposes in the 2024/2025 academic year.
See template
See template
Research Study Proposal Form
PDF template
A comprehensive form for proposing and detailing a research study's purpose, background, design, methods, and analysis plan.
See template
See template
Subdivision Application
PDF template
Official form for submitting preliminary or final subdivision plats and land division proposals within Madison, Wisconsin city limits and extraterritorial jurisdiction.
See template
See template
SUBDIVISION REQUEST FORM
PDF template
A comprehensive form for requesting electric service and infrastructure details for a new subdivision development project.
See template
See template
SUBDIVISION ROAD NAME REQUEST
PDF template
Official form for requesting road names in a new subdivision development, used for addressing and emergency services purposes.
See template
See template
Professional Service PROPOSAL QUALIFICATION AND COSTS SUBMISSION FORM
PDF template
A comprehensive form for firms to submit professional service qualifications, capabilities, and cost proposals to a public entity or authority.
See template
See template
Part II Submittal Compliance Form
PDF template
A form for documenting and reporting deviations from approved development plans and certifying compliance with zoning ordinances.
See template
See template
National Mortgage Settlement Funds Request For Proposals Form D Financial Information
PDF template
A comprehensive financial form for detailing budget revenues, expenses, and allocations for sub-recipients seeking mortgage settlement funds.
See template
See template
Agreement To Participate
PDF template
An agreement outlining the terms and responsibilities for family child care providers participating in a mental health consultation program by SUCCESS.
See template
See template
Suggested(ThesisProject(Proposal(Form
PDF template
A form for scouting candidates to submit a proposed thesis or project topic for review and approval by a Doctoral Review Team.
See template
See template
Summary Evaluation Form For Faculty
PDF template
A comprehensive evaluation document for assessing faculty performance, tenure status, and professional development.
See template
See template
ROYAL UNIVERSITY OF BHUTAN SUMMATIVE PERFORMANCE REVIEW FORM
PDF template
A comprehensive performance evaluation document for employees at the Royal University of Bhutan, detailing performance outputs and ratings.
See template
See template
Summative Self Evaluation Guidelines
PDF template
Guidelines for faculty members preparing a comprehensive self-evaluation portfolio for reappointment, promotion, or tenure review at Centenary University.
See template
See template
SUMMER COURSEACTIVITY PROPOSAL FORM
PDF template
A comprehensive form for proposing and detailing summer educational courses or activities with structured sections for review and approval.
See template
See template
Administrative Faculty Evaluation Form
PDF template
A comprehensive assessment form for evaluating administrative faculty performance across multiple professional competency areas at Southern Connecticut State University.
See template
See template
Administrative Faculty Annual Evaluation Form
PDF template
A comprehensive assessment form for evaluating administrative faculty members across five key performance areas
See template
See template
Intensive Practicum Supervision Contact Form
PDF template
A form used to document supervisory contacts for students in the Master of Arts in Applied Behavior Analysis program at William James College.
See template
See template
Supervision Report Form 102
PDF template
A comprehensive guide explaining the purpose, requirements, and usage of the Supervision Report Form for professional licensing and tracking purposes.
See template
See template
Supervisor Evaluation Form
PDF template
A comprehensive form for evaluating clinical supervisors across various professional supervision dimensions and characteristics.
See template
See template
STUDENT EMPLOYEE SUPERVISOR FEEDBACK FORM
PDF template
A form for supervisors to provide feedback and performance assessment for student employees, documenting skills and areas for professional growth.
See template
See template
Performance Development System Supervisory And Management Staff Appraisal
PDF template
A comprehensive performance review document for evaluating supervisory and management staff performance, including self-assessment and goal alignment.
See template
See template
Environmental Service Request (ESR) Form
PDF template
A form for requesting environmental review for projects using federal funds administered by the Los Angeles County Development Authority (LACDA)
See template
See template
SURF SIMULATOR RELEASE OF LIABILITY, WAIVER OF CLAIMS, EXPRESS ASSUMPTION OF RISK AND INDEMNITY AGRE
PDF template
A legal document releasing liability for participants using a surf simulator, outlining potential risks and participant acknowledgment.
See template
See template
Request For Proposal IT Staff Enrichment Solutions
PDF template
A request for proposal for IT staff enrichment solutions issued by SURS, seeking vendor proposals for staffing and training services.
See template
See template
Request For Proposal Reciprocal Exchange Data Sharing Between Systems
PDF template
A formal request for proposal for establishing a reciprocal data exchange system between organizational systems with detailed submission requirements.
See template
See template
Request For Proposal Genesys Licensing, Support, And Teams
PDF template
A formal request for proposal seeking licensing, support, and teams services for SURS organization with specific submission requirements and evaluation process.
See template
See template
Sustainability Internship Procedure
PDF template
Detailed procedure for students in the Sustainability Program to obtain academic credit through a 200-hour internship in the sustainability field.
See template
See template
SVEA Tuition Reimbursement Form
PDF template
Form for school district employees to request tuition reimbursement for professional development and educational advancement.
See template