Turn your PDF into an API-fillable template in seconds. No signup required.
Try it now
Turn your PDF into an
API-fillable template in
seconds
Upload any PDF to see Anvil's Document AI in action. No signup required.
Products
Workflows
Automate complex document processes
Etch E-sign
Embed white-labeled e-signatures
PDF Services
Fill PDFs with collected or stored data
Webforms
Collect data with mobile-friendly webforms
Document AI
Faster way to build workflows
OCR Service
Extract data from any document
Industries
Insurance
Rate, quote, and bind faster
Human resources
Automate onboarding documents
Real estate
Secure workflows for buying, selling, renting
Healthcare
Launch HIPAA compliant document workflows
Finance
Automate documents for financial products
Case studies
Learn how businesses have grown with Anvil
Resources
Form library
Ship faster with pre-made form templates
Blog
New features, industry news, customer stories
Help center
Step-by-step guides for using Anvil
PDF Costs Calculator
Calculate your company's document costs
Features
Overview of all Anvil features
Merch store
Order an Anvil hat
Developers
Get started
A quick introduction to building with Anvil
Documentation
Learn how to build Anvil into your product
API reference
GraphQL types, queries, & more
Product updates
New features & app improvements
Open source
Pre-written clients to simplify development
Engineering blog
Technical topics, how-tos, & more
Pricing
Try it free
Get a demo
Products
Industries
Resources
Developers
Pricing
Login
Try it free
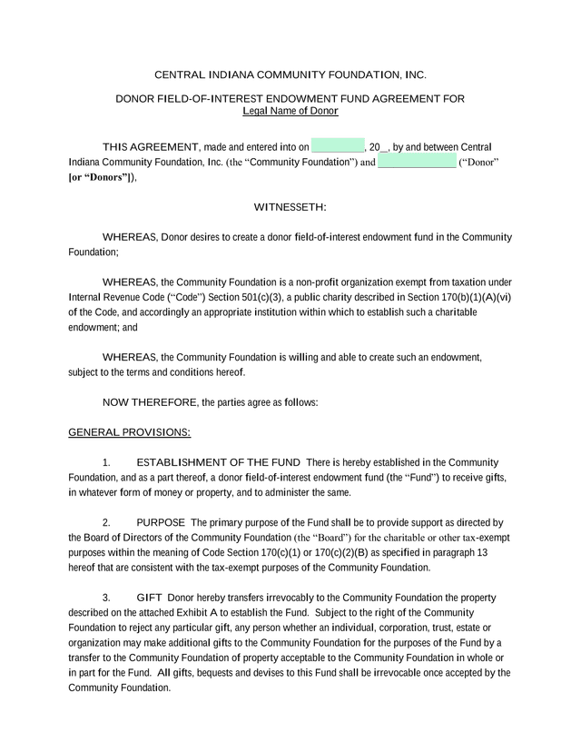
2021 Open Call Project Implementation Guide
One API call is all it takes. Free to use.
Fill it over API
Download fillable PDF
AI-generated
4.8 Stars
A comprehensive guide detailing project implementation timelines, requirements, and submission procedures for selected institutions participating in a 2021 open call project.
Fill over API
Get it e-signed
Build document flow
Fill out your PDF over API
Send JSON, fill PDF
. It's that simple.
Fast and scalable PDF filling.
Quick
AI-assisted
template setup.
Get started for free
Get your PDF filled and signed
Request e-signatures over
API
.
Save time (& sanity) with
Document AI
.
Style
&
embed
e-sign into your application.
Get started for free
Automate your document flows
Generate
production-ready Webforms
from PDFs in seconds.
Collect reusable, structured data.
Customize document workflows without code.
Get started for free
Integrate with
Build Zapier workflows to automate paperwork processes end-to-end with Anvil.Â
Learn more
.
You can:
Fill a PDF
Setup an Anvil Workflow trigger
Start & pre-fill an Anvil Workflow
Create a link to an Anvil submission
See other related forms
Form 10 Q
PDF template
Quarterly financial report filed with the U.S. Securities and Exchange Commission for the period ended June 30, 2023.
See template
See template
Motions To Approve DOT, Debt, Cap Imp, Cap Dev, And Req For Approp
PDF template
Legislative motions for budget approvals related to transportation, debt service, and capital improvements for fiscal years 2014 and 2015.
See template
See template
Form 8 K
PDF template
Securities and Exchange Commission filing providing current report for CytoDyn Inc.
See template
See template
Joint Labor Management Cooperative Trust Application
PDF template
Application form for construction project bidding and cooperative trust participation involving labor and management details.
See template
See template
Labor Management Cooperation Trust Local Operating Form
PDF template
Application form for labor-management cooperation in construction projects involving local engineering unions and contractors.
See template
See template
SERVICESSUPPLIESEQUIPMENT REQUISITION (Form 003)
PDF template
A detailed form for requesting and approving purchases of services, supplies, or equipment within an organization.
See template
See template
Document 00 46 00 Project Specific Prequalification Statement
PDF template
A form for contractors to submit project-specific prequalification details for bidding on University of Illinois construction projects.
See template
See template
Kentucky House Bill 387 Employee And Contractor Reporting Act
PDF template
Kentucky legislative act requiring quarterly reporting of full-time employees and contractors across state government executive branches.
See template
See template
Contract Modification Procedures
PDF template
Outlines administrative and procedural requirements for handling contract modifications, changes, and supplemental instructions in a construction project.
See template
See template
Equitable Sharing Agreement And Certification Form
PDF template
Guide for law enforcement agencies regarding the annual Equitable Sharing Agreement and Certification form, detailing Version 3.0 changes and submission requirements.
See template
See template
DoD 7000.14 R Financial Management Regulation Volume 2B, Chapter 18
PDF template
Department of Defense financial management regulation chapter covering information technology, cyberspace activities, and related reporting requirements.
See template
See template
Navajo Nation Trip Report
PDF template
Official travel document for reporting trip details, expenses, and purpose of travel within the Navajo Nation.
See template
See template
Travel Policy Guidelines
PDF template
Policy defining travel authorization, approval process, and expense reimbursement for Niagara Frontier Transportation Authority employees and commissioners.
See template
See template
New Incident Report Form
PDF template
Updated incident reporting form by Arizona Department of Economic Security's Division of Developmental Disabilities, implementing changes based on House Bill 2865.
See template
See template
Request For Proposal 18 031 ADDENDUM 1
PDF template
Request for Proposal soliciting services for a Project Management Modernization Office for the Indiana Bureau of Motor Vehicles
See template
See template
Request For Proposal 18 031
PDF template
A solicitation by the Indiana Department of Administration for a project management modernization office for the Indiana Bureau of Motor Vehicles/Commission.
See template
See template
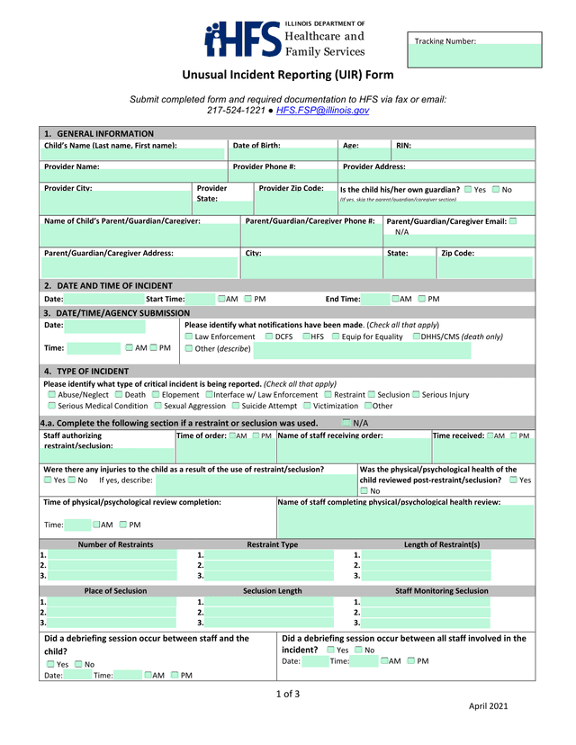
Injury Or Accident Report Form (Model Form)
PDF template
A comprehensive form for documenting child injuries, including details about the incident, location, type of injury, and medical treatment.
See template
See template
Recreational Trails Program Reimbursement Request Guide
PDF template
Guide for submitting reimbursement requests for the Virginia Department of Conservation and Recreation's Recreational Trails Program.
See template
See template
Finished Project Form
PDF template
A form for documenting details of a completed construction or installation project using TWEHA bonding systems.
See template
See template
FINAL PROPOSAL AND BUDGET APPROVAL FORM
PDF template
A form requiring multi-level signatures for final approval of a proposal and its associated budget at Columbia State.
See template
See template
Initiate Grant Proposal Form
PDF template
A form used by faculty and staff to request authorization and submit details for a potential grant project at Columbia State.
See template
See template
Incident Report Policy
PDF template
Policy governing incident and accident reporting procedures for Richmond Public Library staff and facilities.
See template
See template
Contract Policy Procedures
PDF template
Comprehensive policy defining contract procedures, types, and risk management for university employees when entering into legally binding agreements.
See template
See template
Small Capital Projects Request Form
PDF template
A form for submitting small capital project requests for the Puyallup School District, detailing project needs and funding sources.
See template
See template
LSU Institutional Review Board Consent Form Checklist
PDF template
A comprehensive checklist to ensure all required elements of informed consent are properly addressed in research study consent forms.
See template
See template
Stakeholder Feedback Form Implementation Of American Rescue Plan Act Of 2021 Section 9817
PDF template
Form seeking stakeholder input on proposed spending of additional federal funding for Home and Community-Based Services during the COVID-19 emergency.
See template
See template
PNST Application Form 2025
PDF template
Application form for post-graduate study on Nano-Satellite Technologies, offering master's and doctoral fellowships through the UN/Japan program.
See template
See template
Travel Expense Reimbursement Form
PDF template
A form for documenting and calculating travel-related expenses for an employee attending a professional conference.
See template
See template
Proposal For Thesis Or Project Research
PDF template
A form for computer science graduate students to propose and document their master's thesis or project research scope and details.
See template
See template
Guidelines For Minors In The Laboratory
PDF template
Comprehensive safety guidelines for minors aged 14-18 participating in laboratory activities at the University of Alabama in Huntsville.
See template
See template
Eastlakes U3A Accident, Incident And Hazard Report Form
PDF template
A comprehensive form for reporting accidents, incidents, or hazards within an organization, detailing the event, actions taken, and potential follow-up steps.
See template
See template
FY 2012 Budgets Universities, Special Schools, Iowa Public Radio, Board Office
PDF template
Annual budget document detailing fiscal year 2012 budgets for Iowa's public universities, special schools, and related entities.
See template
See template
Wisconsin Department Of Public Instruction CACFP Announcements
PDF template
Monthly update and guidance document for Child and Adult Food Care Program participants in Wisconsin
See template
See template
APM 025 Annual Report
PDF template
Annual reporting requirement for faculty documenting compensated outside professional activities and additional teaching activities at UC Santa Cruz.
See template
See template
DoD Financial Management Regulation Volume 10, Chapter 6
PDF template
Department of Defense comprehensive guidelines for managing tax reporting and payment responsibilities across federal, state, local, and foreign jurisdictions.
See template
See template
Highland Rim Economic Corporation Procurement Form
PDF template
A form for documenting and obtaining approvals for organizational purchases at various spending levels.
See template
See template
NSERC SSHRC Sustainable Agriculture Research Initiative Instructions For Completing An Application
PDF template
Comprehensive guidelines for submitting research grant applications through NSERC's Alliance grants program for sustainable agriculture research.
See template
See template
KK Incident Report
PDF template
A comprehensive form for documenting accidents, injuries, or property damage during events or activities.
See template
See template
Request For Proposals 2014 Website Project
PDF template
A request for proposals to update and redesign the city website with comprehensive design, licensing, and hosting services.
See template
See template
Monthly Grant Funding (MGF) Payment Inquiry Form
PDF template
A form used by community partner clinics to inquire about missing monthly grant funding payments for enrolled participants.
See template
See template
LLC Partnership Preparation Checklist And Questionnaire
PDF template
A comprehensive tax year questionnaire for documenting changes and key information for an LLC partnership's tax preparation
See template
See template
BIA Form 62123
PDF template
Annual reporting form for Bureau of Indian Affairs Adult Education Program tracking student enrollment, GED, employment, and educational outcomes.
See template
See template
Accident Incident Report
PDF template
A detailed form for documenting workplace accidents or incidents involving employees at Randolph College.
See template
See template
1098 T Tax Form Information
PDF template
Instructions for accessing 1098-T tax form for students through MyDelta portal and explanation of reporting changes for tax year 2018.
See template
See template
1098 T FAQ
PDF template
A comprehensive guide addressing common questions about the Form 1098-T Tuition Statement for tax reporting purposes.
See template
See template
Performance Review Guide
PDF template
A comprehensive guide outlining the process, responsibilities, and expectations for conducting annual employee performance reviews within an organization.
See template
See template
Scholarship Fund Benefit Auction Contribution Form
PDF template
A form for donors to submit item donations for a non-profit scholarship fund auction event.
See template
See template
Management And Expectations Survey
PDF template
A voluntary survey by the Office for National Statistics to understand how businesses operate and their performance drivers.
See template
See template
General Grant Application Form
PDF template
A comprehensive form for organizations to request grant funding from the Minnesota Association of Professional Employees.
See template
See template
Incident Reporting Policy
PDF template
Policy providing guidance for reporting and managing incidents involving potential harm or emergencies at Summit Pointe.
See template
See template
New Jersey Lawyers Fund For Client Protection Statement Of Claim
PDF template
A legal form for filing a claim against an attorney for financial misconduct or loss in New Jersey.
See template
See template
QMP 000x Signature Authority
PDF template
A document outlining management approval guidelines and dollar limitations for company commitments and expenditures.
See template
See template
Evaluating Outcomes Understanding Reports And Improvement
PDF template
A guide for Continuum of Care (CoC) organizations to improve data quality and performance reporting for discharge destinations.
See template
See template
Arkansas 911 Board Annual PSAP Report
PDF template
Mandatory annual reporting form for Arkansas cities and counties operating Public Safety Answering Points, requiring submission of budgetary and operational documentation.
See template
See template
EMPLOYEE PERFORMANCE REVIEW FORM NON EXEMPT HOURLY
PDF template
A comprehensive evaluation form for assessing an employee's job performance, skills, productivity, and potential areas of improvement.
See template
See template
Mississippi State Department Of Health WIC Program Vendor Handbook
PDF template
A comprehensive guide for vendors participating in the Women, Infants, and Children (WIC) nutrition program, detailing food purchasing requirements, transaction processing, and compliance guidelines.
See template
See template
Contracts Report 15,000
PDF template
Board of Education document approving contracts exceeding $15,000 for various district services and projects
See template
See template
DoD General Application Instructions
PDF template
Comprehensive instructions for applying to Congressionally Directed Medical Research Programs funding opportunities for extramural and intramural organizations.
See template
See template
MOTOR VEHICLE ACCIDENT REPORT FORM
PDF template
A comprehensive insurance form for documenting details of a motor vehicle accident in Mauritius.
See template
See template
ACCIDENT INCIDENT REPORT FORM
PDF template
A detailed form for documenting accidents, injuries, or incidents involving employees, members, or visitors at a facility.
See template
See template
ACCIDENT INCIDENT REPORT FORM
PDF template
A comprehensive form for documenting workplace accidents, injuries, or incidents involving employees, members, or visitors.
See template
See template
1.2 Purchasing Objectives And Responsibility
PDF template
Detailed guidelines outlining the objectives and responsibilities of the University Purchasing Department for procurement and vendor management.
See template
See template
Exotic CWD Susceptible Species Inventory
PDF template
A form for reporting inventory of exotic CWD susceptible animal species in Texas, required by state animal health regulations.
See template
See template
Lifeworks Services, Inc. Reimbursement Form
PDF template
A form for submitting reimbursement requests for approved expenses within a specified budget and timeframe.
See template
See template
3 11 Project Student Evaluation Form
PDF template
A comprehensive evaluation form for assessing student performance and project effectiveness across multiple dimensions of a class project.
See template
See template
Travel And Expense Guidelines For Staff And Volunteers
PDF template
Guidelines for managing travel, transportation, and expense reimbursement for Unitarian Universalist Association staff and volunteers.
See template
See template
Form 142 Ride Along Program Instructions
PDF template
Guidelines and rules for individuals participating in a law enforcement ride-along program with the Mendocino County Sheriff's Office.
See template
See template
145 South Wells Emergency Contact Form
PDF template
Form for listing emergency contact individuals for a building or office space in case of emergencies.
See template
See template
Hazard Report Form
PDF template
A form used to report near misses, hazards, or unsafe conditions at Rugby Baptist Church.
See template
See template
Aga Khan Foundation Job Opportunities
PDF template
Job opportunity for a short-term legal and regulatory review of SME Investment Fund in Kabul, Afghanistan, posted by Aga Khan Foundation.
See template
See template
Procedures In Case Of Accidents On Diocesan Property
PDF template
Detailed instructions for handling and reporting accidents that occur on diocesan property, including steps for immediate response and documentation.
See template
See template
Preliminary Funding Notification June 2004
PDF template
Funding allocation document for Ohlone Community College District's One-Stop Career Centers under the Workforce Investment Act (WIA) program for Program Year 2003-2005.
See template
See template
Notice Inviting Tender For Selection Of Vendor For Milan Mela Project
PDF template
Tender for transaction management, design, planning, and construction management of Milan Mela renovation project in Kolkata.
See template
See template
Annual Report Reminder
PDF template
Guidance for employers filing the annual earnings report for the Teachers' Retirement System in Illinois, including filing deadline and requirements.
See template
See template
Transferring Budget Authority Of A Project Based Section 8 Housing Assistance Payments Contract
PDF template
Official HUD notice providing guidance on transferring budget authority for project-based Section 8 housing assistance payments contracts.
See template
See template
Addendum No. 2
PDF template
Project addendum providing clarifications and instructions for demolition project bidding in Evansville.
See template
See template
ADA Compliance Form Contractor
PDF template
Contractor certification of compliance with ADA accessibility guidelines for a specific project.
See template
See template
Guidelines On Management And Use Of Grants Of Research Projects Funded By External Funding Bodies Ot
PDF template
A comprehensive guide for managing research project grants from external funding sources, covering project management, employment, purchasing, and reporting procedures.
See template
See template
PHS Assignment Request Form
PDF template
A form for suggesting awarding component and study section assignments for NIH grant applications.
See template
See template
Youth Enterprise Revolving Fund Order Finance Loan Application Form
PDF template
A confidential loan application form for youth enterprises seeking order finance through the Youth Enterprise Revolving Fund
See template
See template
2021 Open Call Project Implementation Guide
PDF template
A comprehensive guide detailing project implementation timelines, requirements, and submission procedures for selected institutions participating in a 2021 open call project.
See template
See template
Frankfort Parks Incident Report Form
PDF template
A form for reporting incidents that occur in Frankfort parks to help improve park experiences and safety.
See template
See template
Exceptional MDI Submission Form
PDF template
An internal form for employees to document and report minor defect improvements (MDIs) with potential safety and cost-saving implications.
See template
See template
ISA Grant Application Form For National Associations Activities
PDF template
Application form for sociology national associations to request grants for website development or regional conferences from the International Sociological Association (ISA).
See template
See template
Addendum 2 Wesselman Park Playground Site Work
PDF template
Official document providing changes, clarifications, and additional information for a playground site work project bid process.
See template
See template
Cooke County 4 H 16 17 Project Record Form
PDF template
A comprehensive form for 4-H members to document their project activities, learnings, and reflections for the year.
See template
See template
RFP 24 10 04 Curriculum Catalog Management System
PDF template
Request for Proposal for an integrated academic catalog and curriculum management tool with development, implementation, research, analysis, and support services.
See template
See template
Form 8 K
PDF template
Securities and Exchange Commission filing by Lyft, Inc. reporting current business events and financial status.
See template
See template
Verde Energy USA, Inc Notification Of Ultimate Parent Merger
PDF template
Official notification to Pennsylvania Public Utility Commission about ownership changes in Verde Energy USA, Inc. and Via Renewables.
See template
See template
Risk Assessment Form Models Inventions
PDF template
A comprehensive form for students to identify and manage potential risks in scientific or experimental projects.
See template
See template
The Quintet Community Welcome Guide
PDF template
Welcome document providing new residents with essential information about The Quintet community, staff, and moving procedures.
See template
See template
Grant Application Form For Project Objectives And Performance Measures Information
PDF template
A form for submitting project objectives and performance measures for grant applications to the U.S. Department of Education.
See template
See template
Adult Protection Policy
PDF template
A form for documenting details of an accident, including information about the injured person and the incident circumstances.
See template
See template
Hazard Report Form
PDF template
A standardized form for employees to report potential safety hazards in the workplace to their supervisors.
See template
See template
VEHICLE REGISTRATION FORM
PDF template
A form for reporting vehicle registration details to K&K Insurance for multiple vehicles across multiple states.
See template
See template
ANR Incident Report
PDF template
A comprehensive form to document vehicle accidents, theft, property damage, loss, and injuries involving ANR volunteers, 4-H members, and program participants.
See template
See template
1 9 Procedure For Items Damaged By The Courier
PDF template
A detailed procedure for documenting and reporting materials damaged during transit by courier services for MOBIUS library consortium members.
See template
See template
Recommended Project Timeline For Completion
PDF template
A semester-by-semester guide for graduate students outlining key milestones and deadlines for project completion in an Environmental Studies program.
See template
See template
PROPOSAL FORMAT FOR REQUEST OF AFS RESEARCH FUNDS SPONSORING TECHNICAL COMMITTEEDIVISION FORM
PDF template
A structured form for requesting research funds from the American Foundry Society (AFS), outlining project details and research objectives.
See template
See template
Adult Sponsor Checklist (1)
PDF template
A comprehensive checklist for adult sponsors to review and approve student science fair project requirements and documentation.
See template
See template
CIDS 698 101 Research Project Course Instructions
PDF template
Instructions for master's degree candidates conducting a research project in the Humanitarian & Development field, involving either a grant proposal or research publication.
See template
See template
Workers Compensation Payroll Audit
PDF template
Annual form for reporting employee payroll details for workers' compensation insurance purposes across different job classifications.
See template
See template
FCGP Guidelines (2020 21)
PDF template
Guidelines for organizations seeking funding through the Francophone Community Grants Program's Community and Culture Stream for the 2024-25 fiscal year.
See template
See template
Form 8 K Current Report
PDF template
Securities and Exchange Commission current report detailing a significant corporate event for 1st Franklin Financial Corporation
See template
See template
Purchase Form For Easton Episcopal Fund
PDF template
A form for investors to purchase and invest money in the Easton Episcopal Fund by submitting personal and financial details.
See template
See template
Suggested ThesisProject Proposal Form
PDF template
A form for doctoral candidates to submit their proposed thesis or project topic for review and approval by a council's Doctoral Review Team.
See template
See template
Tender For Procurement Of Adobe Acrobat Pro DC And Adobe Creative Cloud
PDF template
Tender document by Bank of Baroda for purchasing Adobe Acrobat Pro DC and Adobe Creative Cloud licenses for their Information Technology Department.
See template
See template
LaCLA Volunteer 1 Time Project Form
PDF template
A form used to document and confirm a volunteer's participation in a specific project or program.
See template
See template
William Rainey Harper College Regular Board Meeting Agenda
PDF template
Agenda for a regular board meeting of William Rainey Harper College detailing meeting proceedings and items for approval and information
See template
See template
2001 Service Annual Survey
PDF template
Official U.S. Census Bureau survey document for collecting business service activity data for statistical purposes.
See template
See template
2001 Service Annual Survey
PDF template
Official U.S. Census Bureau survey for collecting business service activity data for statistical purposes.
See template
See template
Website Checklist
PDF template
A comprehensive checklist for dental marketing website project assets and preparation steps for new website development.
See template
See template
City Of New Orleans Spending Freeze Purchase Form
PDF template
A form for documenting and obtaining approval for non-emergency purchases during a city spending freeze.
See template
See template
WSU Faculty Computer Purchase Exemption Petition
PDF template
Process for Wright State University faculty to request computer equipment that differs from standard university recommendations.
See template
See template
Shutesbury Capital Planning Committee Meeting Minutes
PDF template
Meeting minutes documenting discussions of capital budget requests, improvement plans, and committee proceedings.
See template
See template
2010 2011 Selected Accomplishments
PDF template
Annual report highlighting curriculum developments, online learning expansion, and accreditation compliance for Palm Beach State College.
See template
See template
CII Guidelines Working Meeting Feedback Form
PDF template
A form for submitting concerns and recommendations to the CII Team for public review and potential response.
See template
See template
Project Cancellation Form
PDF template
A comprehensive form for formally documenting and approving the cancellation of a project, requiring input from the project manager and director.
See template
See template
Ongoing Project Form
PDF template
A comprehensive form for documenting and tracking ongoing research or development projects at the United Nations University.
See template
See template
Federal Register Notice
PDF template
Federal notice providing communication methods for pipeline safety reporting and docket submissions.
See template
See template
Ongoing Project Form
PDF template
A comprehensive form for documenting ongoing projects, detailing project summary, contributions, objectives, and other key aspects.
See template
See template
2013 2014 Social Venture Accelerator Program Application Overview
PDF template
A 10-month program supporting social entrepreneurs with resources, networking, and hands-on support to achieve financial sustainability and social impact.
See template
See template
North Dakota Legislative Council Legislative Fiscal Internship Program
PDF template
A program for students to gain experience in legislative fiscal and budgetary tasks under the guidance of the Legislative Budget Analyst and Auditor.
See template
See template
School Capital Request Form (PA 097 0474 Requirement)
PDF template
Web-based form for self-assessment and capital request to comply with Public Act 097-0474 requirements for school facilities.
See template
See template
Notice Of Funds Availability (NOFA) For Native American CDFI Assistance Program FY 2015 Funding Roun
PDF template
Federal funding opportunity for Community Development Financial Institutions serving Native American populations, offering financial and technical assistance grants.
See template
See template
Project Proposal Form
PDF template
A comprehensive form for tribal water utility projects seeking funding, requiring detailed utility and project information.
See template
See template
Playland Management Agreement Summary Of Key Terms
PDF template
A comprehensive management agreement outlining terms for the operation, maintenance, and improvement of Playland Park by a management entity.
See template
See template
NJPTA Audit Packet 2015 2016 Fiscal Year
PDF template
A comprehensive financial audit document for New Jersey PTA local units to review and document their fiscal year financial activities.
See template
See template
Bonita Canyon School Guidelines
PDF template
Comprehensive guidelines for students, parents, and staff covering communication, campus supervision, health, and attendance policies.
See template
See template
Quaker Grantmakers Common Grant Application Form
PDF template
A standardized grant application form for organizations seeking funding from Quaker-affiliated granting organizations.
See template
See template
Board Of County Commissioners Board Meeting
PDF template
Official meeting minutes documenting county commission agenda items, including project approvals and proclamations.
See template
See template
TCEQ 20168 Annual Report Form For Concentrated Animal Feeding Operations
PDF template
Annual reporting form for concentrated animal feeding operations in Texas, documenting animal inventory, manure production, and nutrient management.
See template
See template
Los Angeles County Science Fair Screening Check Off Sheet
PDF template
Guidelines for acceptable and prohibited materials and equipment for the Los Angeles County Science Fair project submissions.
See template
See template
Submission Guide For Architects, 2016 Edition
PDF template
A comprehensive manual outlining construction procedures, documentation, and requirements for architects working with the Pennsylvania Housing Finance Agency.
See template
See template
Near Miss Incident Hazard Report Form
PDF template
A form for reporting workplace safety near misses, incidents, or potential hazards in a transportation or infrastructure setting.
See template
See template
Independent Researcher Agreement Application
PDF template
Application form for external researchers seeking to participate in research projects at CUNY universities
See template
See template
Annual Report To The California Children And Families Commission
PDF template
Annual financial and program report for Kern County's Children and Families Commission covering fiscal year 2017-2018
See template
See template
Inspection And Maintenance Agreement For Stormwater Management Controls
PDF template
Legal agreement between a property owner and Fayette County regarding construction and maintenance of stormwater management facilities.
See template
See template
FSH SOCIETY, INC. RESEARCH AND POSTDOCTORAL FELLOWSHIP APPLICATION
PDF template
Application form for research and postdoctoral fellowship funding from the FSH Society, Inc.
See template
See template
IZAAK WALTON LEAGUE OF AMERICA ENDOWMENT GRANTLOAN APPLICATION
PDF template
A comprehensive form for applying for grants or loans through the Izaak Walton League of America Endowment program.
See template
See template
Annual IOLTA Compliance Report
PDF template
Annual reporting form for attorneys in Maryland to verify compliance with IOLTA account regulations and trust fund management.
See template
See template
Gateway Greening Volunteer Form
PDF template
Comprehensive form for individuals interested in volunteering with Gateway Greening, collecting personal and background information.
See template
See template
SRSU Risk Management Program Risk Assessment Form
PDF template
A comprehensive form for documenting, analyzing, and managing organizational risks across various dimensions.
See template
See template
GRADUATE FELLOWSHIP APPLICATION FORM
PDF template
Application form for graduate students seeking fellowship stipend awards at the University of Nebraska
See template
See template
Request For Project Approval Form
PDF template
A form for schools to submit details of a proposed No Place for Hate project to demonstrate alignment with program guidelines.
See template
See template
UCF Financials Next Generation Fit Gap Meeting Summary
PDF template
Meeting summary documenting decisions for UCF Financials Next Generation project, specifically for Grants Suite Contracts module configuration
See template
See template
2018 Award Nomination Form
PDF template
Nomination form for various awards recognizing achievements in journalism, advocacy, and youth support.
See template
See template
Incident Report Form
PDF template
A comprehensive form for documenting workplace or organizational incidents, detailing type, location, persons involved, and extent of injury.
See template
See template
Outside (Non Central) Scholarship Form
PDF template
Form for students to report anticipated outside scholarships to Central College's Financial Aid Office for proper account application.
See template
See template
Donation Procurement Form
PDF template
A form for collecting item donations for a charity auction event by a 501(c)(3) non-profit organization.
See template
See template
Regional Conservation Partnership Program Announcement
PDF template
Announcement for the USDA's Regional Conservation Partnership Program funding opportunity for Fiscal Year 2018.
See template
See template
2018 Auction Donation Form
PDF template
A donation form for an auction fundraiser by a non-profit organization, collecting details about donated items.
See template
See template
2019 Art Installation Form
PDF template
A comprehensive form for artists submitting art installations to the Burning Man event, requiring detailed project information and safety guidelines.
See template
See template
2019 Award Nomination Form
PDF template
A form for submitting nominee and nominator information for an award application with supporting documentation.
See template
See template
Washington County Local Share Account Application Information
PDF template
Application process for economic development grants funded by gaming revenues in Washington County, Pennsylvania
See template
See template
2019 Mid Yearl Performance Appraisal Instructions
PDF template
Comprehensive instructions for conducting annual employee performance reviews for ONE employees with detailed guidance on form completion and process.
See template
See template
Fee Invoice For NAFCC Accreditation
PDF template
Form for family child care programs to request funding and processing for NAFCC accreditation through Maine Roads to Quality Professional Development Network.
See template
See template
2019 Neighborhood Safety Program Project Idea
PDF template
A form for community members to propose local safety improvement projects in their neighborhood.
See template
See template
Phase II (Small) MS4 Annual Report Form
PDF template
Annual reporting document for a small municipal separate storm sewer system documenting compliance with Texas stormwater permit requirements.
See template
See template
Family Service Kent Volunteer Application
PDF template
Application form for individuals interested in volunteering at Family Service Kent, requiring personal information and criminal background check.
See template
See template
CRCOG Complete Streets Compliance Form
PDF template
A form for municipalities to document compliance or exceptions to Complete Streets design principles when seeking project funding.
See template
See template
Sponsored Research Activities And Procedures
PDF template
A document outlining key activities, forms, and procedures for managing sponsored research projects and grants.
See template
See template
Bar Association Guide How To Create A Well Being Committee Feedback Form Template
PDF template
A feedback form designed for gathering insights and suggestions about a bar association's well-being committee project management process.
See template
See template
ChurchOrganization Loan Application Form
PDF template
A loan application form for churches seeking financial assistance from the Baptist Missionary Association of Mississippi's Revolving Loan Fund Department.
See template
See template
FY 2020 2021 Alamance County Outside Agency Funding Application
PDF template
Application for non-profit agencies seeking financial assistance from Alamance County for community programs and resources.
See template
See template
Outside Private Scholarship Guide
PDF template
A form for students to report outside private scholarships received or expected to receive for financial aid processing
See template
See template
Canada Germany Digital Media Incentive Guidelines
PDF template
A joint funding program between Canada Media Fund and Medienboard Berlin-Brandenburg to support co-development and co-production of digital media projects.
See template
See template
2020 COMMUNITY GRANT Application Form And Project Summary
PDF template
A grant opportunity for non-profit community groups in San Diego County to fund projects that enhance community awareness of landscape architecture and provide community benefits.
See template
See template
Ball Field Rental Procedures
PDF template
Comprehensive procedures and guidelines for renting ball fields from the Champaign Park District, including rental terms, contact information, and field usage rules.
See template
See template
Final Report Form COVID 19 2020 21 Grant
PDF template
A reporting form for food shelf organizations to document how grant funds were spent during the pandemic period.
See template
See template
Community Foundation Of Northwest Florida Grant Application Form
PDF template
A comprehensive grant application form for nonprofit organizations seeking funding from the Community Foundation of Northwest Florida for disaster relief and community programs.
See template
See template
2020 GROWvember Fall Plant Sale RegistrationAgreement Form
PDF template
Registration form for vendors participating in Mead Botanical Garden's Fall Plant Sale, including liability release and payment details.
See template
See template
VOSHA Review Board Special Meeting Minutes
PDF template
Minutes of a special meeting of the Vermont Occupational Safety and Health Review Board discussing budget, docket review, and procedural rules.
See template
See template
Form 990 Return Of Organization Exempt From Income Tax
PDF template
Official tax return for tax-exempt organizations reporting annual financial information to the Internal Revenue Service.
See template
See template
UABHSF Office Of Risk Management User Guide
PDF template
A comprehensive guide detailing the practices, procedures, and guidelines for the UAB Office of Risk Management and Insurance.
See template
See template
VOSHA Review Board Special Meeting Minutes
PDF template
Special meeting minutes documenting Review Board proceedings, budget discussions, and docket reviews.
See template
See template
Incident Report
PDF template
A form used to document workplace incidents, accidents, illnesses, or exposures for the University of New Mexico-Taos.
See template
See template
Equipment Inventory
PDF template
A form for documenting equipment purchased with federal grant funds that have a current fair market value of $5,000 or more.
See template
See template
Project Form Example
PDF template
A comprehensive project management form covering key stages from background to follow-up and impact assessment.
See template
See template
Annual Survey Of Children In Local Institutions For Neglected Or Delinquent Children
PDF template
A comprehensive survey form for collecting data about institutional care for neglected or delinquent children, documenting institutional details and caseload information.
See template
See template
REGINA PRIDE INC MEMBERSHIP FORM
PDF template
Membership form for joining Regina Pride Inc, detailing member benefits and registration process for the 2021-2022 festival year.
See template
See template
Request For Project Approval Form
PDF template
A form for schools to submit and detail a No Place for Hate project for approval and documentation.
See template
See template
VOCA Notice Of Funding Opportunity Questions Answers
PDF template
Document providing clarification on funding distribution, regional allocations, and data sources for crime victim support grants in Missouri.
See template
See template
Inquiry Form For NSF Project Proposal Submission
PDF template
A form to help researchers determine the appropriate type of proposal for submitting a project to the National Science Foundation.
See template
See template
2021 Grant Application
PDF template
A grant application for community betterment projects in Dickinson County, offering funding for non-profit organizations and government units.
See template
See template
HEERF I, II, III Annual Data Collection Form
PDF template
Comments from NASFAA and NACUBO regarding the U.S. Department of Education's proposed data collection form for HEERF grants
See template
See template
VHFA Form 805A Instructions To The Operating Budget Projection
PDF template
Comprehensive guide for completing the Vermont Housing Finance Agency's operating budget projection form for rental housing properties.
See template
See template
Change Order Request
PDF template
A form for requesting design changes or field adjustments in a development project related to water and sanitation infrastructure.
See template
See template
LHA Trust Funds Grant Application Form
PDF template
Grant application form for LHA Trust Funds members seeking funding for healthcare-related projects, with a maximum award of $25,000.
See template
See template
FNA Grant Application Form
PDF template
A grant application form for community projects and programs in the Fulton neighborhood, offering funding between $500-$2,500.
See template
See template
Hunger And Homeless Grant Application Form
PDF template
A grant application form for non-profit organizations seeking funding to support programs addressing hunger and homelessness
See template
See template
Child Safety Toolkit
PDF template
A comprehensive guide to preventing child abuse and exploitation within organizations serving youth, developed in collaboration with Praesidium, Inc.
See template
See template
OMB Education Foundation Donation Form
PDF template
Documentation for a non-profit fundraising event supporting construction trade education through scholarships and school programs.
See template
See template
Submittal Of Annual Reports And Other Compliance Documents For Municipal Separate Storm Sewer System
PDF template
A comprehensive form for submitting annual compliance documents for Municipal Separate Storm Sewer System (MS4) permit requirements.
See template
See template
State Conference Grant Application Form
PDF template
A grant application form for AAUP state conferences to request funding for special campaigns and projects.
See template
See template
Memorandum Of Agreement PFC Child Care Subsidy
PDF template
An agreement between Partnership for Children of Cumberland County and an Early Care & Education Facility for child care subsidies during fiscal year 2020/2021.
See template
See template
Honors Program Final ThesisCapstone Approval Form
PDF template
A form for students to obtain final approval for their Honors Program thesis or capstone project before graduation and printing.
See template
See template
Form CT 12 For Oregon Charities
PDF template
Annual reporting form for charitable organizations operating in Oregon, requiring financial and organizational details for regulatory compliance.
See template
See template
Cheyenne Frontier Days Old West Museum Proxy Purchase Policy And Application
PDF template
Policy for purchasing artwork remotely through a proxy system at the Cheyenne Frontier Days Western Art Show and Sale
See template
See template
Safety Inspection Form
PDF template
A standardized form for conducting safety inspections with spaces to document inspection details, findings, and follow-up actions.
See template
See template
Susquehanna Conference Incident Investigation Report
PDF template
A comprehensive form for documenting workplace incidents, injuries, and investigation details within the Susquehanna Conference organization.
See template
See template
Food Charges On The Procurement Card
PDF template
Guidelines for purchasing food using a procurement card with specific restrictions and requirements for business-related food expenses.
See template
See template
NYSCA FY2023 Capital Projects Completing Your Long Form Budget
PDF template
Guidelines and instructions for completing budget forms for New York State Council on the Arts capital project grants in fiscal year 2023.
See template
See template
Stevenson Wydler Gift (SWG) Program Request And Agreement Form
PDF template
A form for educational institutions and non-profit organizations to request excess or surplus government research equipment from Sandia National Laboratories.
See template
See template
KEY CONTACT INFORMATION QUESTIONNAIRE
PDF template
A comprehensive form for collecting key contact details for various risk management roles within an agency
See template
See template
FY 2022 2023 Alamance County Outside Agency Funding Application
PDF template
A funding application for non-profit agencies seeking financial assistance from Alamance County for programs or resources not directly offered by the county.
See template
See template
Harold And Edna Bragg Healthcare Education Scholarship Application
PDF template
Scholarship application for healthcare education students in the Lake Chelan Valley, administered by the Lake Chelan Health & Wellness Foundation.
See template
See template
2022 Community Facilities Application
PDF template
Application for community development block grant funding for local facilities and services, including required forms and assurances.
See template
See template
Form AS 4.4.1 Budget Form
PDF template
A budget form documenting expenses for a social work academic program across three fiscal years.
See template
See template
John T. Gorman Fellowship Application Instructions
PDF template
Detailed instructions for applying to the John T. Gorman Fellowship program for nonprofit organizations.
See template
See template
Auction Procurement Form
PDF template
A form for collecting donor and auction item information for a non-profit auction fundraising event.
See template
See template
International Rules Guidelines For Science And Engineering Fairs 20212022
PDF template
Official checklist for adult sponsors to review and validate student research projects for science and engineering fairs.
See template
See template
2022 Budget Summary
PDF template
A comprehensive overview of proposed budget expenditures and tax rates for various county funds for the fiscal year 2022.
See template
See template
Volunteer Application Form
PDF template
A comprehensive form for individuals interested in volunteering, collecting personal information, motivations, and background details.
See template
See template
2022 Annual Business Survey
PDF template
Official survey form from the U.S. Census Bureau collecting business information for annual statistical reporting.
See template
See template
Hunger And Homeless Grant Application Form
PDF template
A grant application form for organizations seeking funding to support programs addressing hunger and homelessness.
See template
See template
2022 CEDS UPDATE Solicitation BBNA Economic Development Program Project Form
PDF template
A comprehensive form for documenting economic development project details, including project steps, partners, costs, and evaluation measures.
See template
See template
IMPACT GRANT APPLICATION FORM
PDF template
A comprehensive form for submitting grant proposals at Ridge Meadows Hospital with detailed sections for applicant information, project summary, and departmental approvals.
See template
See template
House Bill No. 5288
PDF template
Legislative act establishing a task force to examine and potentially modify the motor vehicle accident report form used by law enforcement officers.
See template
See template
2023 2024 LOW INCOME FAMILY BUDGET FORM
PDF template
A form for students to provide detailed household income and expense information to support financial aid eligibility assessment.
See template
See template
Cooke County 4 H 2023 24 Project Record Form
PDF template
A comprehensive form for 4-H members to document their project experiences, learning goals, activities, and reflections for the 2023-24 year
See template
See template
Liberty Charter High School Athletic Handbook
PDF template
A comprehensive guide for coaches, student-athletes, and parents covering athletic policies, conduct, and procedures for the school's athletic program.
See template
See template
School District Budget Resolution
PDF template
Official budget document for a school district in Illinois, detailing fiscal year financial planning and resolution.
See template
See template
School Support Organization Annual Registration Packet
PDF template
Annual registration and compliance guidelines for school support organizations operating in Oak Ridge Schools district for the 2023-2024 school year.
See template
See template
USI Vehicle Accident Reporting Form
PDF template
A comprehensive form for documenting details of a vehicle accident involving USI employees or vehicles.
See template
See template
United Way Of Ulster County Community Impact Fund Application 2023 2025
PDF template
Grant application for local non-profit organizations seeking funding to support human service programs in Ulster County, New York.
See template
See template
2023 ARTS, CULTURE AND TOURISM GRANT APPLICATION
PDF template
Grant application form for local non-profit organizations seeking funding for arts, culture, and tourism initiatives in the Town of New Tecumseth.
See template
See template
Business After Hours Guidelines, Hosting Agreement, And Policies
PDF template
Comprehensive guidelines for hosting networking events for Greater Williamsburg Chamber member businesses, detailing hosting requirements and chamber responsibilities.
See template
See template
Classroom Grants Program 2023 Guidelines And Helpful Hints
PDF template
Guidelines for educators applying to the Snohomish Education Foundation's classroom grant program, providing funding for innovative educational projects.
See template
See template
FY 2024 25 Corrections
PDF template
Fiscal analysis of the Michigan Department of Corrections budget for fiscal year 2024-25, detailing appropriations and funding sources.
See template
See template
FY 2024 25 CORRECTIONS Summary As Passed By The House
PDF template
Budget summary document for Michigan Department of Corrections fiscal year 2024-25, detailing appropriations and budget allocations.
See template
See template
Fuels Use Report
PDF template
Tax form for reporting fuel usage and claiming potential tax refunds for specific business activities and nontaxable fuel uses in Idaho.
See template
See template
Accident Report Form
PDF template
Comprehensive form documenting details of an accident or injury occurring on campus, including personal information, accident circumstances, and witness statements.
See template
See template
2023 Legislative Session Member Requested Local Community Project Information Online Form
PDF template
An online form for requesting legislative funding for local community projects in Washington State, to be considered for capital budget appropriation.
See template
See template
Youth Advocacy Fund Diocesan Scholarship Request
PDF template
Application for financial assistance for teens attending the National Catholic Youth Conference in 2023
See template
See template
PY2023 Public Service Application Detailed Budget
PDF template
A comprehensive budget application form for the Community Development Block Grant (CDBG) program, detailing personnel, travel, operating costs, and funding sources.
See template
See template
20232024 School Year Budget Form
PDF template
A comprehensive budget form for students to document their anticipated income, funding sources, living costs, and program expenses for the upcoming school year.
See template
See template
Royal Commission For The Exhibition Of 1851 Research Fellowships In Science Or Engineering
PDF template
Guidelines for early career scientists and engineers seeking research funding for exceptional research projects in physical and biological sciences, mathematics, applied science, or engineering.
See template
See template
Resiliency Loan Fund Application
PDF template
A loan application for small businesses and nonprofits impacted by COVID-19, offering up to $150,000 at 0% interest.
See template
See template
The Bronx Community Foundation Grant Application Form
PDF template
A grant application form for nonprofits and community-based organizations serving the Bronx community, offering grants up to $25,000.
See template
See template
Form CT 12 For Oregon Charities
PDF template
Annual report form for charitable organizations operating in Oregon, collected by the Oregon Department of Justice to track charitable activities and compliance.
See template
See template
Instructions For Preparing A Proposal Of Strategic Basic Research Programs ACT X
PDF template
Guidelines for submitting research proposals for Strategic Basic Research Programs in fiscal year 2023, with detailed submission instructions and requirements.
See template
See template
CVSO CG 2024 (Cycle I) Q A Addendum
PDF template
Application guide and instructions for Minnesota County Veterans Service Offices seeking grant funding for veteran programs and services in fiscal year 2024.
See template
See template
Madison Ballet Rental Handbook
PDF template
A comprehensive handbook detailing rental policies, expectations, and guidelines for using Madison Ballet's Odana Road Studios.
See template
See template
2024 2025 Budget Request Instructions
PDF template
Comprehensive budget request form for student clubs outlining club information, event planning, and funding requirements.
See template
See template
Grant Application For Educational And Nonprofit Charitable Organizations
PDF template
A grant application process for educational and nonprofit charitable organizations in the Greater Fresno Area, offering funding between $1,000-$10,000 for community impact projects.
See template
See template
2024 2025 Private Scholarship Confirmation Form
PDF template
Form for students to document external scholarships and grants received for the 2024-2025 academic year at Wisconsin Lutheran College.
See template
See template
2024 25 Small Grants Fund (SGF) Application Form
PDF template
Grant application for community development initiatives addressing poverty-related issues in the Chalmers neighbourhood, offering up to $2,500 in funding.
See template
See template
Statement Regarding A Valid Lost Or Stolen U.S. Passport Book AndOr Card
PDF template
Department of State notice requesting public comments on a form for reporting lost or stolen U.S. passport books and cards.
See template
See template
2024 25 Outside Agency Scholarship Form
PDF template
A form for University of Montevallo students to report and document outside scholarship awards and sources
See template
See template
ASRS Affiliate Meeting Approval Form
PDF template
Form for requesting approval to hold meetings in conjunction with the ASRS 42nd Annual Meeting, with guidelines for affiliate events.
See template
See template
2024 Clean Air Grants Marine Diesel Engine Repower Program
PDF template
Grant program for replacing old, high-polluting marine diesel engines with cleaner equipment to improve public health and reduce emissions.
See template
See template
Preliminary Accident Report
PDF template
A comprehensive form documenting details of a vehicle accident, including driver, vehicle, and third-party information for insurance and risk management purposes.
See template
See template
2025 2026 Affiliated Fellowships Doctoral Competition Applicants In Social Sciences And Humanities
PDF template
Application form for doctoral students in social sciences and humanities at the University of British Columbia seeking fellowship funding for the 2025-2026 academic year.
See template
See template
2024 Arizona EL Teacher Of The Year Nomination Form
PDF template
Nomination form for recognizing outstanding English Language teachers in Arizona for the 2024 award year.
See template
See template
2024 Calendar Of Due Dates For All Canonically Required Reports
PDF template
Annual calendar outlining due dates for various parish-related reports and forms for the Episcopal Diocese of East Carolina in 2024.
See template
See template
2024 Local Development Grant Application Form
PDF template
A grant application form for local development funding, focused on addressing poverty through institutional change.
See template
See template
Community Health Improvement Award 2024 Submission Form
PDF template
A submission form for healthcare organizations to apply for an award recognizing outstanding community health improvement initiatives in New York State.
See template
See template
Application For 2024 Allocations
PDF template
Funding application for local programs addressing education, financial stability, and health needs in West Central Texas.
See template
See template
Online Charge Conference Forms Local Church Leadership Instructions
PDF template
Instructions for submitting online charge conference forms for United Methodist Churches using a web-based reporting system.
See template
See template
Forests Forever Event Facility Rental Agreement
PDF template
Rental agreement for event space at Everett Hall and Hopkins Demonstration Forest managed by Forests Forever, Inc.
See template
See template
2024 State Facilities Training Schedule
PDF template
Comprehensive training schedule for facilities investigation and reporting in state healthcare facilities for 2024.
See template
See template
FIDA Application Form
PDF template
Application form for submitting project proposals to the Fund for the International Development of Archives (FIDA), an initiative of the International Council on Archives (ICA).
See template
See template
Ball Field Rental Procedures
PDF template
Comprehensive procedures and guidelines for renting ball fields from the Champaign Park District, covering rental terms, liability, and usage requirements.
See template
See template
Casco Bay Estuary Partnership Community Grant Application Form
PDF template
A comprehensive grant application form for community projects related to the Casco Bay region's environmental initiatives
See template
See template
Grant Application Form
PDF template
A comprehensive grant application form for nonprofit organizations seeking funding from the St. Dunstan's Foundation to support community-based projects aligned with their mission.
See template
See template
Grant Inquiry Form
PDF template
Preliminary form for organizations seeking grant funding from York County Community Foundation in 2024.
See template
See template
2024 Grant Request Application Up To 5,000
PDF template
A grant application form for educational funding up to $5,000 from the Burbank Arts & Education Foundation for Burbank Unified School District educators.
See template
See template
Faculty Led Incident Report Form
PDF template
A form for faculty and staff to document and report incidents involving students at Cal Poly Pomona.
See template
See template
2024 PROCUREMENT FORM
PDF template
Form for collecting donor and item information for donations to Native Action Network, a non-profit organization supporting Native women's leadership.
See template
See template
NARI Awards Program Rules
PDF template
Official guidelines and eligibility rules for the National Association of the Remodeling Industry (NARI) Contractor of the Year Awards competition.
See template
See template
NETBACK EXPENSE REPORT FORM (NERF)
PDF template
A detailed form for reporting oil and gas product sales, expenses, and pricing for the 2024 assessment year.
See template
See template
American Accounting Association Travel And Business Expense Report Form 2024
PDF template
A comprehensive form for reporting and requesting reimbursement of business travel expenses for non-employees.
See template
See template
North Fort Bend Water Authority PumpageSurface Water And Billing Form
PDF template
A form for reporting water usage, pumpage, and surface water consumption for billing purposes by water owners or recipients.
See template
See template
2024 Grand Rapids Foodie Fest Non Profit Vendor Agreement
PDF template
A vendor agreement for non-profit vendors participating in the 2024 Grand Rapids Foodie Fest food event detailing space rental and payment terms.
See template
See template
North Pacific Coast Lead Entity (WRIA 20) Salmon Recovery Funding Board 2024 Grant Round Application
PDF template
Application packet for salmon habitat restoration projects in the North Pacific Coast region, covering funding opportunities through Salmon Recovery Funding Board and Climate Commitment Act riparian projects.
See template
See template
Lower Allen Township Community Park Pavilion Rental Rules And Regulations
PDF template
Official rules and regulations for renting a community park pavilion, including policies on event attendance, alcohol, and cleanup requirements.
See template
See template
ND Assistive Possibilities Grant Application
PDF template
A comprehensive grant application for individuals seeking funding for assistive technology devices and services for medical conditions or disabilities.
See template
See template
Purchase Order Request
PDF template
A form for requesting and processing vendor purchases for various school departments and locations.
See template
See template
2024 Rotarian Foundation Of Livermore Community Grant Application
PDF template
A grant application form for local nonprofit organizations seeking funding from the Rotarian Foundation of Livermore for community projects.
See template
See template
Shipping Form For New York State Fair Entries
PDF template
Shipping guidelines and form for submitting entries to the Wegmans Art & Home Center at the New York State Fair.
See template
See template
2024 Title IX Formal Complaint Form
PDF template
Formal document for reporting Title IX incidents at Mars Hill University, capturing details about complainant, respondent, and incident specifics.
See template
See template
Subcontractor Risk Assessment Form
PDF template
A form to evaluate the risk level of subcontractors based on their performance and responsiveness
See template
See template
UMF Development Fund Loan Application
PDF template
Comprehensive loan application for religious institutions seeking funding through the UMF Development Fund, requiring detailed institutional information and financial history.
See template
See template
FY2024 Instructions For Preparing A Proposal Of Strategic Basic Research Programs ACT X
PDF template
Guidelines for submitting research proposals for the FY2024 Strategic Basic Research Programs, providing detailed submission requirements and instructions.
See template
See template
2025 Membership Form
PDF template
Membership form for the Columbia Basin Development League with various membership levels and business categories.
See template
See template
State Of Kansas City 2025 Budget Summary
PDF template
Detailed budget document outlining proposed expenditures and tax rates for various city funds in the 2025 fiscal year.
See template
See template
ProCore Access And Project Request Instructions
PDF template
Step-by-step instructions for accessing ProCore and submitting project requests for the 2025 General Obligation Bond Program.
See template
See template
2024 Poulsbo Tourism Grant Awardee Process
PDF template
Guidelines for tourism grant awardees in the City of Poulsbo, detailing reporting requirements and reimbursement process for lodging tax grants.
See template
See template
2025 Project Support Project Information Form
PDF template
Form for eligible 2024 grant recipients to apply for continued project support in 2025 through Cuyahoga Arts & Culture.
See template
See template
KEDDO FY 2025 REAP Schedule
PDF template
Annual schedule for the Kenton Economic Development District Organization's Rural Economic Assistance Program (REAP) application and funding process.
See template
See template
2025 Application Form SPARobert Lemelson Foundation Student Fellowship
PDF template
Fellowship application form for graduate students seeking funding for research projects from the Robert Lemelson Foundation.
See template
See template
WHF Solventum Fellowship Application Form
PDF template
A comprehensive application form for research fellowship funding from WHF Solventum, requiring detailed academic and research background information.
See template
See template
2045 LRTP Candidate Project Form
PDF template
A comprehensive form for submitting and documenting potential transportation infrastructure projects for long-range transportation planning.
See template
See template
Ottawa Internationals Soccer Club Incident And Accident Report Form
PDF template
A form for documenting incidents and accidents during soccer activities, to be submitted within 24 hours of occurrence.
See template
See template
Alabama First Class Pre K Program Appendix F DECE Incident Report Form
PDF template
A standardized form for reporting serious accidents, injuries, medical situations, or behavior incidents in the Alabama First Class Pre-K Program.
See template
See template
OffenseIncident Report Form Instructions
PDF template
Official instructions for completing police department offense and incident report forms, covering writing style, case numbering, and date/time reporting requirements.
See template
See template
2 1 1 TN Agency Survey Form
PDF template
A comprehensive survey form for legal agencies to provide detailed information about their organizational status, services, contact details, and accessibility.
See template
See template
Board Member Estimated Expense Approval Form
PDF template
A form for school board members to request and document travel expense reimbursements and approvals.
See template
See template
School Board Exhibit Resolution To Regulate Expense Reimbursements
PDF template
A resolution establishing guidelines for travel, meal, and lodging expense reimbursements for school board members and district staff.
See template
See template
Property Loss And Damage Report Form
PDF template
A document for reporting property loss and damage incidents, used for documenting financial transactions and potential insurance claims.
See template
See template
Waste Wise BusinessOrganisation Survey And Audit Questionnaire
PDF template
A comprehensive survey and audit form for businesses to assess their waste management practices and potential for waste minimization.
See template
See template
216.00 Responding And Reporting Offenses, Incidents Motor Vehicle Accidents
PDF template
Policy outlining conditions for investigating and reporting motor vehicle accidents by Mesquite Police Department officers.
See template
See template
OffenseIncident Report Form
PDF template
Detailed instructions for Albuquerque Police Department employees on how to complete Offense/Incident Report Forms accurately and uniformly.
See template
See template
Incident Report
PDF template
A standard form for reporting and documenting incidents within an organizational setting.
See template
See template
Kansas Stormwater 2018 Annual Report Form For Municipal Separate Storm Sewer Systems (MS4)
PDF template
Annual report documenting stormwater management activities for the Unified Government of Wyandotte County/Kansas City, Kansas covering the 2018 reporting period.
See template
See template
Procedure Fleet Management Vehicle Accidents
PDF template
Comprehensive policy outlining steps for handling government vehicle accidents, including reporting and notification requirements.
See template
See template
Invitation For Bid 22 2325 Smart UPS And Battery Pack
PDF template
Competitive bid solicitation by the Port of Oakland for procurement of Smart-UPS and Battery Pack equipment through the Purchasing Department.
See template
See template
GFWC Membership Grant Application Form
PDF template
A grant application form for GFWC clubs to receive funding for membership recruitment activities.
See template
See template
2022 23 Budget Form LC 2 Instructions
PDF template
Instructions for completing the Nebraska school district budget lid computation form to verify budget compliance with state regulations.
See template
See template
USA Volleyball Incident Report Form
PDF template
Comprehensive form for documenting injuries or property damage during USA Volleyball events
See template
See template
USA Volleyball Incident Report Form
PDF template
Official form for documenting injuries or property damage incidents during USA Volleyball events
See template
See template
Progressive Discipline Action Form
PDF template
A structured document for documenting employee performance issues, corrective actions, and disciplinary consequences.
See template
See template
Monthly Grant Funding (MGF) Payment Inquiry Form
PDF template
Form for community partner clinics to inquire about missing grant funding payments for enrolled participants.
See template
See template
Accident Report Form
PDF template
A form documenting details of an accident involving a child, used as part of a child protection policy.
See template
See template
23.02.02 Debt Management Procedures
PDF template
Establishes requirements and responsibilities for managing debt programs within The Texas A&M University System.
See template
See template
23.02.02 Debt Management Procedures
PDF template
Establishes requirements and responsibilities for debt program management for The Texas A&M University System and its members.
See template
See template
Facility Project Request Form
PDF template
A form for requesting new work, school-based projects, and facility modifications within Montgomery County Public Schools.
See template
See template
2023 2024 Alternative Loan Budget Form
PDF template
A financial aid form for students to provide information for loan and scholarship eligibility at the University of Houston-Downtown.
See template
See template
2023 2024 Budget Increase Request Form
PDF template
A form for students to request an increase in their financial aid budget based on additional educational expenses.
See template
See template
2023 24 Budget Form LC 2 Instructions
PDF template
Guidance for school districts in Nebraska to complete the Lid Computation Form LC-2, which verifies budget compliance with state regulations.
See template
See template
Outside Scholarship Reporting Form 2023 2024
PDF template
A form for students to report outside scholarships or changes to existing scholarship information to the Office of Financial Aid.
See template
See template
General Instruction Manual For Texas Title Insurance Agent Experience Report Submission
PDF template
Instructions for Texas title insurance companies and agents to submit their annual experience report to the Texas Department of Insurance.
See template
See template
Proof Of Age Or Disability Application
PDF template
Application for age or disability-based reimbursement with detailed eligibility requirements for tax years 2022 and 2023.
See template
See template
Technical Assistance Center (TAC) Cost Proposal RFP 24 017a
PDF template
A detailed budget proposal template for a technical assistance center project, outlining costs for salaries, services, supplies, travel, and employee benefits.
See template
See template
Budget Workshop Upload Authorization Form
PDF template
A form delegating authority to the Indiana Department of Local Government Finance to upload budget-related financial documents through the Gateway Budget Application.
See template
See template
Review Of Proposed Lease For A 1,000 Bed Shelter At Kettner And Vine Site
PDF template
Independent Budget Analyst report evaluating the financial implications of a proposed long-term lease for a 1,000-bed emergency shelter in San Diego.
See template
See template
2024 2025 Alternative Loan Budget Form
PDF template
A financial aid form for students to provide information for loan budget calculation and eligibility assessment for the 2024-2025 academic year.
See template
See template
Cost Of Attendance Adjustment Form
PDF template
A form for students to request budget review for unusual financial expenses not included in standard financial aid calculations.
See template
See template
Outside Scholarship Reporting Form 2024 2025
PDF template
A form for students to report outside scholarships or changes to existing scholarship information to the Office of Financial Aid.
See template
See template
RSCNCL) Resource Cancellation FormOther Financial Assistance
PDF template
A form for students to report and modify additional financial resources for the 2024-2025 academic year at the University of South Florida.
See template
See template
New Adventures In Learning Volunteer Form
PDF template
A form for volunteers to indicate areas of interest and support for a learning organization's programs and operations.
See template
See template
Form 8 K
PDF template
Securities and Exchange Commission filing by Expedia Group providing current financial and operational information.
See template
See template
Invoice Check List
PDF template
A comprehensive checklist for submitting grant reimbursement documentation with detailed requirements for different expense categories.
See template
See template
Neighborhood Participation Meeting Sign In Sheet
PDF template
A sign-in sheet for documenting participant attendance at a proposed neighborhood project meeting, with a disclaimer about meeting participation.
See template
See template
Americans With Disabilities Act (ADA) Annual Report Form
PDF template
Annual reporting form for documenting disability services and accommodations for adult education students in Illinois community colleges.
See template
See template
Form 25D 068 Change Order
PDF template
Official document for documenting changes to a transportation project contract, including modifications to scope, timeline, or costs.
See template
See template
Grades 2 5 Grade Submission Form
PDF template
A form for submitting academic grades and student performance details for students in grades 2-5 at Kolbe Academy.
See template
See template
Massachusetts Collaborative CTCTAMRIMRA Prior Authorization Form
PDF template
A comprehensive form for requesting prior authorization for medical imaging studies including CT, MRI, CTA, and MRA scans.
See template
See template
FP 421B HotelMotel Income Expense Report
PDF template
Annual tax reporting form for hotel and motel property owners in Washington, DC, covering income and expense details for the tax year.
See template
See template
Hazard Mitigation Programs Reimbursement Form
PDF template
A form for documenting and requesting reimbursement for hazard mitigation project costs and expenses.
See template
See template
Complaints Policy And Procedures
PDF template
A comprehensive policy outlining how Volunteer Ireland processes, manages, and responds to complaints related to volunteering services and interactions.
See template
See template
Incident Report Form
PDF template
Detailed guide for submitting an incident report through the Conservation Legacy Community Portal with specific field instructions.
See template
See template
Form 8 K
PDF template
Securities and Exchange Commission current report filing by SilverSun Technologies, providing current company information and disclosures.
See template
See template
APPENDIX A Policy On Travel And Expense Reimbursement
PDF template
Policy detailing guidelines for travel expenses, reimbursement, and authorized expenditures for Pajaro Valley Water Management Agency officials and employees.
See template
See template
Francophone Community Grants Program (FCGP) Guidelines 2024 25
PDF template
Guidelines for the Ministry of Francophone Affairs grant program for economic development projects serving francophone communities in Ontario.
See template
See template
REGION VI WIOAITA INVOICE
PDF template
Invoice form for training providers under the Workforce Innovation and Opportunity Act (WIOA) program for adult or dislocated worker training.
See template
See template
NICR 2021 Request For Proposals
PDF template
A research funding request from a university transportation consortium seeking proposals for congestion reduction research across three key transportation topics.
See template
See template
Hazard Report Form
PDF template
A form for reporting potential safety hazards and risks in an aviation environment.
See template
See template
Responsibilities Of Procurement Services
PDF template
Document outlining procurement policies, responsibilities, and ethical standards for purchasing at Northern Kentucky University
See template
See template
Excel Capital Expenditure Request Form Template
PDF template
A template form for requesting and documenting capital expenditure projects with multi-year financial analysis.
See template
See template
Speak Up
PDF template
Company policy outlining the process for employees to report ethical concerns or misconduct confidentially and without fear of retaliation.
See template
See template
312 Form Completion Guidelines
PDF template
Guidelines for completing a 312 requisition form for purchases in the Chemistry Department's stockroom.
See template
See template
Performance Evaluation Form Executive Director Chief Executive Officer
PDF template
A comprehensive performance evaluation template for assessing the performance of an executive director or chief executive officer in a professional association.
See template
See template
Greco Properties Community Policies
PDF template
Comprehensive policy document for residents of Greco Properties outlining community living standards, expectations, and procedures.
See template
See template
Form 8 K
PDF template
Securities and Exchange Commission filing providing current report for The Chemours Company
See template
See template
Budget Form 1 Guidelines For Preparation Of Budget Forms
PDF template
Comprehensive instructions for preparing budget forms for a grant proposal, detailing required documentation and form completion process.
See template
See template
Volunteer Program Policy
PDF template
Policy outlining the management, recruitment, and role of volunteers within the San Diego Community College District Police Department.
See template
See template
City Of Longview Revolving Loan Fund Application Procedure
PDF template
Application process for obtaining a business loan through the City of Longview's revolving loan program, detailing required documentation and review stages.
See template
See template
Preliminary Capital Request (PCR) Policy
PDF template
Defines the process for submitting capital building modifications for funding and approval at College of the Holy Cross, covering projects over $2,500.
See template
See template
Environmental Commitments Checklist
PDF template
A standardized document for tracking environmental approvals, requirements, and commitments throughout transportation project design and construction processes.
See template
See template
Expenditure Authorization Request
PDF template
Document requesting approval for various municipal expenditures over $75,000 for fiscal years 2024-2026, covering technology upgrades, memberships, and government relations services.
See template
See template
Procurement Of Commodities And Contractual Services
PDF template
Detailed guidelines for selecting and using different types of contract documents for procurement of commodities and services.
See template
See template
CSU Police Department Volunteer Program Policy
PDF template
Policy outlining the management, roles, and responsibilities of volunteers within the CSU Police Department in San Luis Obispo.
See template
See template
4 H Property Inventory Report Form
PDF template
A form for documenting tangible assets owned by 4-H clubs and organizations with specific inventory categories and guidelines.
See template
See template
Devolved Formula Capital (DFC) Schools Project Form
PDF template
A comprehensive form for schools to propose and document capital improvement projects funded through Devolved Formula Capital (DFC)
See template
See template
Incident Report Form
PDF template
A comprehensive form for documenting workplace or program-related incidents, including details about the incident, individuals involved, and follow-up actions.
See template
See template
Online Employee Incident Report (EIR) Form
PDF template
An online form for reporting workplace incidents and injuries for employees of ESD 113 Workers' Compensation Trust
See template
See template
United NationsJapan Long Term Fellowship Programme Nomination Form
PDF template
Nomination form for post-graduate study fellowship program on nano-satellite technologies sponsored by United Nations and Japan.
See template
See template
SBIF APPLICATION FORM
PDF template
Application form for businesses and property owners seeking funding through the Small Business Improvement Fund (SBIF) program.
See template
See template
San Bernardino County 4 H Complaint Form
PDF template
A form for documenting incidents and complaints within the San Bernardino County 4-H Youth Development Program.
See template
See template
System Safety Implementation Plan For The Goddard Space Flight Center Explorers Program Office
PDF template
A comprehensive safety implementation plan for NASA's Goddard Space Flight Center Explorers Program, detailing safety requirements and procedures.
See template
See template
KirschsteinNRSA Individual Fellowship Application Checklist
PDF template
Comprehensive application form for National Research Service Award (NRSA) individual fellowship from the Public Health Service (PHS)
See template
See template
Grant Application Detailed Budget
PDF template
Comprehensive budget form for documenting grant expenses across multiple categories and funding sources for a housing and urban development project.
See template
See template
Hazard Incident Report Form
PDF template
A form for documenting and reporting workplace safety hazards, incidents, and recommended corrective actions.
See template
See template
HUD Handbook 4310.5 REV 2 Principal Sales Approaches
PDF template
Handbook providing guidelines for selling acquired properties with objectives of maximizing returns and maintaining residential communities.
See template
See template
Preconstruction Conference Agenda And Checklist
PDF template
A comprehensive checklist and agenda for initiating a transportation construction project, outlining key participants, responsibilities, and administrative details.
See template
See template
OFTC Performance Evaluation Procedure
PDF template
Procedure for conducting performance evaluations for full-time and part-time employees at Oconee Fall Line Technical College, including goals, frequency, and purpose of evaluations.
See template
See template
DCFS Form 718 B
PDF template
A form used to report concerns about child welfare and potential need for child protective services intervention.
See template
See template
45 Hour Managing Broker Pre License Courses
PDF template
Comprehensive pre-license training course covering essential topics for managing brokers in real estate, including licensing, operations, ethics, and management.
See template
See template
Well OperatorS Report Of Well Work
PDF template
Regulatory document submitted by Chesapeake Appalachia for well work reporting in Ohio County, West Virginia
See template
See template
Amendment To Implementation Letter
PDF template
Official amendment to a development credit agreement between the Republic of Honduras and the International Development Association for the PROFUTURO project.
See template
See template
DWS ESD 475 Change Report Form
PDF template
A form for reporting changes in various state assistance programs including financial aid, Medicaid, SNAP, and child care benefits.
See template
See template
U.S. Department Of Labor Incident Report DL 1 156
PDF template
Official form for reporting incidents involving Department of Labor employees, contractors, or program participants
See template
See template
Incident Report Form
PDF template
A comprehensive form for documenting and reporting details of an incident, including event information, involved parties, and actions taken.
See template
See template
Incident Or Injury ReportingInsurance
PDF template
A comprehensive procedure for reporting and documenting incidents, injuries, and equipment damage at Piedmont Technical College.
See template
See template
Program Policies And Procedures For Incident Reports
PDF template
Detailed regulations for incident reporting and dependent adult abuse protocols in programs serving vulnerable populations.
See template
See template
IncidentAccident Report Form
PDF template
A form for documenting details of an accident or incident involving a youth, including witnesses and care provided.
See template
See template
COVID 19 Participant Code Of Conduct And Risk Assessment Form
PDF template
A risk assessment and conduct guidelines form for Special Olympics participants during the COVID-19 pandemic
See template
See template
MAINTENANCE REQUEST FORM
PDF template
A form for tenants to request repairs or maintenance services for a rental property with authorization for property manager entry.
See template
See template
Emergency Contact Form
PDF template
Form for collecting emergency contact details for property unit owners during potential hurricane evacuations.
See template
See template
NC 4 H AccidentIncident Report Form
PDF template
A comprehensive form for documenting accidents, incidents, or injuries involving youth participants, staff, volunteers, or guests at NC 4-H events.
See template
See template
4 H Buymanship Project Garment Evaluation Form
PDF template
A detailed form for youth to evaluate clothing purchases, focusing on quality, care, and wardrobe planning.
See template
See template
Lubbock County 4 H Project Form
PDF template
A comprehensive form for 4-H members to document their project activities, learning experiences, and achievements for the year.
See template
See template
Cole County 4 H Project Meeting Attendance Form
PDF template
Form for tracking 4-H project meeting attendance, participation, and meeting hours for club members.
See template
See template
Raquette Lake Library Incident Report Form
PDF template
A form used to document accidents, injuries, medical situations, or inappropriate behavior at the Raquette Lake Library.
See template
See template
Performance Review Tips For Supervisors
PDF template
A comprehensive guide for supervisors on conducting effective performance reviews, including preparation, scheduling, and evaluation techniques.
See template
See template
Research Grant Application Checklist
PDF template
A comprehensive checklist for submitting a Public Health Service (PHS) research grant application with various application type options and administrative details.
See template
See template
Hazard Report Form
PDF template
A document for reporting and tracking workplace safety hazards, including methods for correcting and documenting safety issues.
See template
See template
DOD INSTRUCTION 5000.64 ACCOUNTABILITY AND MANAGEMENT OF DOD EQUIPMENT AND OTHER ACCOUNTABLE PROPERT
PDF template
Official Department of Defense instruction providing policy and procedures for managing and accounting for DoD equipment and accountable property.
See template
See template
51.04.99.P0.01 Administration Of University Construction And Maintenance Projects
PDF template
Guidelines for construction and maintenance projects at Prairie View A&M University, defining project initiation, delegation of authority, and management responsibilities.
See template
See template
Blank Incident Report Forms
PDF template
A comprehensive collection of various incident report templates for different contexts including workplace, education, security, and emergency services.
See template
See template
Violent Incident Investigation Form
PDF template
A confidential form for documenting and investigating violent incidents within School District 85 on Vancouver Island North.
See template
See template
Report Of Child(Ren) Alleged To Be Suffering From Serious Physical Or Emotional Injury By Abuse Or N
PDF template
Massachusetts form for reporting suspected child abuse or neglect to the Department of Children and Families (DCF).
See template
See template
Student Accident Report
PDF template
A comprehensive form for documenting student accidents, injuries, and immediate actions taken by school personnel.
See template
See template
Form 4 Statement Of Changes In Beneficial Ownership Of Securities
PDF template
Official SEC form documenting changes in beneficial ownership of securities for a reporting individual.
See template
See template
Canva Pro For Non Profits Application Instructions
PDF template
Step-by-step instructions for non-profit organizations to apply for Canva Pro at no cost through their dedicated non-profit program.
See template
See template
T S IRWMA Project Submission Form
PDF template
A form for submitting projects for potential grant funding within the T-S IRWM Watershed Advisory Committee region.
See template
See template
DoD Instruction 5410.16
PDF template
Department of Defense policy and procedures for providing assistance to non-government entertainment media productions like films, TV shows, documentaries, and electronic games.
See template
See template
Employee Estimated Expense Approval Form
PDF template
A form for employees to request approval and reimbursement for estimated travel and business expenses.
See template
See template
Form 8 K
PDF template
Securities and Exchange Commission filing by Ingevity Corporation providing current business report information.
See template
See template
Fund Contribution Form
PDF template
A form for making financial contributions to a fund through the Community Foundation of Greater Des Moines.
See template
See template
Construction Incident Report
PDF template
A comprehensive form for documenting workplace accidents, injuries, and incidents in construction settings with detailed reporting requirements.
See template
See template
F.249 (6 18) Funds Transfer Request Form
PDF template
A form for requesting fund transfers by commercial, non-commercial, and third-party organizations through the United Nations payment system.
See template
See template
Household Report Form
PDF template
A form for reporting household information to maintain public assistance benefits in Minnesota.
See template
See template
Performance Review Template
PDF template
Proposal to introduce a temporary performance review template and mandate mid-year and end-of-year reviews for managers
See template
See template
Report Of Contributions And Expenditures
PDF template
A comprehensive financial reporting document for committees and parties detailing campaign contributions and expenditures.
See template
See template
Consultancy Contract Attachment I ToR
PDF template
Contract for a consultancy project focusing on STEM training, mentoring, and coaching for ethnic minority girls in rural Cambodia to improve education quality and opportunities.
See template
See template
Carl Moyer Diesel Emissions Reduction Program Annual Report
PDF template
Guidelines for annual reporting requirements for diesel emissions reduction grant recipients covering operational data and compliance verification.
See template
See template
General Order 63.3 Traffic Accident Investigation
PDF template
Detailed guidelines for handling and documenting traffic accidents by the Sedgwick County Sheriff's Office.
See template
See template
Purchase Form
PDF template
Form for investors to request additional unit purchases in the Circle Fund, including details about the source of investment funds.
See template
See template
66 R 4 Student Senate Resolution In Support Of The Student Organization Commission Segregated Fee Bu
PDF template
A student senate resolution supporting a change in the segregated funding budget form used by the Student Organization Commission at UW-Eau Claire.
See template
See template
Short Form Construction Contract
PDF template
A standardized contract template for construction projects issued by the United Nations Office for Project Services (UNOPS)
See template
See template
Incident Reporting Tool
PDF template
Comprehensive form for documenting incidents, injuries, and accidents within BSA programs and activities
See template
See template
Near Miss Reporting Tool
PDF template
A comprehensive form for reporting near miss incidents within Boy Scouts of America, capturing details of potential safety events and lessons learned.
See template
See template
Form 8 K
PDF template
Securities and Exchange Commission filing providing a current report for QuidelOrtho Corporation as of April 25, 2024.
See template
See template
OFFICE INCIDENT REPORT FORM
PDF template
A form for documenting workplace accidents, injuries, and incidents within 24 hours of occurrence.
See template
See template
Parish Hazard Report Form
PDF template
A form used to document and report potential safety hazards within a parish or church site, including hazard details and corrective actions.
See template
See template
Form 4 Statement Of Changes In Beneficial Ownership
PDF template
United States Securities and Exchange Commission form documenting changes in beneficial ownership of securities for a corporate director
See template
See template
Voluntary Car Seat Safety Check Activity Report
PDF template
Form for documenting car seat safety check events conducted for the New Jersey Division of Highway Traffic Safety.
See template
See template
Procedures Purchasing, Procurement And Reimbursements
PDF template
Comprehensive guide detailing procedures for purchasing and procurement within an organization, outlining purchase categories, approval processes, and responsible parties.
See template
See template
Construction Time Allowances For Initiation Of Construction
PDF template
Policy outlining time allowances and procedures for major campus construction and renovation projects.
See template
See template
Administrative Rule 722.1 Accident Reporting Procedures And Guidelines
PDF template
Guidelines for reporting and documenting student and staff accidents within a school district, including filing procedures and documentation distribution.
See template
See template
STATE OF FLORIDA DEPARTMENT OF TRANSPORTATION PUBLIC TRANSPORTATION GRANT AGREEMENT
PDF template
A grant agreement between the Florida Department of Transportation and a recipient agency for public transportation funding and project support.
See template
See template
72 Hour Notification Form
PDF template
A form used to alert the National Association for the Education of Young Children about serious events or operational disruptions affecting a childcare program.
See template
See template
What To Do If You Find A British Passport
PDF template
A form for individuals who have found a lost British passport to report its location and return it to authorities.
See template
See template
Form 8 K Current Report
PDF template
Securities and Exchange Commission current report filing by Arrow Electronics, providing mandatory financial disclosure information.
See template
See template
SAMPLE FORM RESIDENT CONTACT RECORD
PDF template
A form for documenting interactions and communications with residents in a housing or development project
See template
See template
City Of Pittsburgh Vehicle Accident Report
PDF template
Official document for reporting vehicle incidents involving city vehicles, detailing accident specifics and required reporting procedures.
See template
See template
Hazard Report Form
PDF template
A form for documenting workplace safety hazards, their severity, and corrective actions.
See template
See template
NEH Budget Form
PDF template
Budget form for documenting project costs and funding from the National Endowment for the Humanities for an educational project.
See template
See template
National Endowment For The Humanities Budget Form
PDF template
Budget form for a project involving Anne Arundel County Public Schools and Maryland State Archives, detailing project costs and funding sources.
See template
See template
GIRL SCOUTS OF EASTERN OKLAHOMA COUNCIL ACCIDENTINCIDENT DAMAGE REPORT FORM
PDF template
A comprehensive form for documenting accidents, incidents, or damages occurring during Girl Scouts activities in Eastern Oklahoma.
See template
See template
Venture SE Minnesota Diversification Loan Fund Amendment
PDF template
Legislative amendment establishing a revolving loan program for businesses in southeastern Minnesota, focusing on specific industries and economic development.
See template
See template
Appendix B Accident Reporting Information
PDF template
Comprehensive guide detailing Federal Railroad Administration's accident and injury reporting requirements for railroads, covering reporting periods and thresholds.
See template
See template
Application Form 1 Certification Of Application Information
PDF template
A grant application form for graduate medical education expansion funding from the Texas Higher Education Coordinating Board with application certification requirements.
See template
See template
Accident, Incident And Identified Hazard Report Form
PDF template
A comprehensive form for documenting accidents, incidents, and potential hazards within the Eastlakes U3A organization.
See template
See template
IT Spend And Infrastructure Breakdown
PDF template
Annual financial report detailing technology infrastructure spending across hardware, software, and IT services for two consecutive fiscal years.
See template
See template
Athletic Injury Report (AIR) Form Information And Procedures
PDF template
Comprehensive guidelines for documenting and reporting athletic injuries in high school and middle school athletic programs.
See template
See template
Form 802General Information (Periodic Report Nonprofit Corporation)
PDF template
A statutory filing form for nonprofit corporations to report director and officer information to the Texas Secretary of State.
See template
See template
Purchasing Policy 803.1
PDF template
Comprehensive policy for purchasing commodities and services at Bismarck State College, outlining procurement requirements based on purchase price thresholds.
See template
See template
Police Incident Report Form Template
PDF template
A template for submitting non-emergency police reports online for incidents like theft, harassment, and minor vehicle damage.
See template
See template
Common Report Form Cover Sheet
PDF template
A standard reporting form for nonprofit organizations to document grant details, results, and financial information for Philanthropy Network Greater Philadelphia.
See template
See template
Sourcing Request Form
PDF template
A comprehensive guide for submitting a sourcing request to the Sourcing & Procurement team for assistance with procurement projects.
See template
See template
City Of Ketchikan Grant Application Form
PDF template
A form for non-profit humanitarian agencies to apply for annual operational funding from the City of Ketchikan and Ketchikan Public Utilities.
See template
See template
Security Incident Report
PDF template
Official form for documenting security incidents at the Mississippi State Department of Health's Office of Health Informatics.
See template
See template
Surface Water Grant Application (Form 8700 284)
PDF template
Detailed guide for organizations seeking surface water grant funding in Wisconsin, outlining application process, eligibility, and key deadlines.
See template
See template
Agreement Tracking System
PDF template
Contract for Condition Acquisition Reporting System (CARS) 511 Maintenance and Support with Castle Rock Associates
See template
See template
Leyden Community High School District 212 Regular Board Of Education Meeting Agenda
PDF template
Agenda for the regular meeting of Leyden Community High School District 212 Board of Education, including budget hearing and policy approvals.
See template
See template
Adult Exit Interview Form
PDF template
A form for collecting departure information from adult volunteers, capturing reasons for leaving and service details.
See template
See template
Form 8 K
PDF template
Securities and Exchange Commission filing providing a current report for Burlington Northern Santa Fe, LLC as of June 7, 2022
See template
See template
SH 901 Instructions For Recording And Reporting Public Employees Occupational Injuries And Illnesses
PDF template
Guidelines for recording and reporting occupational injuries and illnesses for public employees in New York State, as referenced by 12NYCRR Part 801.
See template
See template
Grantee Budget Form
PDF template
Detailed budget form for documenting research grant expenses and personnel allocations across various cost categories.
See template
See template
Contracts And Grants Policy
PDF template
Policy governing the management of sponsored funds, award administration, and expenditure guidelines for university grants and contracts.
See template
See template
Directive 9.12 Travel
PDF template
Guidelines and procedures for Columbus Police Division personnel traveling on official city business, including reimbursement and expense policies.
See template
See template
COVID 19 Participant Code Of Conduct And Risk Assessment Form
PDF template
A comprehensive guidance document outlining participant responsibilities and precautions for COVID-19 safety during Special Olympics activities.
See template
See template
HUD 92403 CA Requisition For Disbursement Of Funds
PDF template
Official U.S. Department of Housing and Urban Development form for requesting disbursement of capital advance funds for housing projects.
See template
See template
HUD 92403 CA Requisition For Disbursement Of Funds
PDF template
Official U.S. Department of Housing and Urban Development form for requesting disbursement of capital advance funds for housing projects.
See template
See template
Joint Committee Meeting Agenda
PDF template
Agenda for a multi-committee meeting discussing budget, contracts, and operational matters for a local government or organization.
See template
See template
POLICE CONTACT FORM
PDF template
A form used to document and detail circumstances surrounding police interaction with a mental health service recipient.
See template
See template
Electronic Meeting Room (EMS) Project Management Software For Public Consultation And Project Approv
PDF template
An interactive case study exploring the use of Electronic Meeting System (EMS) software to improve group decision-making processes and project consultation techniques.
See template
See template
Form 8 K
PDF template
Securities and Exchange Commission filing providing current information about the company's status and activities.
See template
See template
FORM 10 Q
PDF template
Quarterly financial report filed with the U.S. Securities and Exchange Commission for the period ended March 31, 2024.
See template
See template
HUD 9839 B Project OwnerSManagement AgentS Certification For Multifamily Housing Projects
PDF template
Certification form for project owners and management agents in multifamily housing projects, detailing management agreements and fee structures.
See template
See template
Form 990 Examination Checklist
PDF template
A detailed checklist for reviewing a non-profit organization's Form 990 tax return to assess financial viability and compliance.
See template
See template
Input Sheet For City1.XLS Budget Form
PDF template
Budget input form for a city, capturing financial details, fund names, tax levies, and expenditure information for the fiscal year 2014.
See template
See template
Questions And Answers About Virginia HousingS PDC Housing Development Grant
PDF template
A document providing clarification and guidance on the usage of Virginia Housing's PDC Housing Development Grant for affordable housing projects.
See template
See template
Conference And Travel RequestExpense Claim Form
PDF template
A comprehensive form for requesting and claiming conference and travel expenses for district employees.
See template
See template
S355 Community Facility Hazard Report Form
PDF template
A form for reporting potential hazards in community facilities that may cause injury, with sections for hazard details and council investigation.
See template
See template
Incident Report (Other Than Motor Vehicle)
PDF template
Confidential form for documenting non-vehicle incidents at the University Corporation at Monterey Bay, to be completed within 48 hours of an incident.
See template
See template
Model Employment Contract With The General Director
PDF template
A template employment contract defining the terms and conditions for a General Director's appointment in an Open Joint Stock Company.
See template
See template
Criminal Conviction Reporting Form
PDF template
A form for reporting criminal convictions to the Virginia Department of Professional and Occupational Regulation for license, certification, or registration applications.
See template
See template
Non Member Volunteer Application
PDF template
Application form for non-member volunteers interested in various roles within Girl Guides of Canada, requiring screening and potential police records check.
See template
See template
A8.230 Contracting For Services
PDF template
Comprehensive guidelines for contracting external services at a university, outlining procedures, risks, and definitions related to service contracts.
See template
See template
A8.930 Service Orders To The Research Corporation Of The University Of Hawaii
PDF template
Administrative procedure outlining guidelines for service orders to the Research Corporation of the University of Hawaii for extramural and intramural funded projects.
See template
See template
Accident Report Form
PDF template
A comprehensive form for documenting details of a traffic accident, designed for drivers to record witness information and accident circumstances.
See template
See template
Damage Report Form
PDF template
Form for reporting vehicle damage during AAA service, requiring detailed documentation and supporting evidence.
See template
See template
Damage Report Form
PDF template
A comprehensive form for reporting vehicle damage during AAA automotive services, requiring detailed incident documentation.
See template
See template
A Agreement Form
PDF template
A document outlining eligibility rules and requirements for students receiving A+ educational funding benefits at East Central College.
See template
See template
Grant Request Budget Form
PDF template
Budget form for administrative grant funding for courthouse lactation room installations under AB196.
See template
See template
A Basic Guide To Grants, Program Design, Grant Writing For Grant Seekers
PDF template
A comprehensive guide to understanding grant types, funding sources, program design, and grant writing for higher education institutions.
See template
See template
Ronald McDonald House Charities Grant Application Form
PDF template
A comprehensive grant application form for organizations seeking funding from Ronald McDonald House Charities
See template
See template
Annual Budget Plan
PDF template
Detailed budget plan for special education funding and expenditures for fiscal year 2019-20 by the California Department of Education.
See template
See template
Form F Absence Report Form
PDF template
A form for students to report anticipated or unanticipated absences during a Physician Assistant Studies program.
See template
See template
ACA SS PD Committee Guidelines
PDF template
Guidelines for managing professional development funds and activities for academic faculty, detailing eligible expenses and funding allocation.
See template
See template
Clark Atlanta University Academic Program Proposal Guidelines
PDF template
Guidelines for proposing and approving new and revised academic programs at Clark Atlanta University with detailed review and routing protocols.
See template
See template
ACC13 Harassment Incident Report Form
PDF template
Confidential form for reporting harassment incidents within an organization, detailing the nature of the incident and involved parties.
See template
See template
AccelerateTT Fund Invitation For Submission Of Proposals
PDF template
An invitation by the Hellenic Development Bank of Investments to participate in venture capital funds supporting technology transfer, research, innovation, and start-ups.
See template
See template
NNSA Facility Access Identification Requirements
PDF template
Detailed document outlining acceptable forms of personal identification for accessing NNSA facilities for U.S. citizens.
See template
See template
Grant Application Form
PDF template
A grant application for Canadian charities seeking funding to improve healthcare access for marginalized populations, with a focus on Ontario communities.
See template
See template
Assessment Request Incident Report Form
PDF template
A form for reporting incidents, complaints, or requests related to equal opportunity in an educational or workplace setting.
See template
See template
ERAIDER REQUEST FORM
PDF template
Form for non-TTUHSC employees to request an eRaider account, specifying access requirements and responsibilities.
See template
See template
AMERICAN CERAMIC CIRCLE RESEARCH GRANT APPLICATION FORM
PDF template
A comprehensive application form for research grants offered by the American Ceramic Circle to support scholarly research projects.
See template
See template
Accident Incident Report Form
PDF template
An official form for documenting accidents, incidents, and injuries at Virginia Tech, used by the Office of Risk Management.
See template
See template
Vehicle CrashDamage Notice
PDF template
Official form for reporting vehicle accidents, damage, or crashes involving state-owned or managed vehicles in Minnesota.
See template
See template
AccidentDamage Report Form
PDF template
Comprehensive form for documenting vehicle accidents, injuries, or property damage involving fire department personnel and vehicles.
See template
See template
Auto Accident Report Form
PDF template
Comprehensive form for documenting details of an auto accident, including vehicle, driver, and damage information
See template
See template
APPENDIX F INCIDENTACCIDENT REPORT FORM
PDF template
A comprehensive form for documenting accidents or incidents involving children, typically used in educational settings.
See template
See template
NORTHWESTERN UNIVERSITY ACCIDENT REPORT FORM
PDF template
A form for documenting accidents involving university vehicles, detailing damage, driver information, and incident specifics.
See template
See template
ACCIDENT INCIDENT REPORT FORM
PDF template
A comprehensive form for documenting accidents, incidents, and injuries during sports activities under Kidsports jurisdiction.
See template
See template
AccidentIncident Investigation Safety Guidance Document
PDF template
A comprehensive safety guidance document outlining procedures for investigating and reporting workplace accidents and incidents, including violent or aggressive events.
See template
See template
AccidentIncident Report Form
PDF template
A comprehensive form for documenting details of accidents or incidents occurring during OSU Extension Service activities or events.
See template
See template
Accident Incident Report Form
PDF template
A form used to document and report accidents or incidents involving students or employees in a healthcare education setting.
See template
See template
AccidentIncident Report Form
PDF template
A comprehensive form for documenting accidents or incidents involving campers, staff, or visitors at a camp facility.
See template
See template
Northeastern University AccidentIncidentNear Miss Report Form
PDF template
A comprehensive form for reporting accidents, incidents, or near misses involving students, employees, or visitors at Northeastern University.
See template
See template
AccidentIncident Report Form
PDF template
A form for documenting accidents or incidents involving employees, visitors, or students that occur on or off Northeastern University campus.
See template
See template
Incident Accident Report Form
PDF template
A detailed form for documenting accidents or incidents involving Girl Scouts participants, used for risk management and reporting purposes.
See template
See template
AccidentIncident Report Form
PDF template
A form for documenting accidents or incidents that occur during recreation and park district activities, including details about the event, individuals involved, and actions taken.
See template
See template
Report Of Accident Incident
PDF template
A form for documenting workplace accidents or incidents involving university personnel, students, or workers.
See template
See template
AccidentIncident Report Form
PDF template
A comprehensive form for reporting accidents or incidents involving employees, students, or visitors at Yavapai College.
See template
See template
Accident Report Form
PDF template
A standardized form for documenting details of an accident or injury in a league or organized sports setting.
See template
See template
Accident Report Form
PDF template
A standardized form for documenting details of an accident or injury in a league or organized sports setting.
See template
See template
AccidentInjury Reporting For Athletics
PDF template
Guidelines for reporting serious athletic injuries, detailing when and how to complete an accident report for student athletes.
See template
See template
AccidentIncident Investigation Form
PDF template
A comprehensive form for documenting and investigating workplace accidents, injuries, and near-miss incidents.
See template
See template
ACCIDENT REPORT FORM
PDF template
A document used to record details of an accident, including parties involved, location, circumstances, and witnesses.
See template
See template
Club Sports Accident Report Form
PDF template
A comprehensive form for documenting sports-related accidents and injuries for recreational sports participants
See template
See template
Monroe County Recreation Department ACCIDENT REPORT FORM
PDF template
A comprehensive form for documenting details of accidents, injuries, and circumstances within a recreation department setting.
See template
See template
ACCIDENTINCIDENT REPORT FORM
PDF template
A form used to document details of accidents or incidents occurring on university premises involving employees, students, or visitors.
See template
See template
Accident Report Form For Non Employees
PDF template
A form documenting details of accidents involving non-employees at Chadron State College, used for internal reporting and record-keeping.
See template
See template
Accident Report Form
PDF template
A bilingual form for documenting details of an accident, including location, date, injured person's information, and incident specifics.
See template
See template
Mississippi Elevator Safety Division Accident Report Form
PDF template
Official form for reporting elevator accidents and incidents to the Mississippi Elevator Safety Division within 72 hours.
See template
See template
DRIVERS ACCIDENT REPORT
PDF template
Official form for documenting details of a vehicle accident involving county personnel, to be completed at the accident scene and submitted to supervisor.
See template
See template
ACCIDENT REPORT FORM
PDF template
A comprehensive form for documenting accidents occurring at Burton Pidsea Memorial Hall and Playing Fields
See template
See template
Accident Report
PDF template
Detailed form for documenting accidents, injuries, or damages during Adirondack Mountain Club activities or premises.
See template
See template
Accident Report Form
PDF template
A detailed form for documenting accidents and injuries occurring at a recreational facility, including injury details, immediate actions, and reporting procedures.
See template
See template
Accident Report Form
PDF template
Comprehensive form for documenting workplace accidents, injuries, and related incident details with personal and organizational information.
See template
See template
Accident And Injury Report Form
PDF template
A form for documenting workplace or academic accidents, injuries, and related details in a pathology setting.
See template
See template
Waubun Ogema White Earth AccidentIncident Report Form
PDF template
A form used to document workplace accidents or incidents, capturing details about the event, potential prevention, and property damage.
See template
See template
IADT Accident Report Form
PDF template
Comprehensive form for documenting workplace accidents, injuries, and subsequent medical treatment with GDPR compliance notice.
See template
See template
ACCIDENT RECORD FORM
PDF template
A form for documenting workplace accidents, injuries, and related incident details in compliance with regulatory requirements.
See template
See template
UVU Injury Accident Report Form
PDF template
A comprehensive form for documenting injuries and accidents occurring at Utah Valley University for students, employees, and visitors.
See template
See template
ACCIDENT REPORT FORM U3A
PDF template
A form used to document details of an accident, including parties involved, location, circumstances, and injuries.
See template
See template
Rideshare AccidentDamage Report Form
PDF template
A comprehensive form for documenting details of an accident or damage involving a rideshare vehicle and other parties.
See template
See template
NYSPHSAA OfficialS ACCIDENT REPORT FORM
PDF template
A standardized form for documenting accidents involving school sports officials and participants during athletic events.
See template
See template
Accident Report Form
PDF template
A form to document details of an accident that occurred on church premises or during church-related activities.
See template
See template
STATE OF CALIFORNIA ACCIDENT REPORT
PDF template
Official confidential document for reporting non-motor vehicle accidents and potential legal claims involving state entities.
See template
See template
AccidentIncident Report Form
PDF template
A comprehensive form for documenting workplace accidents or incidents at East Stroudsburg University by employees, students, and visitors.
See template
See template
GoTriangle Vanpool Accident Report Form
PDF template
A comprehensive form for documenting details of an accident involving a GoTriangle vanpool vehicle, including driver and insurance information.
See template
See template
Accident Report Form
PDF template
Comprehensive form documenting details of an accident or incident involving participants in a program or activity.
See template
See template
City Of Kirkland Accident Report Form
PDF template
A comprehensive form for reporting workplace accidents, injuries, and potential liability claims for City of Kirkland employees.
See template
See template
AccidentIncident Investigation, Reporting And Analysis
PDF template
Guidelines for investigating and reporting workplace accidents, incidents, and near misses to prevent future occurrences and ensure employee safety.
See template
See template
Accident Reporting Procedures
PDF template
Comprehensive guidelines for reporting and managing accidents and injuries on Slippery Rock University campus, including emergency procedures and notification requirements.
See template
See template
Flamstead Pony Club Accident Reporting Protocol
PDF template
Comprehensive protocol for reporting accidents, injuries, and near misses during pony club activities, including documentation requirements and reporting procedures.
See template
See template
AccidentIncident Reporting Form
PDF template
Comprehensive guidelines for reporting accidents, incidents, and hazards on university premises, detailing reporting processes and medical response protocols.
See template
See template
Accident Report
PDF template
A form used to document details of an accident involving individuals or property during Adirondack Mountain Club activities.
See template
See template
Accident Reporting Form
PDF template
A form used to document details of an accident, including persons involved, location, and circumstances.
See template
See template
Motor Vehicle Accident Report Form
PDF template
Official form for reporting taxi accidents involving injury, death, or property damage over $500 in the City of Austin.
See template
See template
Policy And Procedure 610 Accidents Involving Police Department Vehicles
PDF template
Comprehensive policy outlining the reporting and documentation process for accidents involving police department vehicles, including required forms and review steps.
See template
See template
ACE Austin Alumni Scholarship Form
PDF template
A one-time $2,500 scholarship for former ACE Austin students pursuing higher education in related fields, with specific eligibility requirements.
See template
See template
Surface Water Grant AIS Small Scale Population Management
PDF template
Grant award for a 3-year aquatic invasive species control project for Golden Lake covering the period from 2024-2026.
See template
See template
ACF Performance Progress Report
PDF template
A federal grant reporting form used by recipients to document performance and activities for grant-funded projects.
See template
See template
Citizen Complaint Form
PDF template
Official form for citizens to submit complaints about government agencies, departments, or employees to the Alameda County Grand Jury.
See template
See template
Incident Report Form
PDF template
A comprehensive form for reporting various types of incidents involving staff, members, guests, and program participants at the Abilities Centre.
See template
See template
Acquisition Matrix
PDF template
A matrix detailing procurement methods and approval requirements for various types of purchases at an educational institution.
See template
See template
Acquisition Matrix
PDF template
A detailed matrix outlining procurement guidelines and payment methods for various types of purchases at Cal Maritime.
See template
See template
Actual Expense Transfer Request Form
PDF template
Form for correcting, allocating, and transferring actual expense posted transactions within an organization.
See template
See template
Reimbursement Or Advance Of Funds Agreement
PDF template
A government form for documenting financial agreements between agencies for service reimbursement or funds advancement.
See template
See template
AD 8.8 Donations Contributions Procedural Guidelines
PDF template
Guidelines for accepting and processing donations and contributions within the City of San Antonio municipal government.
See template
See template
Guide To Sponsored Projects Development
PDF template
A comprehensive guide for faculty and staff on university research policies, grant funding procedures, and proposal management at Youngstown State University.
See template
See template
Disability Services Center And ADA Compliance Incident Report
PDF template
A form for documenting incidents related to disability services and ADA compliance at an organization.
See template
See template
Addendum Number 1 To Coordinating Institution Transfer Agreement
PDF template
An addendum modifying a previous transfer agreement between the Organization of American States and Fundao O Boticrio for biodiversity network activities.
See template
See template
Request For Proposals National Mortgage Settlement Funds
PDF template
Detailed budget proposal form for applicants seeking funds from the National Mortgage Settlement program, requiring comprehensive financial documentation.
See template
See template
Private Hospitals Discharge Form (ADF96)
PDF template
A comprehensive form for collecting detailed patient discharge data from private hospitals for statistical reporting purposes.
See template
See template
Glass Advance Disposal Fee Annual Report Form
PDF template
Annual reporting form for glass container importers in Hawaii detailing non-deposit beverage glass container counts and associated disposal fees.
See template
See template
DISTRICT COURT AD HOC JUDICIAL ASSIGNMENT REPORT FORM
PDF template
A reporting form for retired judges assigned to Louisiana District Courts to provide biannual updates on assigned cases.
See template
See template
MS Culminating Project Proposal Form
PDF template
Form for Master's students to propose their final statistical research project in the Ad Hoc MS in Applied Statistics program.
See template
See template
Accident Report
PDF template
Official form for documenting accidents and injuries associated with Adirondack Mountain Club activities or premises.
See template
See template
Analytical And Diagnostics Laboratory (ADL) Application For Small Grants To Cover User Fees
PDF template
Grant application for faculty research support to cover user fees at the Analytical and Diagnostics Laboratory, offering up to $2,500 for research-related expenses.
See template
See template
Security Incident Report And Self Insurance Form
PDF template
A comprehensive form for reporting and documenting security incidents in Prince George's County Public Schools.
See template
See template
Vehicle Accident Reporting
PDF template
Administrative procedure for reporting accidents involving school system vehicles, outlining requirements for authorized users and accident documentation.
See template
See template
Discrimination Or Harassment Incident Report
PDF template
A formal document for reporting discrimination or harassment incidents within Prince George's County Public Schools by employees or volunteers.
See template
See template
VOLUNTEER APPLICATION FORM
PDF template
A comprehensive form for individuals seeking to volunteer, collecting personal, employment, educational, and legal background information.
See template
See template
Adult HIV Confidential Case Report Form
PDF template
Confidential medical reporting form for adult HIV patients in Rhode Island, used for surveillance and epidemiological tracking.
See template
See template
Budget Adjustment
PDF template
Comprehensive guide for increasing, decreasing, and transferring funds across budget categories, projects, and tasks.
See template
See template
Automated External Defibrillator (AED) Post Incident Report Form
PDF template
A comprehensive form for documenting events involving the use or attempted use of an Automated External Defibrillator at Middle Georgia State University.
See template
See template
AED Incident Report Form
PDF template
A comprehensive form for documenting and reporting incidents involving the use or attempted use of an Automated External Defibrillator (AED)
See template
See template
2022 2025 Investment Management Agreement
PDF template
A three-year investment framework agreement describing performance metrics and funding conditions for Athabasca University's Base Operating Grant.
See template
See template
Athletic Equestrian League Accident Report
PDF template
A detailed form for documenting accidents and incidents during equestrian events or competitions.
See template
See template
Hiring And Interview Memorandum
PDF template
Memorandum providing guidance for hiring processes, interview procedures, and candidate selection best practices.
See template
See template
INJURYINCIDENT INVESTIGATION FORM
PDF template
A form for documenting workplace injuries, near misses, and harmful incidents by AFL New Zealand employees or volunteers.
See template
See template
Agc Subcontract Agreement Form
PDF template
A legal document outlining the terms and obligations between a contractor and subcontractor for construction-related work.
See template
See template
MUI Annual Report Form
PDF template
Annual reporting form for tracking and analyzing mortality and unusual incidents across different categories over multiple years.
See template
See template
Purchasing Exception Report FY 2019
PDF template
Report detailing purchasing exceptions for scientific equipment during May-July 2019 fiscal period.
See template
See template
AgentS Report
PDF template
A form for agents to report and settle surety bond transactions with details about bond execution and premiums.
See template
See template
Kiwanis Club Affiliation Agreement
PDF template
A legal agreement establishing the relationship between a local Kiwanis Club and Kiwanis International, defining organizational obligations and affiliations.
See template
See template
AGS Incident Near Miss Hazard Report Form FRM067 010519
PDF template
A workplace safety form for reporting incidents, near misses, hazards, or potential safety concerns within an organization.
See template
See template
Near Miss Hazard And Incident Reporting Guidelines
PDF template
Comprehensive guidelines for reporting and managing workplace health and safety incidents, near misses, and hazards within an organization.
See template
See template
AHE Chapter Annual Report Form
PDF template
Annual reporting form for AHE chapter officers to submit organizational details and contact information by January 31st each year.
See template
See template
AIGA Minnesota Program Improvement Grant Application
PDF template
A grant application form for funding targeted investments in chapter programming improvements and expansion.
See template
See template
Estimated Project Budget Form
PDF template
A budget estimation form for cultural affairs projects with line items for various project expenses and donations.
See template
See template
Summit Scholarship Application
PDF template
A scholarship program by the Appellate Judges Education Institute to support judges and attorneys with limited financial resources to attend educational programs.
See template
See template
Out Of State Residential Incident Reporting Form
PDF template
A form for reporting critical incidents to Alaska Department of Health and Social Services agencies involving out-of-state residential care recipients.
See template
See template
Guide For Community Advocates On The Opioid Settlement Alabama
PDF template
A comprehensive guide detailing Alabama's approach to opioid settlement funds, including allocation mechanisms and key settlement details.
See template
See template
Construction Document Templates Catalog
PDF template
Catalog of architectural and construction document templates including various forms, agreements, and exhibits for project management and documentation.
See template
See template
NSERC Alliance Grants
PDF template
Funding program encouraging university researchers to collaborate with partner organizations across private, public, and not-for-profit sectors to generate new knowledge and create benefits for Canada.
See template
See template
REVISED BUDGET FORM
PDF template
A form for documenting and revising budget line items for a fiscal year grant project.
See template
See template
What To Do In Case Of An Accident
PDF template
A step-by-step guide for handling an automobile accident and reporting a claim to Allstate Insurance.
See template
See template
STUDENT CLASS PROJECT PROPOSAL And REQUEST FORM Form ALP 111
PDF template
A form for students to propose and request facilities for class projects in the College of Arts and Letters at California State University, Los Angeles
See template
See template
STUDENT CLASS PROJECT PROPOSAL And REQUEST FORM Form ALP 111
PDF template
A form for students at California State University, Los Angeles to propose and request facilities for class projects in the College of Arts and Letters.
See template
See template
AM 501 11 Vehicle Damage And Malfunction
PDF template
Procedures and responsibilities for reporting and managing vehicle damage, malfunctions, and accidents within an organization.
See template
See template
City Of Waupaca Dental Amalgam Program Annual Report
PDF template
Annual reporting form for dental practices to document amalgam waste management and separator maintenance practices.
See template
See template
AMS Simons Travel Grant Program Mentor Trip Approval Pre Authorization Form
PDF template
Form for mentors to pre-authorize travel funding and approve research-related travel for AMS-Simons grant recipients.
See template
See template
MAR Research Project Award
PDF template
A research funding opportunity for MAR members to pursue studies advancing clinical, professional, or disciplinary knowledge with grants up to $2,000.
See template
See template
ANC 2F Grant Application Form
PDF template
A comprehensive grant application form for local community organizations seeking funding for various project types in the ANC 2F area.
See template
See template
Incident And Hazard Report Form
PDF template
A comprehensive form for reporting workplace incidents, injuries, property damage, and potential hazards within the Anglican Diocese of Melbourne.
See template
See template
Animal Incident Report Form
PDF template
A detailed form for reporting animal-related incidents involving bites, scratches, or other exposures to an animal.
See template
See template
Animal Incident Report Form
PDF template
Official form for documenting animal-related incidents involving potential exposure or injury in Volusia County, Florida.
See template
See template
Annual Body And Dash Cam Compliance Survey
PDF template
Annual survey documenting police department's body-worn and dashboard camera equipment, staffing, and policy compliance
See template
See template
Phi Delta Theta Annual Budget Form
PDF template
Annual budget form for tracking Phi Delta Theta fraternity chapter expenses and income for an academic term.
See template
See template
Annual 4 H Club Inventory Form
PDF template
A form for documenting and tracking assets and inventory items for a 4-H Club to be submitted to the Extension Office annually.
See template
See template
RPS Travel Group Annual Projected Image Competition Rules
PDF template
Rules and technical specifications for an annual photography competition for RPS Travel Group members focused on travel-themed images.
See template
See template
Carl Moyer AndOr FARMER Funding Agreement Annual Report
PDF template
Annual reporting form for tracking equipment usage and status under Carl Moyer or FARMER funding agreements.
See template
See template
Annual Report Proposition 1B Truck Replacement
PDF template
Annual reporting form for truck fleet operators participating in a vehicle replacement incentive program with air pollution control requirements.
See template
See template
NPDES Small MS4 General Permit (ARR040000) Annual Reporting Form
PDF template
Annual reporting form for municipal stormwater permit compliance and water quality management.
See template
See template
Annual Reporting Instructions
PDF template
Instructions for completing three essential documents during a curacy program, including reporting forms, skills checklist, and development plan.
See template
See template
CEPH Annual Reports Guidelines
PDF template
Guidelines for submitting annual reports for accreditation monitoring by the Council on Education for Public Health (CEPH)
See template
See template
Performance Evaluation Guidelines
PDF template
A comprehensive guide for conducting effective employee performance reviews, emphasizing continuous feedback and documentation.
See template
See template
Annual Review And Protocol Renewal
PDF template
Procedure for the Institutional Animal Care and Use Committee (IACUC) to conduct continuous protocol reviews and renewals for animal research protocols.
See template
See template
Annual Scholarship Form
PDF template
A form for donors to establish and define scholarship parameters at Santa Monica College, including funding details and student eligibility criteria.
See template
See template
Wilmington University Anonymous Incident Report
PDF template
A confidential form for reporting criminal activities, threats, and concerns within the Wilmington University community without revealing the reporter's identity.
See template
See template
Roots Of Empathy Accessibility For Ontarians With Disabilities Act (AODA) Feedback Form
PDF template
A form for providing feedback on accessibility services offered by Roots of Empathy in Ontario, designed to improve service accessibility for persons with disabilities.
See template
See template
MDHS Administrative Policy AP 45
PDF template
Policy establishing a standardized process for reporting significant events within the Mississippi Department of Human Services
See template
See template
APA Bi Annual Report To Administrative Area Supervisor
PDF template
A bi-annual reporting document for administrators to document accomplishments, challenges, projects, and professional development
See template
See template
City Of Clovis Apartment ManagerOwner Contact Form
PDF template
A form for collecting contact details for apartment owners, managers, and management companies in the City of Clovis.
See template
See template
TITLE V APPLICATION Schedule Of Compliance (FORM 1401 L)
PDF template
A form for listing emission units not in compliance with federal requirements and detailing their compliance correction schedule.
See template
See template
BOATING ACCIDENT REPORT FORM
PDF template
Official form for documenting and reporting boating accidents in California.
See template
See template
Expense Report Procedures
PDF template
Comprehensive procedures for completing and submitting corporate expense reports for Royal American Management, Inc. and affiliated companies.
See template
See template
Volunteer Application Form
PDF template
A comprehensive application form for individuals interested in volunteering with an organization supporting Disabled Veterans and Special Needs populations.
See template
See template
Incident Report
PDF template
Official form for documenting significant incidents during polo matches, including player misconduct or pony abuse.
See template
See template
Procurement Form
PDF template
A form for collecting donation and auction item details for a non-profit organization's fundraising event.
See template
See template
WORK ORDER REQUEST FORM
PDF template
A form used to establish or revise work orders, detailing project scope, budget, and contractor information.
See template
See template
Project Proposal Review Form
PDF template
A form used by the National Park Service for reviewing and proposing projects related to the Appalachian National Scenic Trail.
See template
See template
Vehicle Incident Report Form
PDF template
A comprehensive form for documenting vehicle-related accidents, injuries, and incident details.
See template
See template
Program Or Facility Complaint Form
PDF template
A form for filing complaints about programs or facilities, allowing individuals to document incident details and proposed resolutions.
See template
See template
Incident Report Form
PDF template
A confidential form for reporting workplace incidents, accidents, near misses, and potential hazards involving staff, volunteers, or contractors.
See template
See template
Student Project Form And Hazard Assessment
PDF template
A safety assessment form for engineering students conducting research, design, or testing projects with potential health and safety risks.
See template
See template
CPO
PDF template
A detailed document for tracking consultant hours, tasks, and project costs for MaineDOT.
See template
See template
Clean Water Initiative Program Project Eligibility Screening Form
PDF template
A systematic form for reviewing and screening project eligibility for clean water funding initiatives in Vermont.
See template
See template
DEQ Nonpoint Source Grant Cycle For FY2024 Round 2
PDF template
Detailed instructions and timeline for submitting grant applications to the Department of Environmental Quality for nonpoint source pollution reduction funding.
See template
See template
FMIL POU RAP SOU ZAF ENTN
PDF template
A form for reporting internal incidents or affairs, likely in Haitian Creole language.
See template
See template
INTERNAL AFFAIRS REPORT FORM
PDF template
A form for reporting allegations of misconduct against law enforcement officers, allowing individuals to document incident details and submit complaints.
See template
See template
Business Growth Accelerator (BGA) Proposed Program Budget Form
PDF template
A detailed budget form for program income, funding sources, and expenditures for the Business Growth Accelerator program.
See template
See template
Appendix E Grant Disbursement And Compliance Form
PDF template
A form for grantees to submit compliance reporting data and documentation to receive grant funds from MEDC.
See template
See template
MPERS Expense Report
PDF template
A detailed form for tracking and reporting travel-related expenses including mileage, transportation, meals, and other incidental costs.
See template
See template
VOLUNTEER INCIDENT REPORT FORM
PDF template
A form for documenting accidents, injuries, dangerous events, or near misses that occur during volunteer work for NightShift.
See template
See template
RAMAPO COLLEGE OF NEW JERSEY COMMON APPLICATION FORM
PDF template
Application form for faculty members seeking internal funding for professional development, sabbatical, or scholarship support at Ramapo College.
See template
See template
Instructions For Cost Reimbursement Budget Form And Budget Narrative
PDF template
Detailed guidelines for First 5 LA grantees on completing budget forms and budget narrative documentation for cost reimbursement agreements.
See template
See template
Complaint Resolution Process
PDF template
Outlines the complaint resolution procedure for the Riverbend Wind Energy Center project in Speaker Township.
See template
See template
Application For New Grants Under The Education Innovation And Research
PDF template
A grant application document from the U.S. Department of Education for the Education Innovation and Research program for fiscal year 2023.
See template
See template
Applicant Mentor Information Agreement Form
PDF template
A form for research project applicants to provide personal and academic details, along with mentor/faculty advisor certification and approval.
See template
See template
Statewide Local Share Account Grant Program Application Disclosure Forms
PDF template
Guidelines for non-profit organizations in Cumberland, Dauphin, and Perry Counties seeking Local Share Account grant funding through the Capital Region Economic Development Corporation.
See template
See template
Eddings Opportunity Grant Application Form
PDF template
Application form for students seeking funding for academic projects or activities through the Eddings Opportunity Grant.
See template
See template
Charitable Trust Of The Auckland Faculty Royal New Zealand College Of General Practitioners Applicat
PDF template
Comprehensive assessment form for evaluating research grant applications from general practitioners in New Zealand.
See template
See template
United Way Of Abilene Application For 2022 Community Impact Funds
PDF template
Application for funding cycle from January to December 2022 by United Way of Abilene for community programs in education, financial stability, and health.
See template
See template
Application For Cost Sharing Award (CSA) To Use LLU Basic Sciences Core Facilities
PDF template
A form for researchers to request cost-sharing support for research facility usage and explain potential research impact.
See template
See template
NCPC Submission Form
PDF template
A form for submitting building, site, or park project concepts for review by the National Capital Planning Commission.
See template
See template
Caselberg Trust Margaret Egan Cities Of Literature Writers Residency Application Form For 2023
PDF template
An application form for writers seeking a residency through the Caselberg Trust Margaret Egan Cities of Literature program in 2023.
See template
See template
Application For Posts Of EAAP Commission Officers (2023)
PDF template
Application form for individual members to apply for vacant leadership positions in the EAAP Commission.
See template
See template
Grant Application Form For Associations, Foundations, Private Companies And Individuals, Etc.
PDF template
A comprehensive grant application form for various types of organizations seeking funding from a government agency.
See template
See template
Grant Application Form For Municipalities, Regions And Combinations Of These
PDF template
A comprehensive application form for municipalities and regions seeking government grants, detailing project information, funding, and budget requirements.
See template
See template
John R. Justice (JRJ) Grant Program FY 2019 Application Packet
PDF template
Grant application packet for the John R. Justice Program administered by the Nebraska Crime Commission for legal professionals
See template
See template
Carl Moyer Memorial Air Standards Attainment Program OFF ROAD REPOWERRETROFIT INSTRUCTIONS AND ELIGI
PDF template
Instructions and eligibility criteria for the Carl Moyer Memorial Air Standards Attainment Program's off-road repower and retrofit funding application.
See template
See template
Application For Property Tax Exemption
PDF template
A form for non-profit organizations to request property tax exemption from the City of Red Deer
See template
See template
LCR High Growth Innovation Fund Applicant Guidance
PDF template
Guidance document for innovative SMEs applying to receive funding through the High Growth Innovation Fund, an extension of the Future Innovation Funding pilot program.
See template
See template
Hunter R3 Grant Application (Form 8700 348)
PDF template
Comprehensive guide for submitting a grant application for the Hunter R3 Grant Program, including submission methods and application completion steps.
See template
See template
PROJECT APPLICATION FORM
PDF template
A comprehensive project application form for church-based mission projects, requiring financial review and construction details.
See template
See template
Service Request Form
PDF template
A form for submitting and tracking information technology service requests within an organization.
See template
See template
Visegrad Artist Residency Application Form
PDF template
An application form for artists seeking residency support through the International Visegrad Fund's artist residency program.
See template
See template
STUDENT INCIDENT REPORT FORM
PDF template
A comprehensive form for documenting student incidents, including details of the event, student's account, and additional comments from faculty or preceptors.
See template
See template
Arkansas Access To Justice Foundation Grant Application
PDF template
Guidelines and application process for grants supporting civil legal aid and justice initiatives in Arkansas.
See template
See template
PARTNERSHIP AGREEMENTS STATE ARTS AGENCIES And REGIONAL ARTS ORGANIZATIONS FINAL DESCRIPTIVE REPORT
PDF template
Comprehensive reporting template for state and regional arts organizations to document grant activities, project locations, and financial details.
See template
See template
APPLICATIONS Service Request Form
PDF template
Internal form for requesting IT service and system modifications within an organization's technology infrastructure.
See template
See template
Status Inquiry Form
PDF template
A form for reporting the status of a bonded construction project, requested by a surety bond producer to track project progress and potential issues.
See template
See template
APTA Technology Terms And Conditions White Paper
PDF template
A white paper discussing technology-related terms and conditions for IT procurement contracts in public transit agencies.
See template
See template
SHORT ENVIRONMENTAL ASSESSMENT FORM
PDF template
A screening form to quickly assess potential environmental impacts of a proposed project through a series of yes/no questions.
See template
See template
Project Form
PDF template
A comprehensive form for submitting project details, including general information, project plan, sustainability assessment, and location details.
See template
See template
Administrative Regulation 310
PDF template
Establishes policies and procedures for reporting accidents involving Alabama Department of Corrections vehicles and vehicle damage.
See template
See template
Belmont Forum Registration Form
PDF template
Registration form for research project proposals under the Belmont Forum ARC 2024 initiative, covering project details and submission guidelines.
See template
See template
Draft Round 6 Proposal Form
PDF template
Official proposal form for the Sixth Call for Proposals by the Global Fund to Fight AIDS, Tuberculosis and Malaria, outlining guidelines for grant funding submissions.
See template
See template
Application For Agriculture Resource Development Loan (ARDL)
PDF template
Loan application for agricultural conservation projects in Utah, covering various resource development and conservation initiatives.
See template
See template
Area Committee Expense Report Form
PDF template
A detailed form for tracking and reporting travel, organizational, and miscellaneous expenses for reimbursement.
See template
See template
Isle Of Man Government Accident Report Form
PDF template
Official government form for documenting ship-related accidents, casualties, and incidents with detailed personnel and occurrence information.
See template
See template
ARPA Artist Grant
PDF template
Grant program for Montana-based individual artists and artist collectives to support artistic projects funded through the American Rescue Plan Act.
See template
See template
ARPA Water Sewer Infrastructure Grant Program COUNTY MAG TRANSFER REQUEST FORM
PDF template
A form for cities or towns to request transfer or addition of Minimum Allocation Grant funds for water and sewer infrastructure projects.
See template
See template
ARPA E Financial Assistance Funding Opportunity Announcement
PDF template
Document describing funding opportunity for advanced energy technology research and development by the Advanced Research Projects Agency Energy (ARPA-E)
See template
See template
AMERICAN RESCUE PLAN ACT GRANT APPLICATION FORM
PDF template
Grant application form for organizations seeking funding through Kennebec County's American Rescue Plan Act allocation of $23 million.
See template
See template
Trial Court Improvement ARPA Subgrant Policies And Guidelines
PDF template
Provides requirements and guidelines for Nevada trial courts seeking up to $200,000 in grant funding for court improvement projects.
See template
See template
Airport Rescue Grant Request For Reimbursement Form (ARPA)
PDF template
A form for Texas airports to request reimbursement for operational, maintenance, and debt service expenses under ARPA funding.
See template
See template
Accident Report Form
PDF template
A form for reporting accidents during ART teaching activities, used to comply with public liability insurance requirements.
See template
See template
RESIDENCY INFORMATION 202223
PDF template
A comprehensive guide to the residency program at Fire Arts, Inc., a non-profit organization dedicated to three-dimensional arts.
See template
See template
Westlake Porter Public Library ArtWalk Submission Form
PDF template
Guidelines and submission form for community art display at Westlake Porter Public Library's ArtWalk program for local artists.
See template
See template
ASAP Budget Form
PDF template
A comprehensive budget form for tracking operational costs, programming, and strategic planning expenses across multiple categories.
See template
See template
Economic Development Administration Automated Standard Application For Payments (ASAP) Enrollment Fo
PDF template
Form for organizations to enroll in the Economic Development Administration's payment system with organizational and contact details.
See template
See template
SCHOLARSHIPNEW ACCOUNT FORM
PDF template
A form for establishing a new scholarship account, detailing requirements, approvals, and account opening procedures for student scholarships.
See template
See template
Student Accident Report Form
PDF template
Comprehensive form documenting details of student accidents and injuries within a school district setting.
See template
See template
Employee Handbook
PDF template
Comprehensive guide outlining employment policies, employee conduct, compensation, and workplace guidelines for ASF employees.
See template
See template
ASI Travel Policy
PDF template
Policy document governing travel guidelines for ASI staff and student employees at California State University San Marcos.
See template
See template
Alabama State Port Authority Truck Control Terminal
PDF template
A form for truck drivers to provide required information for delivering cargo at an Alabama port terminal.
See template
See template
2018 Letter Of Inquiry Form
PDF template
A grant application form for organizations seeking funding from the ASPCA for animal welfare projects
See template
See template
SDMC A.S. Senator Remote Attendance Info Sheet
PDF template
Guidelines for SDMC A.S. Senators attending meetings remotely, including requirements and form submission process.
See template
See template
Pecan First Handler Assessment Form
PDF template
A monthly reporting form for pecan handlers to record commodity purchases and submit assessments to the Georgia Agricultural Commodity Commission for Pecans.
See template
See template
Assessment Submission Form
PDF template
A comprehensive form for documenting academic program assessment results, outcomes, and future planning for academic year 2023-2024.
See template
See template
Assessment Submission Form
PDF template
A form for submitting academic program assessment results, evaluating performance and identifying improvement areas.
See template
See template
Reimbursement Guidelines For Funded Attendees
PDF template
Guidelines for travel expense reimbursement for funded attendees, including transportation, meals, and lodging expenses.
See template
See template
Process For Submitting American Tree Farm System Inspections
PDF template
Detailed procedural guide for Tree Farm inspectors on how to submit and process land parcel inspections in the American Tree Farm System database.
See template
See template
Athena Spectrum Licence Options Additional Services
PDF template
Comprehensive software suite for independent training providers designed to streamline learner journey processes and management.
See template
See template
ATHLETICS PURCHASE ORDER REQUEST FORM
PDF template
A form used to request purchases for athletic department activities, requiring approval from advisors and athletic directors.
See template
See template
Hydra Kool Coolers Order Form
PDF template
Order form and instructions for purchasing Hydra Kool Coolers for schools, non-profits, and other establishments with detailed submission requirements.
See template
See template
Feedback Form
PDF template
A form for collecting public input and comments about a bicycle infrastructure project.
See template
See template
Accessible Technology Purchase Form
PDF template
Form for requesting electronic and information technology purchases to ensure accessibility for students and users in academic settings.
See template
See template
Spending Plan
PDF template
A comprehensive financial worksheet for tracking monthly income, expenses, and financial obligations.
See template
See template
FY 2023 Earmark Repurposing Process
PDF template
Guidance for states to request repurposing of federal highway earmark funds with specific procedural steps and deadlines.
See template
See template
WIOA Title I Local Budget Instructions
PDF template
Instructions for submitting local budget documentation for WIOA Title I funding, including required spreadsheets, narratives, and submission process.
See template
See template
Sample Submission Form
PDF template
A form for filing complaints or concerns about AIIB-financed projects, allowing individuals to report potential environmental or social policy violations.
See template
See template
RH RFA 2020 001 Grant Application Form
PDF template
A comprehensive form for submitting a grant application with requirements for organizational details, program description, and implementation plan.
See template
See template
FINAL PERMIT AKG523000 Annual Report
PDF template
Annual reporting form for vessels discharging pollutants to Alaska waters under General Permit AKG523000, tracking seafood processing waste and discharge details.
See template
See template
Attachment H Budget Form Instructions
PDF template
Detailed step-by-step instructions for completing a multi-year budget form and narrative in Excel.
See template
See template
RFEP 01, ATTACHMENT B.1 EXPERIENCE FORM
PDF template
A form for solar energy project providers to document team experience and contact information for a Montgomery County energy proposal submission.
See template
See template
Sample Submission Form
PDF template
A form for filing complaints or queries about AIIB-financed projects, allowing individuals to report potential policy violations or project impacts.
See template
See template
EMS Attendance
PDF template
Procedure for tracking event registrant attendance using the Events Management System, including creating sign-in sheets, entering attendance, and viewing attendance reports.
See template
See template
WCA Benefit Auction Procurement Form
PDF template
Form for collecting donation details for Wake Christian Academy's benefit auction, including donor information and item specifics.
See template
See template
Audit Report
PDF template
A financial audit report form for PTA/PTSA units to document and verify financial records and transactions.
See template
See template
California State PTA Toolkit Audit Report
PDF template
A comprehensive financial audit form for tracking and verifying PTA unit financial records, receipts, and disbursements.
See template
See template
Unit Audit Form
PDF template
A financial review form for documenting the audit of an American Legion Auxiliary unit's financial records.
See template
See template
AU REQUISITION FORM
PDF template
Internal form for submitting purchase requests and obtaining procurement approvals at Alfred University.
See template
See template
AUTHOR FORM
PDF template
A form defining author contributions and responsibilities for a scientific publication according to ICMJE guidelines.
See template
See template
AUTHOR CONTRIBUTION FORM
PDF template
A comprehensive form for documenting individual author contributions to a research manuscript according to specific criteria and guidelines.
See template
See template
Authorship Agreement Form
PDF template
A form documenting individual contributions and authorship criteria for academic or medical research publications.
See template
See template
Authorship Agreement Form
PDF template
A form defining authorship contributions and responsibilities for a research manuscript.
See template
See template
DriverS Accident Report Form
PDF template
A comprehensive form for documenting details of a vehicle accident, including driver, vehicle, and accident information.
See template
See template
Auto Accident Report Form
PDF template
A comprehensive form for documenting details following a motor vehicle accident, including vehicle, driver, and injury information.
See template
See template
Automobile Accident Report
PDF template
Comprehensive form for reporting vehicle accidents involving University of Delaware vehicles or employees
See template
See template
Auto Accident Report Form
PDF template
A comprehensive form for documenting details of a vehicle accident involving Oregon State University personnel, vehicles, or property.
See template
See template
Vehicle Accident Report Form
PDF template
A comprehensive form for documenting details of a vehicle accident, including driver, vehicle, damage, and witness information.
See template
See template
AUUC Rental Procedures
PDF template
Comprehensive guidelines for renting space at Accotink Unitarian Universalist Church, including reservation process, room descriptions, and usage rules.
See template
See template
Sample Auxiliary Audit Form Instructions
PDF template
Detailed instructions for completing a financial audit form for Veterans of Foreign Wars (VFW) Auxiliary chapters.
See template
See template
VFW Auxiliary Report Form
PDF template
Annual reporting form for Veterans of Foreign Wars (VFW) Auxiliary detailing program activities, projects, and member participation.
See template
See template
Awards Night Purchase Form
PDF template
Registration form for purchasing event tickets, ad space, and sponsorship levels for Philadelphia Area Project on Occupational Safety and Health Awards Night.
See template
See template
OIG 1 156 Incident Report Form Instructions
PDF template
Guidance for filing and completing incident reports for the U.S. Department of Labor's Employment and Training Administration
See template
See template
2022 Annual Academic Assessment Report Form
PDF template
Annual reporting document for academic programs to document assessment activities, student learning outcomes, and institutional competencies at the University of Alaska Anchorage.
See template
See template
Arizona 4 H Accident Incident Report Form
PDF template
A comprehensive form for documenting accidents, incidents, and injuries during University of Arizona Cooperative Extension (UACE) 4-H programs and events.
See template
See template
Az Dps Accident Report Request
PDF template
A document for requesting accident reports from Arizona's Department of Public Safety with details about filing and obtaining crash reports.
See template
See template
General Instruction Manual For Texas Title Insurance Agent Experience Report Submission
PDF template
Comprehensive guide for Texas title insurance companies and agents to submit their annual experience report to the Texas Department of Insurance.
See template
See template
Copley Hospital, Inc. FY2019 Proposed Budget Salary Information
PDF template
Detailed salary range analysis for Copley Hospital staff, including compensation data and benchmarking information for fiscal year 2019.
See template
See template
Preliminary Agenda Meeting
PDF template
Local government meeting agenda covering budget, elections, grants, and administrative matters for December 13, 2022.
See template
See template
American Federation Of Musicians Report Form
PDF template
Official document for reporting details of music recording sessions, including performer and production information for the American Federation of Musicians.
See template
See template
Departmental Accidents
PDF template
A general order defining procedures for reporting and managing departmental vehicle accidents and collisions for Sheriff's Office personnel.
See template
See template
FORM B 7REV. 3 03 AMERICAN FEDERATION OF MUSICIANS REPORT FORM
PDF template
Official form for documenting music recording sessions for motion pictures, television, and other media productions
See template
See template
Breakfast After The Bell Equipment Grant Application Form
PDF template
A grant application for School Food Authorities to request funding for breakfast equipment up to $5,000 per eligible school.
See template
See template
Background Check Consent Form
PDF template
A consent form allowing criminal history record disclosure for a non-profit organization's application process.
See template
See template
GRANT APPLICATION FORM
PDF template
A comprehensive grant application form for non-profit organizations seeking funding from the Sidney R. Baer, Jr. Foundation.
See template
See template
Grant Application Form
PDF template
A comprehensive form for non-profit organizations seeking grant funding from the Sidney R. Baer, Jr. Foundation, detailing submission requirements and application process.
See template
See template
Business Affairs Funding Request Form
PDF template
Internal form for requesting non-position-related funding for special projects, contracts, or emergencies.
See template
See template
Ball Park Damage Report Form
PDF template
A form for documenting and reporting damage to a ball park facility in the Town of Wakefield.
See template
See template
BANNER UNIX ACCOUNT APPLICATION FOR EMPLOYEES
PDF template
Form for employees to request access to various Banner modules and Unix accounts at Texas Southern University
See template
See template
BANNER UNIX ACCOUNT APPLICATION FOR EMPLOYEES
PDF template
Form for requesting access to Banner and Unix system modules for Texas Southern University employees
See template
See template
BANNER BUDGETS Quick Reference Guide
PDF template
A reference document for navigating budget management systems and accessing financial information in the Banner system.
See template
See template
Basic Budget Form
PDF template
A financial document for breaking down project costs, requesting funds, and detailing matching funds sources.
See template
See template
ACHD Bathing Place Incident Report Form
PDF template
A comprehensive form for reporting incidents and injuries at public bathing facilities, including water rescues and medical treatments.
See template
See template
BAT SUBMISSION FORM
PDF template
A form for reporting bat encounters and potential exposure, used by veterinary clinics and animal shelters to notify Public Health about bat specimens.
See template
See template
Incident Report Procedure
PDF template
A comprehensive procedure for managing and reporting incidents involving Best Buddies members, volunteers, and staff, focusing on safety and proper response protocols.
See template
See template
BBSRC Standard Research Grant
PDF template
Research funding opportunity for UK-based researchers in higher education, research institutes, and approved independent research organizations offering grants up to 2 million.
See template
See template
Sport Injury Accident Report Form
PDF template
A comprehensive form for documenting sports-related injuries or accidents during an event, capturing details about the injured person and medical response.
See template
See template
Frequently Asked Questions FY 2018 2019 Funding Opportunity Announcement (FOA)
PDF template
Detailed guidance on budget, costs, and financial requirements for research grant programs in Florida.
See template
See template
Bridge Construction Records Procedures Manual
PDF template
A manual detailing procedures for reporting and investigating incidents in bridge construction work, including definitions of incidents, accidents, and near-misses.
See template
See template
NEVADA SYSTEM OF HIGHER EDUCATION PURCHASING, CONTRACTING FIXED ASSETS GUIDELINES
PDF template
Comprehensive guidelines for purchasing, contracting, and fixed asset management within the Nevada System of Higher Education
See template
See template
BCS Fellow (FBCS) Application Guidance For OMs
PDF template
Comprehensive guidance for professionals applying to become a BCS Fellow, detailing application requirements and criteria.
See template
See template
Brazos County Youth Livestock Show FCS Show Project Form
PDF template
A form for youth to document project details for the Brazos County Youth Livestock Show in categories like baked goods, canned goods, sewing, arts & crafts, woodworking, and metalworking.
See template
See template
Law Enforcement Guide For Reporting Drivers To WI DMV
PDF template
A guide for law enforcement professionals to report potentially unsafe drivers to the Wisconsin Department of Motor Vehicles for medical review.
See template
See template
BE 11 Claim For Not Filing
PDF template
Mandatory confidential form for reporting exemption status for annual survey of U.S. direct investment abroad.
See template
See template
BE 13 Claim For Exemption
PDF template
Survey collecting data on foreign investors' acquisition or establishment of U.S. business enterprises and their expansions.
See template
See template
BearBuy Forms
PDF template
A comprehensive guide to procurement forms and processes for purchasing at UC Berkeley, covering various form types and usage guidelines.
See template
See template
COVID 19 BUSINESS SUSTAINABILITY CONTINUITY FUNDING PROGRAMME APPLICATION FORM
PDF template
Application form for small and medium businesses seeking financial support during the COVID-19 pandemic through direct micro loans and grants.
See template
See template
Implementation Budget Transfer Request Attestation Transfer Request Form
PDF template
A form for requesting customer-to-customer transfer of Implementation Budget funds with specific transfer and attestation requirements.
See template
See template
CSL Online Charity License Application Instructions
PDF template
Guide for completing an online charity license application with requirements for documentation, payment, and user registration.
See template
See template
Bellin College Incident Report Form
PDF template
A form used to document and report incidents occurring at Bellin College, capturing details about the event, involved parties, and actions taken.
See template
See template
Benefit Cost Analysis For Grant Applications
PDF template
A comprehensive form for evaluating and documenting grant proposal details, benefits, costs, and funding parameters.
See template
See template
Commercially Useful Function (CUF) Project Site Review Form
PDF template
A form for reviewing Equitable Business Enterprises (EBEs) to ensure they are performing a commercially useful function on construction projects.
See template
See template
Employee Handbook
PDF template
Comprehensive guide for employees detailing organizational policies, benefits, and expectations for staff working with youth services organization.
See template
See template
Total Performance Guide To The Kaiser Permanente Behaviors
PDF template
A comprehensive guide for managing organizational and individual performance, focusing on behaviors and performance evaluation processes.
See template
See template
BID CLARIFICATION On DECLARATION FORM
PDF template
Guidance document explaining how to correctly complete UNICEF's declaration form for bidders, with instructions on interpretation of YES and NO responses.
See template
See template
Biodiversity Investment Fund (BIF) Stage 2 Application Help Notes
PDF template
Guidance document for completing the Stage 2 application for the Biodiversity Investment Fund, providing instructions and application process details.
See template
See template
Billing FormResearch
PDF template
Form for requesting payment and invoicing for research-related expenses from a funding organization.
See template
See template
BIOLOGY 479.3 Literature Research Proposal Form
PDF template
A form for students to propose and outline a research project in biology, including project details, assessment metrics, and supervisor approval.
See template
See template
UH IBC Biological Laboratory Incident Report Form
PDF template
A comprehensive form for reporting biological incidents, injuries, or near misses in a laboratory setting, requiring documentation within 24 hours.
See template
See template
Accident Report Form
PDF template
Comprehensive form documenting details of a workplace accident, injury specifics, and follow-up actions.
See template
See template
Domestic Vs Wild Mammal Incident Report Form
PDF template
Form for reporting domestic and wild mammal interactions, primarily used to track potential rabies exposure incidents in Los Angeles County.
See template
See template
Grant Application Form
PDF template
Application form for organizations seeking grants from Texas Pride Impact Funds focused on supporting LGBTQ+ communities.
See template
See template
Maintenance Request Work Order
PDF template
A form for documenting maintenance requests, work assignments, and completion details for property management.
See template
See template
Professional Development Feedback Form
PDF template
A form designed to capture key learnings, implementation plans, and expected outcomes from a professional development session.
See template
See template
Blood Body Fluid Exposure Report
PDF template
A form documenting blood or body fluid exposure incidents for students, tracking medical testing and follow-up procedures.
See template
See template
Incident Report Form
PDF template
A comprehensive form for reporting various types of incidents, accidents, or unsafe conditions on campus.
See template
See template
Classical Premiere Report Form
PDF template
A form for reporting new classical music performances and premieres to BMI for documentation purposes.
See template
See template
County Contracting Activities Board Policy 5.4
PDF template
A comprehensive policy document outlining the requirements and guidelines for contracting activities within the County of Santa Clara.
See template
See template
Reporting A Boating Accident
PDF template
Instructions for reporting boating accidents in Virginia, including when and how to file a report with the Department of Wildlife Resources.
See template
See template
Tips For Plant Bank Of America Works Pcard Purchase Request Form
PDF template
Instructions for completing purchase card transactions and handling pending and flagged transactions in the BOA Works system.
See template
See template
Boller Worcester Travel Grant Application Form
PDF template
Application form for graduate students seeking funding for academic travel, conferences, research, or job interviews.
See template
See template
BondMylar Applicant Contact
PDF template
Form for capturing contact information of the primary applicant and an alternate representative for a subdivision project's bonding and document review process.
See template
See template
Volunteer Application Form
PDF template
Comprehensive application form for individuals interested in volunteering with a Home Health & Hospice organization, collecting personal, contact, and volunteer preference information.
See template
See template
Sponsorship Booking Form
PDF template
A form for organizations to provide financial sponsorship for an EMBL event, including sponsorship details, payment terms, and logo usage rights.
See template
See template
Replication Application Evaluation Criteria
PDF template
Comprehensive guide for evaluating charter school replication applications, providing detailed criteria and rating methodology for authorizers.
See template
See template
HAZING REPORT FORM FOR ORGANIZATIONS
PDF template
Standardized form for reporting hazing incidents involving organizations affiliated with postsecondary institutions, as required by Act 382 of 2019.
See template
See template
Lower Gwynedd Township Board Of Supervisors Regular Meeting Minutes
PDF template
Minutes documenting a regular meeting of the Lower Gwynedd Township Board of Supervisors discussing grant funding opportunities and local governance matters.
See template
See template
Unemployment Insurance Benefit Payment Guidance
PDF template
Instructions for employers on preventing improper unemployment insurance benefit payments and reducing potential tax impacts.
See template
See template
Board Policy Resolution No. 30 (BP 30) Incident Reports
PDF template
A board policy resolution outlining procedures for reporting and handling incidents at Recreation Centers of Sun City, including authority to suspend cardholder privileges.
See template
See template
Trust Fund RenovationConstruction Project Form CDFRM
PDF template
Official form for documenting and requesting renovation or construction projects for prison trust fund facilities and areas.
See template
See template
Application For Grant Funding
PDF template
A grant funding application for non-profit organizations, schools, or teams seeking financial support from the Bridgeport Field of Dreams Foundation.
See template
See template
BREW HA HA Comedy Night Dad Joke Competition Entry Form Sponsorship Information Packet
PDF template
A comedy night and dad joke competition fundraiser to support New Mexican families affected by cancer, hosted by Tractor Brewing Company.
See template
See template
Credit Card Pre Authorization Form
PDF template
A form for setting up recurring monthly donations to Back to the Bible Canada via credit card.
See template
See template
Budget 101 Workshop
PDF template
A comprehensive workshop detailing the budget development process, fund types, and financial management for a university.
See template
See template
Budget Adjustment
PDF template
Document describing procedures for modifying budgets through fund transfers, increases, and decreases across projects and categories.
See template
See template
Budget Billing Form
PDF template
A utility billing program that averages monthly utility charges to provide consistent monthly payments for residential customers.
See template
See template
NEA Application
PDF template
A detailed budget application form for requesting funds from the National Endowment for the Arts, documenting project income and expenses.
See template
See template
Budget Expense Transfer Request Form
PDF template
A form for transferring budgets or expenses within an educational institution's financial system.
See template
See template
ORIGINALNEW BUDGET
PDF template
A form for establishing original or newly awarded budgets across multiple expense categories with multiple signature approvals.
See template
See template
Budget Form 1 Guidelines For Preparation Of Budget Forms
PDF template
Comprehensive guidelines for preparing and completing a set of budget forms for grant proposal submissions.
See template
See template
Stafford Loan Budget Form 2020 2021
PDF template
A financial aid form for students to document academic expenses and funding sources for potential student loan borrowing.
See template
See template
Individual Budget Form For The Year 2022
PDF template
A budget form for individual financial contributions with guidance from religious leadership about charitable giving and spiritual accountability.
See template
See template
NOAA Sea Grant Program Budget Form
PDF template
Budget form for National Oceanic and Atmospheric Administration (NOAA) Sea Grant program research project funding
See template
See template
Walter And Constance Burke Research Initiation Award Budget Form
PDF template
A comprehensive budget form for research funding that breaks down expenses across multiple categories including hardware, software, supplies, travel, and other expenses.
See template
See template
Budget Revision Request
PDF template
A form for requesting budget transfers, increases, or revisions within Bowie State University's financial system.
See template
See template
CCA GRANT APPLICATION BUDGET FORM
PDF template
A comprehensive financial form for grant applicants to detail project income, expenses, and funding request from CCA.
See template
See template
Budget Form Instructions
PDF template
Detailed instructions for completing a budget form for grant applications from Maryland Humanities, including eligible and ineligible expenses and matching fund requirements.
See template
See template
Activity Budget
PDF template
A financial form for tracking school activity fund receipts and expenditures for a specific sport or activity
See template
See template
Monthly Budget
PDF template
A comprehensive worksheet for tracking personal income, expenses, and financial planning across various spending categories.
See template
See template
Budget Form Training To Competence Externship
PDF template
A budget form for applicants seeking funding for an externship program, requiring detailed expense documentation and submission at least one month prior to start date.
See template
See template
F. BUDGET FORM
PDF template
Budget form detailing income and expenses for a teen mentoring program, including funding request from the Sisters of Charity Foundation.
See template
See template
Potomac College Proposed Budget
PDF template
Budget proposal for Potomac College's Title I Perkins Grant for fiscal year 2018, detailing proposed expenditures across various categories.
See template
See template
GRADUATE ASSISTANCE IN AREAS OF NATIONAL NEED (GAANN) FELLOWSHIP PROGRAM
PDF template
A federal funding form for graduate fellowship program budgeting in chemistry, detailing federal and institutional financial contributions.
See template
See template
National Historical Publications And Records Commission Budget Form
PDF template
A comprehensive budget form for submitting project costs to the National Historical Publications and Records Commission.
See template
See template
Budget Form Reproductive Health Externship Clinical Abortion Observation
PDF template
A form for medical students to document and request funding for expenses related to a reproductive health externship or clinical abortion observation program.
See template
See template
SAMHSA Budget Guidance
PDF template
Comprehensive budget guidance document providing detailed instructions for budget preparation and cost management for SAMHSA funding recipients.
See template
See template
UC Merced IncomeExpense Budget Form Financial Independence
PDF template
A form for undergraduate students under 24 to document financial independence for tuition purposes at UC Merced.
See template
See template
Budget Information And Instructions
PDF template
Comprehensive guide for preparing budget documentation for National Endowment for the Humanities (NEH) grant applications.
See template
See template
Columbia Kootenay Cultural Alliance Application Package 6 Major Projects Arts Culture Project Appl
PDF template
Budget application form for cultural projects seeking funding from the Columbia Kootenay Cultural Alliance (CKCA)
See template
See template
Columbia Kootenay Cultural Alliance Application Package 2 Minor Capital Arts Project Application Fo
PDF template
Budget application form for arts project funding from the Columbia Kootenay Cultural Alliance, detailing project revenues and expenses.
See template
See template
Northwestern University InvestigatorS Budget Form
PDF template
A comprehensive budget form for research project direct costs and budget period details.
See template
See template
Initial Budget Form
PDF template
A comprehensive budget form for research project funding allocations across various expense categories.
See template
See template
Budget And Expense Transfer Request Form
PDF template
A form for transferring budgets, expenses, or revenues between different accounts or departments within an organization.
See template
See template
INITIAL BUDGET FORM
PDF template
A form for modifying budget allocations for grant or contract awards at Southern University and A&M College.
See template
See template
Budget Revision Instructions
PDF template
A comprehensive guide for preparing and submitting budget revisions, detailing requirements, instructions, and accounting procedures.
See template
See template
Scholarship Budget Form For Upcoming Academic Year
PDF template
A comprehensive financial planning form for students to track resources, expenses, and potential budget shortfalls for an academic year.
See template
See template
Fund Transfer Request
PDF template
A document for requesting internal fund transfers between accounts within the university's financial system.
See template
See template
Budget Transfer Request Form
PDF template
A form used to request the transfer of funds between different budget categories within a specific resource.
See template
See template
Budget Transfer Request Form
PDF template
A form used to transfer funds within an organization, requiring multiple approvals and detailing account transfers.
See template
See template
BUDGET TRANSFER REQUEST FORM
PDF template
A form used to request and document financial budget transfers between different fund, organization, account, and program (FOAP) codes.
See template
See template
Budget Transfer Request Form
PDF template
A form for transferring funds between accounts within the same fund and organization at Western University of Health Sciences.
See template
See template
Budget Transfer Request Form
PDF template
A form for requesting and documenting internal budget transfers between accounts with required signatures and justification.
See template
See template
Budget Transfer Request
PDF template
A financial form for transferring funds between different account lines and tracking organizational expenses.
See template
See template
UIC InvestigatorS Budget Form
PDF template
A comprehensive budget form for documenting research project direct costs and personnel expenses.
See template
See template
Resolution Adopting The Budget
PDF template
Budget resolution for the fiscal year 2021-2022 by the Umpqua Public Transportation District, detailing fund allocations and total budget.
See template
See template
Budget Development
PDF template
A guide for preparing research grant proposals with tips on budget preparation, documentation, and submission process for the UW-L Office of Research & Sponsored Programs.
See template
See template
Building Security ClearanceSpecial Access Form
PDF template
A form for requesting building access and security clearance for contractors and subcontractors at a Cushman & Wakefield managed property.
See template
See template
Building Incident Report Form
PDF template
A form used to record and track building-related issues and incidents, maintaining a comprehensive log of problems and actions taken.
See template
See template
Building Use Handbook
PDF template
A comprehensive guide for renting and using spaces in the Gloucester Unitarian Universalist Church building, outlining rental procedures, usage conditions, and responsibilities.
See template
See template
Inventorying And Scheduling Records
PDF template
A guide for local governments on inventorying, appraising, and scheduling records management processes and developing records control schedules.
See template
See template
Bullying, Harassment And Inappropriate Behavior Report Form
PDF template
A confidential form for reporting incidents of bullying, harassment, or inappropriate behavior at Chrysalis Charter School.
See template
See template
Bullying Incident Report Form
PDF template
A comprehensive form to document and report instances of bullying in a school setting.
See template
See template
DeKalb County School District BullyingHarassmentHazing Report Form
PDF template
A comprehensive form for reporting incidents of bullying, harassment, or hazing within the DeKalb County School District.
See template
See template
MCCC Course Outline Human Resources Management
PDF template
A comprehensive course outline for studying human resources management principles, processes, and strategic approaches in business environments.
See template
See template
BUSF 2.09 Inter Departmental Transfers (Between State Agencies)
PDF template
Policy governing financial transfers between state agencies for goods and services exceeding $999.99 through the State Comptroller General's Office.
See template
See template
GLENVILLE STATE COLLEGE REQUISITION FORM
PDF template
A comprehensive form for requesting expenditures, events, and travel at Glenville State College.
See template
See template
Business Membership Form
PDF template
Annual membership form for businesses to join the Rome Art & Community Center with various membership levels and sponsorship opportunities.
See template
See template
Purchasing Procedures For Department Of Chemistry
PDF template
Detailed guidelines for purchasing procedures and processes within the Chemistry Department at Indiana University.
See template
See template
Business Management Plan Index
PDF template
A comprehensive guide for developing a structured business plan covering key sections such as business description, marketing, and financial planning.
See template
See template
Butte County Fair Association CEO Recruiting Package
PDF template
Job posting for a Chief Executive Officer position responsible for managing fairground facilities and implementing the organization's vision and policies.
See template
See template
Byron Herbert Reece Farm And Heritage Center Facility Rental Policies
PDF template
Comprehensive guidelines for renting the pavilion at Byron Herbert Reece Farm & Heritage Center for weddings, reunions, and other events.
See template
See template
Construction Manager Agreement Form (OSFCK 12 School Project)
PDF template
A professional services agreement for construction management of a public school facility project in Ohio, outlining scope of work, budget, and contractual obligations.
See template
See template
Data Processing Agreement Whistleblowing System
PDF template
Agreement governing the data processing and privacy requirements for a digital whistleblowing system provided by Compliance.One GmbH.
See template
See template
CEDS Project Form
PDF template
A form for submitting project details with guidelines for completion and two submission standards.
See template
See template
Equipment Rental Procedure
PDF template
Guidelines for managing equipment rental agreements and notifications in construction projects under Florida Department of Transportation specifications.
See template
See template
C72 Project Closeout Checklist
PDF template
A comprehensive checklist for closing out construction projects in higher education, tracking key milestones and responsibilities for contractors, designers, and users.
See template
See template
AccidentIncident Investigation Recording Policy
PDF template
A comprehensive policy for recording, investigating, and reporting accidents, incidents, and near misses within an educational trust.
See template
See template
Project Application Instructions
PDF template
Comprehensive instructions for completing the HUD CoC Project Application, including preparation steps and key requirements for funding applicants.
See template
See template
Accident Report Form
PDF template
A form for collecting comprehensive details about a vehicle accident for insurance claim purposes.
See template
See template
Application For Employment
PDF template
Job application form for Community Action Coalition for South Central Wisconsin, seeking to hire employees while promoting equal opportunity employment.
See template
See template
CAL Hiring Request Form
PDF template
An internal form used to request and approve hiring a new position within an academic department.
See template
See template
Caltrans District 1 Scholarship Application
PDF template
Scholarship application for students interested in pursuing a career in transportation, offered by Caltrans District 1 in Eureka, California.
See template
See template
AccidentIncident Reporting Form
PDF template
A comprehensive form for documenting accidents and incidents involving coaches, fencers, and members of the public during fencing activities.
See template
See template
Campaign Report Form
PDF template
A comprehensive form for tracking and reporting organizational campaign contributions, donations, and fundraising activities.
See template
See template
Self Evaluation Report Feedback Form
PDF template
A form for providing feedback on Mount San Antonio College's draft self-evaluation report for accreditation purposes.
See template
See template
Safety ConcernsHazard Report Form
PDF template
A form for reporting and tracking safety hazards or concerns within a university campus environment.
See template
See template
SAFETY CONCERNSHAZARD REPORT FORM
PDF template
A form for reporting safety concerns and potential hazards on campus by faculty, staff, or students.
See template
See template
Vehicle Accident Report
PDF template
A comprehensive form for documenting details of a vehicle accident involving university personnel or on university property.
See template
See template
Campus Security Authority Crime Report Form
PDF template
A form for reporting crimes on campus by designated campus security authorities to track and document potential criminal incidents.
See template
See template
EXHIBIT A FOOD EXPENSE APPROVAL FORM
PDF template
A form for documenting and obtaining approvals for food-related expenses in an organizational setting.
See template
See template
Catering Request Form
PDF template
A form for submitting catering requests for events at Kent Law School, including budget and event details.
See template
See template
Terra Capacity Building Grant Application Form
PDF template
A grant application form for K-12 schools and educational nonprofits seeking funding for innovative educational projects.
See template
See template
CAP FORM M202 Construction Manager Interview Evaluation Form
PDF template
A standardized form for evaluating construction management firms during interview selection process.
See template
See template
CAPITAL BUDGET AND APPROVAL PROCESS
PDF template
Policy defining the process for capital expenditure requests, approval, and authorization for purchases over $5,000 with a life expectancy of two years or more.
See template
See template
Capital Budget Request Form Sample
PDF template
A document used to request and document capital expenditure budgets for organizational projects and initiatives.
See template
See template
Capital Equipment Evaluation Form
PDF template
A comprehensive form for evaluating and requesting capital equipment purchase, detailing funding, purpose, and usage.
See template
See template
Capital Equipment Evaluation Form
PDF template
A comprehensive form for requesting and evaluating capital equipment purchases across different organizational purposes.
See template
See template
Capital Equipment Request Form
PDF template
A standardized form for collecting and approving capital funding requests at Milton Academy
See template
See template
Capital Request Form
PDF template
Internal financial document for requesting capital funds and project approval within an organization
See template
See template
CAPITAL REQUEST FORM
PDF template
A formal document for submitting and tracking proposed capital expenditures for equipment, furniture, and major investments not included in the operating budget.
See template
See template
State University Of New York Capital Project Qualifications
PDF template
Guidelines for qualifying minor critical maintenance projects at State University of New York with specific criteria and budget constraints.
See template
See template
Online Capital Request System Upgrade
PDF template
Documentation for an upgraded online system for submitting and managing capital budget requests with new features and user roles.
See template
See template
Undergraduate Capstone Agreement
PDF template
A form for undergraduate students to document and obtain approval for their capstone project in the Department of Entomology.
See template
See template
Volunteer Application
PDF template
A comprehensive form for individuals seeking to volunteer, detailing personal information, required documents, and consent requirements.
See template
See template
CARB Board Minutes
PDF template
Minutes from a board meeting discussing a low-interest loan program for small airports with less than 75,000 commercial enplanements.
See template
See template
Carrier Contact Form
PDF template
Form for collecting contact details and information for workers' compensation insurance carriers in Utah.
See template
See template
SUBMISSION FORM FOR STUDENT WORK IN DIGITIZED FORMAT
PDF template
A form for students to submit their academic project in digital format during graduation process.
See template
See template
CASE RESEARCH And DEVELOPMENT GRANT APPLICATION FORM
PDF template
A comprehensive grant application form for research funding at the University of North Alabama, requiring detailed budget and submission of supporting materials.
See template
See template
Cash Incident Report
PDF template
A form used to document and report cash discrepancies in financial transactions at an organization.
See template
See template
CATCH A Serial Offender Program Sample Form
PDF template
A confidential form for adult sexual assault victims to provide information about a suspected serial offender in the Department of Defense.
See template
See template
Patient Medical Information Form
PDF template
Comprehensive medical intake and tracking form for patient demographics, facility details, and medical specimen information.
See template
See template
Proposal Budgets Module 6
PDF template
Training module on creating research proposal budgets using Cayuse S2S software, covering key budget concepts and budget management techniques.
See template
See template
CBA Grants Application Checklist
PDF template
A comprehensive checklist for applicants seeking grants from the CBA, detailing required documents and submission guidelines.
See template
See template
Casco Bay Estuary Partnership Community Grant Application Form
PDF template
A grant application form for community projects related to the Casco Bay Estuary Partnership's environmental themes and plan.
See template
See template
CBNA Travel Policies And CDB Travel Award
PDF template
Comprehensive travel expense and reimbursement policy for CBNA with details on submission process, funding sources, and travel awards.
See template
See template
BADGE REQUIREMENTS LACS CARD REQUIREMENTS
PDF template
Comprehensive guide outlining acceptable forms of identification for citizenship verification and badge issuance.
See template
See template
Community Benefit Application Form
PDF template
An annual application process for community facilities and small businesses to receive support for community development projects from Sennit Construction.
See template
See template
Child Care Attendance Forms And Reimbursement Guidelines
PDF template
Guidelines for processing child care attendance forms and reimbursement for Solano Family & Children's Services providers.
See template
See template
Backflow Incident Report Form
PDF template
A form for reporting water system backflow incidents, detailing contamination sources, effects, and corrective actions.
See template
See template
Backflow Incident Report Form
PDF template
A form for reporting water supply contamination incidents involving backflow, used to document details of potential water quality hazards.
See template
See template
Countryside Community Center Rental Rules And Regulations
PDF template
Comprehensive guidelines for renting and using the Countryside Community Center, outlining reservation procedures, insurance requirements, and facility usage rules.
See template
See template
Social Media Release Form
PDF template
A consent form allowing the Association for Creatine Deficiencies to use an individual's photograph and quote for awareness campaigns.
See template
See template
Compliment And Complaint Form
PDF template
A form for collecting client feedback, complaints, and compliments about services provided by Community Counselling & Mediation.
See template
See template
Campus Community Relations Expense Report
PDF template
A multi-request expense reporting form for capturing campus community relations expenditures at SDSU
See template
See template
Accident Report
PDF template
A comprehensive form for documenting accidental injuries, incidents, and near misses in educational or work settings.
See template
See template
Budget Preparation Instructions
PDF template
Comprehensive instructions for preparing budgets for Ryan White Program and Prevention Services Contracts with the Los Angeles County Department of Public Health.
See template
See template
Adjustment Controls
PDF template
Policy establishing a behavior management tool for modifying inmate behavior through adjustment controls and alternative placement areas.
See template
See template
Safety Committee Policy
PDF template
Policy establishing the formation, membership, and purpose of a safety committee for the Deschutes County Adult Jail to promote workplace safety and health.
See template
See template
Safety Committee Policy
PDF template
Policy establishing a workplace safety committee for the Deschutes County Adult Jail to promote workplace safety and health through cooperative efforts.
See template
See template
HAZARD REPORT FORM
PDF template
A comprehensive form for reporting potential workplace hazards and assessing risk levels in an organizational setting.
See template
See template
CDBG APPLICATION UPLOAD CHECKLIST
PDF template
Comprehensive checklist for applicants seeking Community Development Block Grant (CDBG) funding, detailing required documentation and submission requirements.
See template
See template
City Of Kalamazoo CDBG CV Program APPLICATION
PDF template
Application for Community Development Block Grant - Coronavirus (CDBG-CV) funding to support various assistance activities in Kalamazoo.
See template
See template
Budget Summary And Budget Narrative Forms Instructions (Revised 52021)
PDF template
Comprehensive instructions for completing budget forms for the Early Literacy Support Block Grant by California Department of Education, covering planning and implementation years.
See template
See template
Constituency Development Fund (CDF) Grant Application Form For Youth, Women And Community Empowermen
PDF template
Application form for community groups seeking seed money through the Constituency Development Fund to support local economic empowerment initiatives.
See template
See template
Progress Report 3
PDF template
A detailed progress report documenting project tasks and achievements for the Colorado Aviation System Plan during November 2018.
See template
See template
Getting Started How To Request Design Work
PDF template
A comprehensive guide outlining the process for requesting different types of design and print projects at an organization.
See template
See template
CEHS Undergraduate Student Research Grant Application Form
PDF template
Application form for undergraduate students seeking research funding through the College of Education and Human Sciences research grant program.
See template
See template
CEIAS Capstone Project Expenses Purchase Request Instructions
PDF template
Instructions for submitting purchase and reimbursement requests for capstone project expenses at NAU, including budget management and vendor communication guidelines.
See template
See template
Grant Application Form
PDF template
A comprehensive form for educators to apply for educational project funding with strategic plan components and detailed project information.
See template
See template
Referral Form
PDF template
Medical referral form for psychiatric treatment at the Center for Neuromodulation, specifically for Electroconvulsive Therapy (ECT) and Transcranial Magnetic Stimulation (TMS).
See template
See template
Center For Social Concern Budget Form Instructions And Definitions
PDF template
Detailed guidelines for student groups submitting budget and expense information to the Center for Social Concern.
See template
See template
Central States Pension Fund Retirement Declaration
PDF template
A document for declaring retirement date, employment status, and receiving pension benefits from the Central States Pension Fund.
See template
See template
Environmental Checklist Form
PDF template
A comprehensive form for evaluating potential environmental impacts of a proposed project across multiple factors.
See template
See template
Branson Cerakote Project Form
PDF template
A form for submitting projects for Cerakote coating services, requiring complete project disassembly and detailed project information.
See template
See template
CERS Access Request Form
PDF template
Form for providing access to an existing business or organization in the California Environmental Reporting System (CERS) when the Lead User cannot do so.
See template
See template
Certification Of Project Compliance
PDF template
A form used to certify the compliance and completion of a public school district construction project with state facility standards.
See template
See template
ContractorS, ArchitectS AndOr EngineerS Certificate Of Insurance Form
PDF template
A formal document certifying insurance coverage details for a construction or design project with multiple insurance companies.
See template
See template
Certification Reimbursement Form
PDF template
A form for Perry Tech students to request reimbursement for approved industry certification exams up to $500 upon successful test completion.
See template
See template
CESS IncidentEmergency Management Initial Point Of Contact Form
PDF template
A form used to document initial details of an emergency or incident involving students, faculty, or staff.
See template
See template
Vehicle Accident Report
PDF template
A comprehensive form for documenting details of a vehicle accident involving non-state-owned vehicles used in cooperative extension service activities.
See template
See template
Budget History And Proposal Budget Form
PDF template
A comprehensive financial form for documenting historical budget performance and proposed project budget details including income and expenses.
See template
See template
Incident Report Form
PDF template
A comprehensive form for documenting injuries and incidents at CrossFit facilities, used for risk management and insurance purposes.
See template
See template
UPF Scaffold Request Form
PDF template
Form for requesting scaffold construction, modification, or dismantling in a work environment, with instructions for completion.
See template
See template
Community Futures North Fraser Boardroom Rental Application Form
PDF template
An application form for renting a boardroom from Community Futures North Fraser, with rates and usage terms for non-profit and business groups.
See template
See template
GRANT APPLICATION FORM
PDF template
A comprehensive grant application form for non-profit organizations seeking funding for social accountability projects
See template
See template
ChildrenS Account Unit Assessment Form
PDF template
A form used by the Illinois Department of Children and Family Services to assess and request fund allocation for children in state guardianship with special needs.
See template
See template
CFS 370 5C Monthly Budget Form
PDF template
A budget tracking document for tracking income, expenses, and financial status for clients of the Illinois Department of Children and Family Services.
See template
See template
Monthly Budget Form For Youth
PDF template
A comprehensive monthly budget form for youth in Illinois Department of Children & Family Services programs to track income and expenses.
See template
See template
Grant Evaluation Form
PDF template
A form for non-profit organizations to report on the outcomes and financial details of a previously awarded grant.
See template
See template
CFTC FORM 40 STATEMENT OF REPORTING TRADER
PDF template
Official form for reporting large trader positions in futures and options markets to the CFTC for market surveillance purposes.
See template
See template
CENTER FOR GLOBAL HEALTH NURSING SCHOLARSHIP APPLICATION
PDF template
A comprehensive budget application form for nursing students seeking scholarship funding for global health travel and project expenses.
See template
See template
WV Income Maintenance Manual Chapter 2
PDF template
Guidelines for reporting changes and maintaining SNAP (Supplemental Nutrition Assistance Program) case eligibility in West Virginia.
See template
See template
Accident Investigation Appendix C Resources
PDF template
Guide for reporting and documenting workplace accidents, incidents, and injuries at Portland Community College
See template
See template
Chairperson Agreement Form
PDF template
Agreement form outlining responsibilities and expectations for session chairpersons at the 45th Annual Meeting of the American College of Toxicology.
See template
See template
4 H Change Of Membership Policy
PDF template
Guidelines for 4-H members seeking to change their county membership for youth development purposes.
See template
See template
SAM HOUSTON STATE UNIVERSITY BANNER BUDGET CHANGE REQUEST
PDF template
A university form for requesting budget modifications, transfers, or increases with multiple levels of approval.
See template
See template
REQUEST OF CHANGE OF OWNERSHIP
PDF template
Form for requesting property ownership transfer or updates to management, payee, or direct deposit information for Bexar County Housing Authority.
See template
See template
Windmill Harbour Change Order Request
PDF template
A form for requesting changes to architectural plans or specifications for the Windmill Harbour community.
See template
See template
Changing A CharityS Legal Form
PDF template
Guidance for charities considering transitioning from an association to a company structure, including legal implications and registration requirements.
See template
See template
Tribal Travel Regulation
PDF template
Guidelines for travel expenses, reimbursement, and accommodation for tribal representatives and officials.
See template
See template
Request For Charitable Contribution
PDF template
A form for student organizations to request and document charitable donations through agency accounts.
See template
See template
Charity Annual Report Extensions
PDF template
Guidelines for obtaining extensions for charitable organizations' annual reporting requirements in Illinois.
See template
See template
Trustee Eligibility Declaration
PDF template
A form for documenting trustee eligibility, personal declarations, and organizational safeguarding compliance for charitable organizations.
See template
See template
Request For Post Charter Cancellation
PDF template
Official form for requesting cancellation of an American Legion Post charter through the National Executive Committee.
See template
See template
Charter License Agreement
PDF template
A licensing document for charter boat operators using Port of Newport recreational marina facilities, detailing vessel and operator information.
See template
See template
ChartField Request Form
PDF template
A form for requesting changes or modifications to chartfield accounting information within an organization's financial system.
See template
See template
Compass Chartfield ValueSmartKey Request Form
PDF template
A form for requesting changes or creation of chartfield values for financial tracking and budgeting purposes at Emory University.
See template
See template
2020 WIOA Budget FORMs
PDF template
Instructions for completing workforce budget forms for the Chicago Cook Workforce Partnership, detailing budget requirements and training cost calculations.
See template
See template
Operating Expense Grant Program Guidelines
PDF template
Guidelines for providing operating expense grants to Community Housing Development Organizations (CHDOs) for affordable housing development in West Virginia.
See template
See template
HOME CHDO Operating Expense Grant Program Guidelines
PDF template
Guidelines for providing operating expense grants to Community Housing Development Organizations (CHDOs) to support affordable housing development in West Virginia.
See template
See template
Faculty Of Science Sponsored Project Checklist
PDF template
A comprehensive checklist for submitting research project proposals within the Faculty of Science, detailing investigator, sponsor, and project information.
See template
See template
Research Proposal Documents Checklist
PDF template
Comprehensive checklist of mandatory documents required for submitting a research proposal to FAPESP research awards program.
See template
See template
Thelmearc Brewing Competition Checksheet
PDF template
A comprehensive guide for organizing a successful brewing competition within the thelmearc region, covering preparation, venue selection, judging formats, and promotional strategies.
See template
See template
CHEM 3000 Undergraduate Research Grade Report Form
PDF template
A form for documenting undergraduate research project details and final grade for a chemistry research course.
See template
See template
CHEM 4300 Senior Research Grade Report Form
PDF template
A formal document for submitting and grading a senior research project in a chemistry course.
See template
See template
Contribution Form
PDF template
A donation form for contributing to Columbus House, a non-profit organization focused on ending homelessness.
See template
See template
Child Abuse Or Neglect Report Form
PDF template
Official form for reporting suspected child abuse or neglect within the University of Alabama System, to be submitted to campus police.
See template
See template
Childcare Aggregate Report Form
PDF template
A comprehensive form for childcare centers to report immunization records for children not stored in digital systems.
See template
See template
Change Order Request Form (CORF)
PDF template
A document used to define detailed requirements for incorporated services and enhancements within an existing contract's scope.
See template
See template
Church Loan Application
PDF template
Application and guidelines for church loans provided by the Presbytery of Minnesota Valleys, outlining loan eligibility, purposes, and limitations.
See template
See template
Church Scholarship Form
PDF template
A form for churches to provide scholarship support for campers attending Kirkmont Center summer camps.
See template
See template
DirectorS Report For Construction Industries Division
PDF template
Memorandum detailing updates and initiatives from the New Mexico Regulation and Licensing Department's Construction Industries Division.
See template
See template
Donor Field Of Interest Endowment Fund Agreement
PDF template
A legal agreement for establishing a donor-directed charitable endowment fund with the Central Indiana Community Foundation.
See template
See template
CIF Project Budget Form
PDF template
A fillable budget form for calculating project costs, expenses, and service fees for 6 or 12 month projects.
See template
See template
Internship Application Form
PDF template
A comprehensive form for individuals seeking internship opportunities at CHINAR International, focusing on areas like child development and youth programs.
See template
See template
CIISSI Policy Guide
PDF template
A guide for employees, vendors, and contractors on designating, marking, and handling Confidential and Sensitive Information (CII/SSI) at Virginia Department of Transportation.
See template
See template
CINS Facility Rules And Guidelines For Use
PDF template
Comprehensive guidelines for researchers using the Center for Integrative Nanotechnology Sciences (CINS) instrumentation and facilities.
See template
See template
CINTAS Fellowship Application Form 2022
PDF template
Application form for artists seeking a fellowship from the CINTAS Foundation, with sections for personal information, education, and professional achievements.
See template
See template
Volunteer Application Form
PDF template
A volunteer application form for the Town of Strathmore's Community Improvement Program Committee, seeking public members to review and recommend community funding applications.
See template
See template
PHILHEALTH CIRCULAR No. 2018 XXX
PDF template
Official guidelines for PhilHealth Accredited Collecting Agents on using the Electronic Collection Reporting System for premium contribution reporting and remittance.
See template
See template
Lowell Police Department Citizen Complaint Form
PDF template
A form for citizens to file a formal complaint against law enforcement officers, documenting incident details and complainant information.
See template
See template
CITIZEN COMPLAINT FORM
PDF template
A government form for citizens to report various property and neighborhood issues to local authorities.
See template
See template
Augusta University Police Department Citizen Complaint Form
PDF template
A formal document for citizens to file complaints against police officers or university police department employees
See template
See template
Citizen Complaint Illicit Discharge Reporting Form
PDF template
A citizen-submitted form to report and document potential environmental contamination or unauthorized water discharge incidents.
See template
See template
Citizen Vehicle Contact Form
PDF template
A form for citizens to report vehicle-related incidents to the General Services Agency Fleet Services Department.
See template
See template
Civil Rights Diversity Complaint Form
PDF template
A form for reporting civil rights violations and diversity-related complaints by members of the public or employees.
See template
See template
Dynamic Invoice Form BLR 05620
PDF template
Circular letter introducing a revised dynamic invoice form for local public agencies requesting reimbursement of funds through specific programs.
See template
See template
Claims Reporting Reference Guide
PDF template
A comprehensive guide for reporting and managing various types of insurance claims across different coverage areas.
See template
See template
Claims Reporting Reference Guide
PDF template
A comprehensive guide for reporting insurance claims across multiple coverage types and managing workplace incidents
See template
See template
MDHS CLAIM SUPPORT FORM (COST REIMBURSEMENT) PAYMENT TYPE
PDF template
A form used by subgrantees to report monthly costs incurred and request funds on a cost reimbursement basis.
See template
See template
Federal Reserve Bank Financial Disclosure Report (Form A)
PDF template
A financial disclosure report for a Federal Reserve Bank employee detailing personal financial information and ethics compliance.
See template
See template
2019 Community Parks Improvement Program Checklist
PDF template
Guidelines and checklist for submitting grant applications to the Clermont County Park District for community park improvement projects.
See template
See template
Clery Act Student Travel Form
PDF template
A form for University of New Haven faculty and staff to report travel program details for Clery Act compliance.
See template
See template
Clery Act Student Travel Form
PDF template
A form for documenting student travel details and lodging information for ISU-sponsored overnight trips in compliance with the Clery Act.
See template
See template
Clery Act Student Overnight Travel Form
PDF template
A documentation form for reporting college-related overnight student travel activities in compliance with the Clery Act
See template
See template
Community Development Project Manager Job Description
PDF template
Full-time salaried position responsible for managing community development projects, grant administration, and collaborative economic initiatives in Yellowstone County.
See template
See template
Client Feedback Form
PDF template
A survey designed to collect client experiences and testimonials about Fair Housing Foundation services and potential marketing materials.
See template
See template
Client Grievance Report Form
PDF template
A form for clients to report grievances or complaints about program services and interactions with program members.
See template
See template
Clinical Incident Report Form 4.3
PDF template
A form documenting details of a clinical incident, including injury, location, witnesses, and actions taken.
See template
See template
Anglican Diocese Of Canberra Goulburn Incident Report Form
PDF template
A comprehensive form for reporting incidents, injuries, property damage, and potential hazards within the Anglican Diocese of Canberra & Goulburn.
See template
See template
The Brody Family Medical Trust Fund Fellowship In Incurable Diseases
PDF template
A fellowship program supporting young scientists conducting research on incurable diseases, administered by The Philadelphia Foundation and The College of Physicians of Philadelphia.
See template
See template
The Brody Family Medical Trust Fund Fellowship In Incurable Diseases
PDF template
A fellowship opportunity for medical researchers focusing on research in incurable diseases, administered by The Philadelphia Foundation and The College of Physicians of Philadelphia.
See template
See template
4 H Annual Financial Statement Jackson
PDF template
A comprehensive financial reporting form for 4-H clubs to document annual income, expenses, and account activity.
See template
See template
FAMPO CMAQRSTP Project Application Checklist
PDF template
A comprehensive checklist for submitting transportation project applications to the Fredericksburg Area Metropolitan Planning Organization (FAMPO)
See template
See template
Nationwide Incident Report Form
PDF template
A document used to record details of an incident, including personal information, location, and incident type.
See template
See template
Civilian Marksmanship Program Excellence In Competition Match Report Form
PDF template
Form for reporting details of Excellence-in-Competition shooting matches, including competitor information, entry fees, and match circumstances.
See template
See template
SAMPLE FORMS
PDF template
Comprehensive list of forms used in construction management procurement, bidding, and project execution processes.
See template
See template
Congressionally Mandated Reports Submission Form Field Definitions
PDF template
A comprehensive document detailing field definitions and submission requirements for reports mandated by Congress to be submitted to GPO.
See template
See template
CMS REPORTS REQUEST FORM
PDF template
Form for financial institutions to request reports from the Federal Reserve regarding collateral holdings and transactions.
See template
See template
CMTF Grant Application Form 202324
PDF template
A comprehensive grant application form for churches seeking funding for specific projects through the Circuit Model Trust Fund.
See template
See template
Choice Neighborhoods Implementation Grants Budget Guidance
PDF template
Comprehensive document providing detailed budget instructions for Choice Neighborhoods Implementation Grant recipients on developing and managing their program budgets.
See template
See template
HIRER COLLISION Or DAMAGE REPORT FORM
PDF template
A comprehensive form for documenting details of a vehicle rental accident, including renter, driver, vehicle, and incident information.
See template
See template
CNSC Incident Hazard Report Form.Docx
PDF template
A form for reporting incidents, accidents, or safety concerns to the Castlegar Nordic Ski Club.
See template
See template
COAS Research And Development Grant Application Form
PDF template
Application form for research and development grants at the College of Arts and Sciences, detailing funding requirements and submission guidelines.
See template
See template
CobbleStone Contract Management System
PDF template
Step-by-step guide for submitting contracts in the CobbleStone system at GGC.
See template
See template
Request For Community Use Of Building Grounds
PDF template
A rental application form for using community center spaces, including guidelines for facility rental and event booking.
See template
See template
College Of Education And Health Professions ACCIDENTINCIDENT REPORT
PDF template
A comprehensive form for documenting accidents, injuries, and incidents within the College of Education and Health Professions.
See template
See template
College Of Education And Health Professions Incident Report Form
PDF template
A standardized form for documenting and reporting incidents within an educational or health professional setting.
See template
See template
Montgomery County ExecutiveS Community Collaboration Grant Application
PDF template
Grant application for non-profit organizations seeking funding support from Montgomery County Executive's budget.
See template
See template
San Antonio Medical Foundation Grant Application Form And Attachments For Collaborating Entities
PDF template
A comprehensive grant application form for collaborative healthcare and biomedical research projects seeking funding from the San Antonio Medical Foundation.
See template
See template
College Budget Form
PDF template
A comprehensive form for tracking college expenses, income, financial aid, and budgeting for students.
See template
See template
2024 Detailed Budget Form For Colorado Inflation Reduction Act Urban And Community Forestry Grant Pr
PDF template
A comprehensive budget form for the Colorado Inflation Reduction Act Urban and Community Forestry (UCF) Grant Program, detailing project expenses and grant fund requests.
See template
See template
Information Disclosure Consent Form For UN COVID 19 Medical Evacuation (MEDEVAC) Services
PDF template
Consent form for medical information disclosure and liability release for UN COVID-19 medical evacuation services.
See template
See template
Community Services Block Grant Action Transmittal
PDF template
Official notification to CSBG direct-funded tribes about reporting requirements for Fiscal Year 2024 annual report submission.
See template
See template
CommendationCommunity Feedback Form
PDF template
A form for reporting commendations or feedback about a peace officer, with details about the incident and parties involved.
See template
See template
Commercial Application Project Form
PDF template
Comprehensive form for commercial water heater project sizing and specification details from Rinnai.
See template
See template
Loss Or Damage Report Form Commercial
PDF template
Insurance claim form for reporting commercial property loss or damage incidents with comprehensive details about the incident and policyholder.
See template
See template
FM 11 ACT 101 Recycling Compliance Report
PDF template
A form for commercial, municipal, and institutional establishments in Pennsylvania to report recycling compliance and performance metrics.
See template
See template
Committee Report Form
PDF template
A form for faculty committees to document and submit reports to the Faculty Senate Executive Committee.
See template
See template
NAIC Enterprise Risk Report (Form F) Implementation Guide
PDF template
A guide for preparing and reviewing annual enterprise risk reports for insurance holding company systems as part of NAIC accreditation requirements.
See template
See template
Common Grant Application Form
PDF template
A standardized grant application form developed by the Council of Michigan Foundations to streamline the grant application process for nonprofits.
See template
See template
Wisconsin Common Grant Application Form
PDF template
A standardized grant application form used by multiple funders in Wisconsin for various types of grant proposals.
See template
See template
Common Grant Application
PDF template
A comprehensive grant application form for charities seeking financial assistance from component funds of the Door County Community Foundation.
See template
See template
Common Grant Application
PDF template
A standardized grant application form for charities seeking financial assistance from component funds of the Door County Community Foundation.
See template
See template
New YorkNew Jersey Area Common Application Form
PDF template
A standardized grant application form for nonprofit organizations seeking funding in the New York and New Jersey region.
See template
See template
Communicable Disease Report For Healthcare Providers
PDF template
A comprehensive medical reporting form for healthcare providers to document communicable disease cases in Arizona.
See template
See template
Community Building Fund Application Form
PDF template
Application for faculty to request funding for community-building events at the University of California, San Francisco
See template
See template
2024 Community Enhancement Grant Application Form
PDF template
A grant application form for non-profit organizations seeking funding for community-based projects and programs
See template
See template
Community Event Proposal Form Salt Wagon Clinic
PDF template
A comprehensive form for organizing community events in collaboration with Salt Wagon Clinic, covering event details, financial information, and organizational requirements.
See template
See template
Community Fundraiser Guidelines
PDF template
Guidelines for individuals and organizations organizing fundraising activities to support the Mario Lemieux Foundation's cancer research and patient care efforts.
See template
See template
Community Grant Application Form
PDF template
A comprehensive form for organizations seeking funding from the Village of Anmore, detailing project information, budget projections, and community impact.
See template
See template
Community Grants School Pre Authorization Form
PDF template
A form for applicants collaborating with school districts to apply for community grants through CFNIL.
See template
See template
Community Meeting Checklist Form
PDF template
A comprehensive checklist for documenting essential discussion points and requirements for community meetings about development projects.
See template
See template
Community Partnership Mini Grant Application Form
PDF template
Grant application form for community project funding up to $500 through institutional partnership program.
See template
See template
Community Room Rental Policy
PDF template
Policy detailing rental terms, fees, and usage guidelines for KVMR's community room located in Nevada City, California.
See template
See template
Community Service Rules
PDF template
Comprehensive rules and guidelines for individuals performing community service at the Lincoln Enterprises Center (LEC)
See template
See template
Project Submission Form
PDF template
Form for students to submit project details in both paper and online formats for academic documentation.
See template
See template
Comparison Of Franchise And Partnership Management Strategies For Online Business A Case Study Of Kl
PDF template
A qualitative study comparing franchise and partnership management strategies for online laundry business, examining different approaches to business management.
See template
See template
Compatriot Death Report Form
PDF template
A form used to report the death of members in a society or organization, with space for multiple death reports.
See template
See template
Florida State University Compensation Matrix
PDF template
Detailed guidelines for salary determination and hiring practices for new USPS and A&P employees at Florida State University.
See template
See template
Competitive Bid Policy
PDF template
Policy outlining procurement procedures and competitive bidding requirements for purchases at different monetary thresholds at USD.
See template
See template
Citizen Complaint Form Confidential
PDF template
Official form for citizens to file complaints about county, city government, public schools, or special districts with the Sonoma County Civil Grand Jury.
See template
See template
City Of Shady Cove Complaint Form
PDF template
Official form for citizens to report potential violations or issues within the City of Shady Cove municipal jurisdiction.
See template
See template
Complaint Report
PDF template
A form for submitting complaints to the local health department, allowing individuals to report health or nuisance-related issues.
See template
See template
Incident Report Form
PDF template
A form for documenting student incidents at Northeastern State University with details about the event, individuals involved, and desired outcomes.
See template
See template
Complaint Form
PDF template
A form for residents to report potential code violations in the Matanuska-Susitna Borough area of Alaska.
See template
See template
USDA Foods Complaint Form
PDF template
A form for reporting issues and complaints related to USDA food products, including details about the product, problem description, and documentation requirements.
See template
See template
Complaint Form For Reporting Sexual Harassment
PDF template
A standardized form for reporting sexual harassment incidents in the workplace, compliant with New York State Labor Law.
See template
See template
Complaint Report Form
PDF template
Form for reporting patient complaints and potential protected health information disclosure at UW-Milwaukee
See template
See template
Montgomery County ExecutiveS Community Collaboration Grant Application
PDF template
Grant application for non-profit organizations seeking funding support from Montgomery County Executive's budget.
See template
See template
How To Complete A Budget In JustGrants
PDF template
Instructions for preparing budgets for Department of Justice grant applications using the JustGrants system.
See template
See template
Giving Feedback On Performance
PDF template
A comprehensive guide for providing effective performance feedback to student employees, focusing on constructive evaluation techniques and best practices.
See template
See template
Complementarity Completed Project Form
PDF template
A form for documenting and submitting details about a completed project for organizational record-keeping and knowledge sharing.
See template
See template
EEOC Component 2 EEO 1 Online Filing System Sample Form
PDF template
A sample form for employers with 100 or more employees to report compensation data by race, ethnicity, gender, and job category.
See template
See template
Mid Year Computer Equipment Purchase Request
PDF template
A form for requesting computer or printer purchases outside of the annual budgetary process at Hamilton College, requiring approval from senior administrators.
See template
See template
Creating Reports
PDF template
Comprehensive guide for creating expense reports, detailing expense types, naming conventions, and documentation requirements for travel and local expenses.
See template
See template
Concussion Incident Form
PDF template
A form for documenting and reporting concussion-related incidents in sports, specifically for Ringette Canada.
See template
See template
GVIAS Conduct Committee Confidentiality Agreement
PDF template
A confidentiality policy document outlining information protection requirements for members of the Greater Vancouver Interactive Arts Society Conduct Committee.
See template
See template
Conference And Travel Stipend Expense Report
PDF template
Form for scholars to report and document conference and travel expenses funded by the Cooke Foundation.
See template
See template
Susquehanna Conference Incident Investigation Report
PDF template
A comprehensive form for documenting workplace incidents, injuries, and safety investigations within the Susquehanna Conference.
See template
See template
IEEE Conference Expense Reimbursement Guidelines
PDF template
Guidelines for managing conference-related expenses, payment options, and reimbursement procedures for IEEE conference organizers.
See template
See template
CONFIDENTIALSUPERVISORY EMPLOYEES ABSENCE REPORT FORM
PDF template
A form for reporting employee absences, specifically detailing bereavement leave policies for supervisory employees.
See template
See template
Public Meeting Minutes
PDF template
Minutes documenting a public meeting for a school district board discussing financial and operational matters.
See template
See template
Neighborhood Council Funding Contribution Form Fiscal Year 2019 2020
PDF template
A form for neighborhood councils to request funding contributions for special accounts in Los Angeles.
See template
See template
Neighborhood Council Funding Contribution Form
PDF template
A form for neighborhood councils to request funding contributions for the LA Congress of Neighborhoods Special Account during fiscal year 2020-2021.
See template
See template
Congressional Visit Report Form
PDF template
A form for documenting meetings between occupational therapy professionals and members of Congress, capturing key discussion details and follow-up needs.
See template
See template
Conquer Chiari Fundraiser Proposal Form
PDF template
A comprehensive form for organizing a fundraising event to support the Conquer Chiari patient education foundation.
See template
See template
SUNY ONEONTA INSTITUTIONAL REVIEW BOARD CONSENT FORM HELP
PDF template
A comprehensive guide and checklist for researchers developing consent forms for research studies at SUNY Oneonta.
See template
See template
Consent Form Instructions And Samples
PDF template
Comprehensive guide for creating ethical research consent forms, outlining required elements and IRB considerations for participant informed consent.
See template
See template
CONSENT FORM Adults
PDF template
Comprehensive instructions for creating clear and understandable consent forms for research studies involving human subjects.
See template
See template
ARTS Conservation License Plate Grants Budget Form
PDF template
Budget form for arts organizations seeking grants through the New Hampshire State Council on the Arts License Plate Grant program.
See template
See template
AGREEMENT FORM
PDF template
A contract agreement between a contractor and the University of Central Arkansas for a construction project on the UCA campus in Faulkner County.
See template
See template
Construction Project Approval Form
PDF template
A comprehensive form for approving construction projects over $100,000, detailing project scope, funding, and required approvals.
See template
See template
Construction Projects Guide For Construction Manager Agreements
PDF template
A comprehensive guide for construction management services, contracting, and project administration procedures for Florida Polytechnic University.
See template
See template
Construction Project Authorization Form
PDF template
A form used to initiate and document the approval process for construction projects at an organization.
See template
See template
ConsultantHonorarium Reimbursement Form
PDF template
A form for documenting consultant payments, honorariums, and reimbursements for research-related services at Old Dominion University Research Foundation.
See template
See template
Consultant Invoice Form
PDF template
A detailed invoice form for consulting services and reimbursable expenses for a project at UCSD.
See template
See template
CONTACT REPORT FORM
PDF template
A form for documenting concerns, interactions, or issues related to a student's academic or personal situation.
See template
See template
Corporation And Foundation Contact Approval Form
PDF template
A form for obtaining approval to contact corporations or foundations for potential funding or partnership opportunities.
See template
See template
UNC CHARLOTTE CONTRACT CHECKLIST
PDF template
A comprehensive checklist for reviewing and negotiating university contracts, prepared by the UNC Charlotte Office of Legal Affairs.
See template
See template
Example Contract For Self Employed Or Freelance Staff
PDF template
Guidelines and template contract for self-employed or freelance staff working with CDET's Recognised Awards program.
See template
See template
Mississippi State University Contract Guidelines
PDF template
Comprehensive guide for contract processes and procedures at Mississippi State University, outlining rules, approvals, and administrative requirements for institutional contracts.
See template
See template
Contract Lifecycle Management Datasheet
PDF template
Comprehensive software solution for managing contract lifecycle with automation, integration, and centralized repository features.
See template
See template
Environmental Health And Safety Contractor Incident Report
PDF template
A comprehensive form documenting workplace incidents, injuries, and safety-related events for contractors.
See template
See template
Annual Contractor Membership Form
PDF template
Annual membership form for contractors to join the Michigan Barn Preservation Network and receive website listing benefits.
See template
See template
Diversity Management System (DMS) Submission Documentation
PDF template
A detailed tracking document for contractor submissions, insurance requirements, and project documentation across federal and state projects.
See template
See template
MVC Honors Program Contact Project Form
PDF template
A form for students to outline and document additional academic contract work within the Honors Program curriculum.
See template
See template
Contract Details Register
PDF template
Compilation of multiple IT, services, and procurement contracts with details of suppliers, dates, and values.
See template
See template
Standard Operating Procedures For Contracts 5,000 75,000
PDF template
Detailed procedural guidelines for managing contracts between $5,000 and $75,000, including proposal and application processes.
See template
See template
McLaren Flint Foundation Contribution Form
PDF template
Fundraising form for making charitable donations to McLaren Flint Foundation with multiple designated giving options.
See template
See template
Contribution Form
PDF template
A donation form for supporting Donate Life North Carolina's mission of promoting organ, eye, and tissue donation awareness.
See template
See template
Seventh Tradition Contribution Form
PDF template
A donation form for individuals, groups, or events to contribute to S-Anon International Family Groups, Inc.
See template
See template
Author Contribution Form
PDF template
A form detailing authorship criteria and contribution types for academic manuscript submissions.
See template
See template
Wahluke Jr. High ASB Single Purchase Form
PDF template
A form for requesting single purchases using Associated Student Body (ASB) funds for extracurricular activities at Wahluke Jr. High School.
See template
See template
Library City Funded Budget Summary
PDF template
Detailed budget summary for a city library, including salary and wages, and funding breakdown for 2019.
See template
See template
Request For Accident Report Form
PDF template
A form for requesting a copy of an accident report from the Eastchester Police Department with required privacy act certification.
See template
See template
CORRECTIONAMENDMENT AFFIDAVIT FOR CANDIDATEOFFICEHOLDER
PDF template
Official form for correcting or amending previously filed candidate or officeholder reports with legal affirmation.
See template
See template
Corn Assessment Form
PDF template
Quarterly reporting form for corn dealers to track and remit corn assessments based on market value and total bushels sold.
See template
See template
Corn Assessment Form
PDF template
A monthly reporting form for corn handlers and processors to report bushel purchases and pay assessment fees to the Georgia Agricultural Commodity Commission for Corn.
See template
See template
COVID 19 Incident Report Form
PDF template
A form to document and track potential COVID-19 exposure and incidents among employees.
See template
See template
Incident Management Procedure
PDF template
A comprehensive procedure for reporting, investigating, and managing workplace incidents and hazards across the organization.
See template
See template
Contribution Form
PDF template
A donation form for contributing to various funds of the Order of the Daughters of the King organization
See template
See template
New Volunteer Form
PDF template
Application form for volunteers interested in supporting foster families by providing resources and assistance at a local community foster closet.
See template
See template
Cost ShareMatching FundsIn Kind Contribution Procedure
PDF template
Procedure for managing cost sharing, matching funds, and in-kind contributions for sponsored research projects at a university.
See template
See template
Cost Transfer Request Form
PDF template
A form for requesting transfer of expenses between cost centers and projects, requiring detailed explanation and authorization.
See template
See template
PROJECTACTIVITY PROPOSAL FORM
PDF template
A form for faculty to request funding for professional development and scholarly activities with a maximum request of $3,000.
See template
See template
Assessment For Idaho Cottage Foods, Low Risk Food Operations, And Fraternal, Benevolent, Or Non Prof
PDF template
A form for assessing food operations under cottage food and non-profit organization regulations in Idaho
See template
See template
ASSESSMENT FOR IDAHO COTTAGE FOODS, LOW RISK FOOD OPERATIONS, AND FRATERNAL, BENEVOLENT, OR NON PROF
PDF template
A form for registering and assessing low-risk food operations and non-profit food businesses in Idaho
See template
See template
Employee Counseling Action Form
PDF template
A formal document for documenting employee performance issues, counseling actions, and potential consequences.
See template
See template
Counselor Recruitment Procedures And Guidelines
PDF template
A comprehensive guide for recruiting counselor faculty at Sonoma State University with a focus on diversity, confidentiality, and fair hiring practices.
See template
See template
Tennessee 4 H County Ham Curing Project
PDF template
A participation form for 4-H members to enroll in a county-level ham curing project and agree to specific responsibilities.
See template
See template
Court Reporter Refund Request Form
PDF template
A legal form for attorneys to request court reporter services or request a refund for previously paid court reporting services.
See template
See template
COVID 19 Employee Report Form
PDF template
A form for employees to report COVID-19 positive tests or symptoms, used by Wichita State University for tracking and workplace safety purposes.
See template
See template
COVID 19 Outbreak Report Form
PDF template
A form for reporting probable COVID-19 cases and outbreaks in facilities and businesses, detailing clinical criteria and outbreak resolution definitions.
See template
See template
COVID 19 Participant Code Of Conduct And Risk Assessment Form
PDF template
Comprehensive safety guidelines and risk acknowledgment for Special Olympics participants during the COVID-19 pandemic.
See template
See template
DNR Enhanced Safety Protocols For Volunteers During COVID 19
PDF template
Guidelines for DNR volunteers to safely perform activities during the COVID-19 pandemic, with specific protocols based on county reopening phases.
See template
See template
Creative And Performing Arts Awards (CPA) Expense Reimbursement Form
PDF template
A form for students to submit expenses related to Creative and Performing Arts projects for reimbursement from their college.
See template
See template
Illinois Traffic Crash Report SR 1050 C
PDF template
Official form for documenting motor vehicle traffic crashes in Illinois, used by law enforcement to record accident details and classifications.
See template
See template
Completion Of Project Thesis Form
PDF template
Form for documenting a master's thesis or project completion in the Computer Engineering program at California State University, Sacramento.
See template
See template
Capstone Project Proposal Form
PDF template
A formal document for submitting a capstone project proposal for MSE-PD or M.S.-C&I degree programs.
See template
See template
CPJ Emergencies Risk Assessment Template
PDF template
A comprehensive risk assessment template for journalists to evaluate potential safety risks and develop mitigation strategies for reporting assignments.
See template
See template
Driver Proof Of Insurance Form
PDF template
Form for volunteer drivers to document and verify current automobile insurance coverage for Catholic Pro-Life Committee activities.
See template
See template
Municipal Planning Grant Requisition Instructions
PDF template
Instructions for Vermont municipalities to electronically request funds through a grant management system at different stages of a grant period.
See template
See template
Committee For Respectful Behavior Incident Report Form
PDF template
A confidential form for reporting allegations of disrespectful behavior within the Town of Ancram's Code of Conduct.
See template
See template
CRCOG Complete Streets Compliance Form
PDF template
A form for documenting compliance with Complete Streets policy requirements for project funding applications to CRCOG.
See template
See template
Spire Consultant App (SCA) User Guides Creating A Booking Form
PDF template
A user guide for creating theatre booking forms in the Spire Consultant App for consultants and secretaries.
See template
See template
308 Financial Report Instructions
PDF template
Detailed instructions for reporting financial contributions and support for charitable organizations in Wisconsin.
See template
See template
Investment Management Agreement
PDF template
Legal agreement between an investor and Credicorp Capital Advisors, LLC for investment management services
See template
See template
Credit Balance Authorization Form
PDF template
A form allowing students to authorize Curry College to manage credit balances from federal student aid funds and miscellaneous charges.
See template
See template
Credit Card Payment Authorization Form
PDF template
A form for donors to authorize one-time or recurring credit card payments for charitable contributions
See template
See template
Instructions For Credit Life And Health Insurance Experience Reports
PDF template
Detailed instructions for insurance carriers to submit statistical reports on credit life and health insurance cases in Maryland.
See template
See template
Consumer Reporting Form Training Manual
PDF template
A comprehensive guide for completing multi-part reporting forms for mental health and substance abuse programs in Delaware.
See template
See template
Clinical Research Fellowship Application Form 2023
PDF template
A comprehensive application form for researchers seeking a clinical research fellowship focused on lung cancer research.
See template
See template
Consumer Reporting Form Training Manual
PDF template
A training manual for consumer reporting forms used by the Delaware Department of Health and Social Services' Division of Substance Abuse and Mental Health for tracking treatment and client outcomes.
See template
See template
CSA Crime Incident Report Form
PDF template
Official form for reporting criminal incidents by Campus Security Authorities in compliance with the federal Clery Act, used for statistical tracking and safety reporting.
See template
See template
Crime Report Form
PDF template
A comprehensive form detailing definitions and categories of criminal offenses for law enforcement reporting purposes.
See template
See template
Crime Report Form
PDF template
A form for documenting crimes or lack of crime reports within an organization during a specific calendar year.
See template
See template
Report Of Critical Incident
PDF template
Official form for documenting critical incidents within Indiana Department of Correction's Community Corrections Division.
See template
See template
DMMA Critical Incident Form
PDF template
A comprehensive form for documenting and reporting critical incidents involving healthcare members or patients.
See template
See template
Critical Incident Report
PDF template
A comprehensive form for documenting critical incidents in licensed and unlicensed care facilities, tracking various types of incidents and adverse events.
See template
See template
Critical Incident Report
PDF template
A comprehensive form for reporting critical incidents, abuse, and restricted practices in community living service programs.
See template
See template
Fellowship Awards Programme Call For Applications For Funding In 2025 Application Guidelines And Con
PDF template
Guidelines for researchers seeking fellowship funding from the OECD Co-operative Research Programme for scientific research in food, agriculture, forests, and fisheries.
See template
See template
Crooked River Ranch Lions Foundation Continuing Education Scholarship Application
PDF template
A scholarship program offered by the Crooked River Ranch Lions Foundation for residents pursuing higher education, providing up to $2000 for current college students and adults continuing their education.
See template
See template
CRS Funding Report Form
PDF template
A form for reporting on the utilization and outcomes of research funding from CRS.
See template
See template
Accident Report Form
PDF template
A comprehensive form for documenting accidents and injuries occurring on campus recreational facilities and programs.
See template
See template
Incident Report Form
PDF template
A comprehensive form for documenting safety incidents and accidents on campus or in recreational facilities.
See template
See template
SPEAKER CHECKLIST
PDF template
Comprehensive guide for speakers detailing submission requirements and deadlines for a virtual conference
See template
See template
Classroom Check Up Feedback Form Baltimore County Public Schools
PDF template
A comprehensive evaluation form for assessing classroom management, behavior supports, and teaching practices in a school setting.
See template
See template
PROCUREMENT CARD RECONCILIATION Quick Reference Guide
PDF template
A guide for financial systems professionals detailing procedures for reconciling procurement card transactions and cardholder responsibilities.
See template
See template
CSA Crime Report Form
PDF template
A form for reporting criminal incidents by Campus Security Authorities in compliance with the Clery Act for campus safety documentation.
See template
See template
Wilfred And Ann Lee Konneker Student Leadership Grant Application
PDF template
A grant application for students seeking funding to develop leadership skills and engage in community-oriented activities.
See template
See template
CSCOM 301 Customer Service Center Operations Manual
PDF template
Operational guidelines for managing decal, title, and plate inventory in a Customer Service Center with detailed inventory tracking protocols.
See template
See template
Classical South Florida Financial Report
PDF template
Financial report covering the period from inception (November 13, 2007) through June 30, 2008, including audited financial statements.
See template
See template
2025 2026 CSIF Budget Form Guide
PDF template
A budget form for organizations requesting funding from the City of Calgary's Community Services Investment Fund (CSIF) for 2025-2026.
See template
See template
Volunteer Application Form
PDF template
Application form for prospective volunteers interested in providing crisis support for sexual assault survivors at SACHA in Hamilton.
See template
See template
Incident Report And Written Statement
PDF template
A form for documenting workplace or campus incidents, including details about the event, parties involved, and witness information.
See template
See template
CST 391 Practical Applications In CST Approval Form
PDF template
A form for students to propose an activity participation project and obtain faculty supervision and departmental approval for CST 391 credit.
See template
See template
Colorado State University Sport Club Style Guide
PDF template
A comprehensive style guide detailing branding, uniform, and apparel requirements for Colorado State University sport clubs.
See template
See template
CT, MRI And MRA Order Pre Authorization Form
PDF template
A comprehensive form for ordering CT, MRI, and MRA medical imaging exams with detailed patient and clinical information requirements.
See template
See template
How To Request An Adjustment Of Funding From The Student Government Association
PDF template
A step-by-step guide for student clubs to request funding from the Student Government Association for programs and projects.
See template
See template
Van Wert PD Report Request Submission Form
PDF template
A form for requesting a police report for a non-emergency crime incident in Van Wert jurisdiction.
See template
See template
Participant Consumption Of Alcohol Information And Waiver Form
PDF template
A form outlining alcohol consumption guidelines and restrictions for adult participants in Champaign-Urbana Special Recreation activities.
See template
See template
CUHSR Approved Informed Consent Form Language For Research Studies Using Participant Incentives
PDF template
Guidelines for documenting participant compensation and tax implications in research studies at Bradley University
See template
See template
Request Update To PeopleSoft Grants Module Data For Billing Reporting Purposes
PDF template
Internal form for updating grant and project data in the PeopleSoft system for billing and reporting purposes.
See template
See template
IF 001 Customer Project Form
PDF template
A form for collecting customer and project details for project tracking and management.
See template
See template
Campbell Valley Equestrian Society Membership
PDF template
Non-profit equestrian organization membership form for joining a local horse riding community and supporting park facilities.
See template
See template
Curriculum Vitae
PDF template
Curriculum vitae for Jerome Flynn, PhD, detailing his academic and professional background in business and technology.
See template
See template
Charter Service Instructions And Request Form
PDF template
Comprehensive instructions for requesting charter transportation services with Concho Valley Transit, including guidelines, operation hours, fees, and passenger conduct.
See template
See template
WRIA 9 GreenDuwamish SRFB And CWM 2024 Grant Round Timeline
PDF template
A comprehensive timeline detailing the grant application and review process for WRIA 9 Green/Duwamish Salmon Recovery Funding Board (SRFB) and Coordinated Water Management (CWM) grant rounds.
See template
See template
New Project Guidance, Operating Fund
PDF template
Guidance document for new housing projects and their funding under the U.S. Department of Housing and Urban Development's Operating Fund program
See template
See template
Measure J Growth Management Program Compliance Checklist
PDF template
A checklist for Contra Costa jurisdictions to comply with Measure J Growth Management Program requirements to receive local street maintenance and improvement funds.
See template
See template
C Zachary Sheppard Memorial Bowling Scholarship
PDF template
Scholarship application for high school seniors in Central Texas who are members of a bowling club, offering two $500 awards for the 2021-22 academic year.
See template
See template
Private Trust Form
PDF template
A government form for collecting detailed information about private trusts for Centrelink and Veterans' Affairs purposes.
See template
See template
Incident Investigation Reporting Form
PDF template
Detailed form for documenting workplace incidents, including type, category, potential, and root cause analysis.
See template
See template
Responsible Use Of Technology
PDF template
Policy governing the responsible use of technology resources for students in the Protestant Separate School Board of Penetanguishene.
See template
See template
MOTOR ACCIDENT REPORT FORM
PDF template
Comprehensive form for reporting motor vehicle accidents, documenting incident details, vehicle information, and driver statements.
See template
See template
PTA Council Annual Historian Report Form
PDF template
Annual reporting form for California PTA councils to document volunteer hours and organizational activities
See template
See template
DAF Grant Application Form 202324
PDF template
Application form for churches seeking grant funding through the District Advance Fund for project support.
See template
See template
Dakota Dough Reimbursement Form
PDF template
Form for submitting reimbursement requests for Girl Scout-related expenses and activities.
See template
See template
Damage Report Form
PDF template
A form for documenting damage to shipping cases, exhibits, and graphic panels during transportation and handling
See template
See template
Damage Report Form
PDF template
A form for reporting and documenting insurance damage claims with contact and incident details.
See template
See template
Damage Report Form
PDF template
A detailed form documenting damage incidents at a cemetery, including damage details, witnesses, police reports, and potential insurance claims.
See template
See template
Damage Report Form
PDF template
A form documenting damage to cemetery property, stones, or monuments, including details of the incident and potential repair process.
See template
See template
Dam Incident Report Form
PDF template
Official form for reporting incidents at high or intermediate hazard dams to the New York State Department of Environmental Conservation.
See template
See template
Department Of The Army Pamphlet 405 45
PDF template
A Department of Army document providing guidance and instructions for managing and accounting for Army real property inventories.
See template
See template
Dynamic Budget Projections Version 2022 Purchase Form
PDF template
A purchase form for acquiring Dynamic Budget Projections training materials with multiple payment options.
See template
See template
Budget Form
PDF template
A budget form for applying to the Defense Community Economic Development Fund grant administered by the Technical College System of Georgia's Office of Workforce Development.
See template
See template
ATTENDANCE REPORTING APPRENTICE
PDF template
Administrative regulation detailing attendance tracking procedures for apprentice students, including certificate issuance, instructor verification, and absence reporting.
See template
See template
ATTENDANCE REPORTING APPRENTICE
PDF template
Policy detailing attendance tracking and reporting procedures for apprenticeship programs, including use of attendance certificates and reporting requirements.
See template
See template
EISENHOWER SOCIETY GRANT APPLICATION FORM
PDF template
A comprehensive grant application form for organizations seeking funding from the Eisenhower Society to support projects aligned with the organization's mission.
See template
See template
Draw Down The Lightning Grants Proposal Form
PDF template
A comprehensive grant proposal form for requesting funding from a university for a project aligned with institutional strategic framework.
See template
See template
Membership Form
PDF template
A membership form for joining the Durham Deaf Society, a non-profit organization supporting the Deaf, deafened, and hard of hearing community.
See template
See template
Incident Investigation Form
PDF template
A comprehensive form for documenting workplace accidents, near misses, personal injuries, and property damage incidents.
See template
See template
December 2022 Skip A Pay
PDF template
A form allowing credit union members to defer their loan payment for December 2022 for a processing fee of $47 per loan.
See template
See template
Form 8 K
PDF template
Securities and Exchange Commission filing by Greenidge Generation Holdings Inc. disclosing current business information
See template
See template
Fund For Responding To Loss And Damage
PDF template
Compilation of Board decisions for the Fund for responding to loss and damage during its inaugural meeting in Abu Dhabi.
See template
See template
Delhi Police Complaint Reference Number Status
PDF template
A document related to tracking and submitting police complaint reference numbers in Delhi, India.
See template
See template
1115 Demonstration Extension Application Attachment 5
PDF template
A form documenting financing mechanisms for a state Medicaid demonstration project, including funding sources and provider payment arrangements.
See template
See template
DENTAL CONE BEAM CT REFERRAL FORM
PDF template
A medical referral form for dental cone beam CT imaging studies with patient and physician information collection.
See template
See template
Departmental Requisition Form
PDF template
A form used to request and document purchase of goods or services, specifying funding source, vendor details, and item information.
See template
See template
Departmental Requisition
PDF template
Internal form for departments to request services, equipment, or supplies with budget allocation and approval tracking.
See template
See template
Departmental Software Order Form
PDF template
A form for ordering and tracking software licenses and media for Virginia Polytechnic Institute and State University departments.
See template
See template
Account Codes Guide
PDF template
A comprehensive guide to account codes and expense classifications for community college budget and accounting practices.
See template
See template
Grant Inquiry Form
PDF template
A form and guide for faculty and staff to submit grant proposals through the Grants Office at BPCC.
See template
See template
ONDCP And CDC Drug Free Communities (DFC) Support Program FY 2020 DFC Non Competing Continuation App
PDF template
A webinar document providing questions and answers for the Drug-Free Communities Support Program non-competing continuation grant application process.
See template
See template
Volunteer Application Form
PDF template
Comprehensive form for individuals interested in volunteering, capturing personal details, skills, availability, and volunteer preferences.
See template
See template
City Of Chicago Budget Form Instructions
PDF template
Instructions for completing the City of Chicago's standard budget form, including guidance on capturing agency and budget information.
See template
See template
DHR Office Of Licensing And Monitoring Incident Reporting Form
PDF template
A comprehensive form for reporting incidents involving youth in placement programs, staff, and foster parents under the Maryland Department of Human Resources.
See template
See template
DHS 1640 Report Form For Suspected Abuse And Neglect Of Vulnerable Adults
PDF template
Confidential form for reporting suspected abuse, neglect, or exploitation of vulnerable adults in Hawaii.
See template
See template
Incident Report Form
PDF template
A comprehensive form for reporting critical incidents involving clients, staff, or other parties within a Department of Human Services (DHS) context.
See template
See template
DHS 2240 Change Report
PDF template
A form used to report changes in household composition, income, and other key life events within 10 days of occurrence.
See template
See template
Lehi High School Purchase Order Request Form
PDF template
A form used by teachers to request purchases from vendors, with approval levels based on total cost
See template
See template
Travel ApprovalReimbursement Request
PDF template
A comprehensive form for employees to request and document travel expenses and reimbursement at McLennan Community College.
See template
See template
School Of Theatre And Dance Directed ProjectSpecial Studies Application Form
PDF template
Application form for students registering for independent study or directed project courses in theatre and dance
See template
See template
MCPHS University Research Project Or Directed Study Instructor Approval Form
PDF template
Academic form for obtaining instructor approval for research projects or directed study at MCPHS University
See template
See template
MetLife Disability Insurance Guide
PDF template
A comprehensive guide for reporting disability claims and absence procedures through MetLife insurance.
See template
See template
Short Term Disability Reporting Form
PDF template
A reporting form for employees to document short-term disability leave and absence from work due to illness or non-work related injury.
See template
See template
Disaster Recovery Service Approval Form
PDF template
Form for approving and documenting disaster recovery services for state records storage and management.
See template
See template
Discharge Report Form Instructions
PDF template
Instructions for reporting oil spills, hazardous substance releases, and environmental contamination incidents to appropriate authorities.
See template
See template
Disciplinary Action And Risk Management Report Form
PDF template
A form for reporting additions, deletions, and corrections related to disciplinary actions in youth soccer organizations.
See template
See template
Documenting Discipline Issues
PDF template
A comprehensive checklist for managers to properly document employee disciplinary actions and performance issues.
See template
See template
License Disciplinary Action Form
PDF template
Official form for reporting license disciplinary actions for psychology professionals in California
See template
See template
Discipline Referral Form
PDF template
A form for judicial officers or court staff to report attorney misconduct or violations of Professional Conduct Rules.
See template
See template
Community Services Block Grant Discretionary Grant Application Form
PDF template
A comprehensive grant application form for organizations seeking funding through the Community Services Block Grant Discretionary program.
See template
See template
Discretionary Trustee Grant Application Form
PDF template
Application form for organizations seeking a discretionary grant from the General Service Foundation through a trustee recommendation.
See template
See template
Discrimination Complaint Form
PDF template
A form for reporting alleged discrimination incidents involving SANDAG, allowing individuals to document discriminatory experiences and file a formal complaint.
See template
See template
Complaint Form DiscriminationHarassmentSexual Misconduct
PDF template
A form for reporting incidents of discrimination, harassment, or sexual misconduct at a college institution with guidance on confidentiality and reporting options.
See template
See template
Distribution Agreement UserS Guide
PDF template
A comprehensive user's guide for understanding and completing a distribution agreement in Australia.
See template
See template
Distributor Letter Of Agreement
PDF template
A non-exclusive distribution agreement between National Center For Youth Issues (NCYI) and a distributor for promoting and selling NCYI products.
See template
See template
District Membership Promotion Request Form
PDF template
Form for districts to request membership promotion funds up to $175 with a detailed membership program plan.
See template
See template
DISTRICT MEMBERSHIP PROMOTION REQUEST FORM
PDF template
A form for district commanders to request funds for membership promotion activities with specific guidelines and funding limits.
See template
See template
APPENDIX 15 DIVING INCIDENT REPORT FORM
PDF template
A comprehensive form for reporting diving-related accidents, injuries, and incidents with detailed documentation requirements.
See template
See template
SCUBA DIVING SAFETY MANUAL
PDF template
A comprehensive safety manual for scientific diving practices at the University of New Brunswick, covering guidelines, requirements, and procedures for safe underwater research activities.
See template
See template
DIY Special Events Guidelines
PDF template
Guidelines for organizing independent fundraising events to support the Epilepsy Foundation of Michigan's programs and services.
See template
See template
Accident Classification Form
PDF template
Detailed form for documenting accident circumstances, environmental conditions, and road characteristics.
See template
See template
DNP Oral Preliminary Exam Completion Approval Form
PDF template
Form used by faculty to document the successful or unsuccessful completion of a doctoral nursing practice student's oral preliminary exam.
See template
See template
DNP Project Procedures
PDF template
Comprehensive guide outlining procedures, timelines, and requirements for Doctor of Nursing Practice (DNP) project completion and clinical hours tracking.
See template
See template
DNS Relief Fellowship Request For Project Funding
PDF template
A funding request form for a non-profit organization focused on providing humanitarian aid in developing countries.
See template
See template
DOC 8 Report Form
PDF template
Wisconsin Department of Corrections form for reporting changes in offender's personal information, employment, education, and other status details.
See template
See template
DOC.03.00 College Of Sciences Alcohol Permission Rule And Additional Guidelines
PDF template
Guidelines for service and consumption of alcoholic beverages during NC State University College of Sciences events and official business.
See template
See template
Accident Incident Report Form
PDF template
A form for reporting accidents or incidents that occur during National Tree Day events, requiring details about participants, injuries, and actions taken.
See template
See template
Auto Loss Report Form
PDF template
A form for reporting and documenting incidents involving licensed vehicles, mobile equipment, or trailers, with specific instructions for employees and managers.
See template
See template
DocuSign CLM Datasheet
PDF template
A comprehensive solution for automating and streamlining contract management processes through digital workflows and advanced collaboration tools.
See template
See template
Infectious Disease Requisition (IDR) Form Update
PDF template
Guidelines for healthcare providers and laboratories on collecting comprehensive demographic information for COVID-19 testing
See template
See template
DONATION APPROVAL FORM
PDF template
A form for documenting and obtaining approval for donations to the Board of Education.
See template
See template
Donation Form
PDF template
A form for documenting monetary or property donations to Granite School District with details about the donation and donor.
See template
See template
DONATION REQUEST FORM
PDF template
A form for organizations to request funding or donations from the City of St. Francis, Minnesota.
See template
See template
Docking Pilot Annual Report Form
PDF template
Annual reporting form for maritime docking pilots to document vessel movements, absences, activities, and medical information.
See template
See template
Disciplinary Action Form
PDF template
A form used to document and submit disciplinary actions for employees within a civil service jurisdiction.
See template
See template
Motor Vehicle Accident Report Form
PDF template
Confidential report form for documenting details of a motor vehicle accident involving injury, death, or property damage over $1,000.
See template
See template
SDRIC Employee Handbook
PDF template
Comprehensive handbook outlining employment policies, expectations, and confidentiality requirements for employees of the San Diego Regional Interfaith Collaborative.
See template
See template
DRI Project Form
PDF template
A document soliciting project proposals for downtown revitalization funding through New York State's Downtown Revitalization Initiative program.
See template
See template
DriverS Accident Reporting Packet
PDF template
Comprehensive guide for handling vehicle accidents involving University of California vehicles, providing step-by-step instructions for reporting and managing post-accident procedures.
See template
See template
Non Profit Internship Application Form
PDF template
Application form for internship opportunities with a non-profit organization supporting individuals with Down syndrome in the Piedmont area.
See template
See template
Fiscal Year 2022 PresidentS Budget Defense Security Cooperation Agency
PDF template
Budget document detailing the Defense Security Cooperation Agency's fiscal year 2022 budget request and operational description.
See template
See template
Building Inspections Bulletin
PDF template
A guide for preparing and scheduling building inspections within the City of San Diego, outlining requirements and procedures for project inspections.
See template
See template
Requesting And Implementing Data Self Service (DSS)
PDF template
Comprehensive guide for requesting and implementing Data Self Service interconnection with USA Staffing, including planning, requirements, and documentation process.
See template
See template
Application Form Guidelines
PDF template
Detailed guidelines for filling out an application form, providing step-by-step instructions for each section of the document.
See template
See template
Admission Guidelines
PDF template
Comprehensive guide for school admission process for academic year 2023-2024, detailing age criteria, application steps, and required documentation.
See template
See template
2024 John S. Dunn Collaborative Research Award Program Proposed Budget
PDF template
Budget proposal form for collaborative research award program with detailed cost breakdown and funding guidelines.
See template
See template
PHFA 2014 Commitment Processing Manual
PDF template
Guidance document for management and marketing requirements for multifamily housing developments financed by the Pennsylvania Housing Finance Agency (PHFA)
See template
See template
Drinking Water Revolving Loan Fund Program Loan Application Package
PDF template
Loan application package for water infrastructure funding in Louisiana, designed for entities seeking financial assistance for drinking water projects.
See template
See template
Dynamic Budget Projections Version 2023 Purchase Form
PDF template
A purchase form for acquiring a budget projection resource from MSBO with payment and billing details.
See template
See template
Dynamic Budget Projections Version 2024 Purchase Form
PDF template
Order form for purchasing a dynamic budget projection resource from MSBO for educational organizations
See template
See template
E 09 Incident Report (42018)
PDF template
A comprehensive form for documenting various types of incidents including vandalism, theft, accidents, and violence in organizational settings.
See template
See template
Form 8 K
PDF template
Securities and Exchange Commission filing providing current report for Prothena Corporation Public Limited Company
See template
See template
UTILITY ACCIDENT REPORT FORM E 5
PDF template
Official form documenting accidents and injuries related to utility operations in New Hampshire.
See template
See template
EAF Contribution Form
PDF template
A form for Camelback employees to voluntarily contribute to the Employee Assistance Fund through payroll deductions.
See template
See template
Emergency Assistance To Non Public Schools (EANS) Inventory Form
PDF template
Form for documenting equipment purchased with Emergency Assistance to Non-Public Schools (EANS) II funds for tracking and inventory purposes.
See template
See template
EARLYBIRD ON SITE VOLUNTEER STAFF GUIDELINES AND HANDBOOK 2024
PDF template
Comprehensive guidelines for volunteers at the SUN 'n FUN Expo campus, detailing roles, requirements, and community expectations.
See template
See template
Hazard Report Form
PDF template
A standardized form for employees to report potential workplace safety hazards and risks.
See template
See template
PELHAM SCHOOL DISTRICT POLICY EBBB ACCIDENT REPORTS
PDF template
Comprehensive policy detailing requirements for reporting accidents involving students or employees in school settings, including notification procedures and documentation guidelines.
See template
See template
SCHOOL ACCIDENT REPORT FORM
PDF template
A form to document injuries occurring in school or during school-sponsored activities, used for recording accident details and follow-up actions.
See template
See template
Accident Reporting
PDF template
Policy outlining procedures for reporting accidents involving students or employees at school or school-sponsored activities.
See template
See template
General Instructions For The Completion Of A Budget Justification Form
PDF template
Comprehensive guide detailing requirements and guidelines for completing a budget justification form with specific line item instructions.
See template
See template
Guidelines For Preparation Of Budget Forms
PDF template
Detailed guidelines for financial management and budget preparation for Community Development Block Grant (CDBG) fund recipients.
See template
See template
Guidelines For Preparation Of Budget Forms
PDF template
Detailed guidelines for financial management and budget preparation for Community Development Block Grant (CDBG) fund recipients.
See template
See template
Safe Church Forms And Resources
PDF template
Comprehensive collection of forms and documentation for church safety protocols and incident reporting.
See template
See template
Educational Theatre Association General Incident Report Form
PDF template
A comprehensive form for documenting accidents, injuries, or policy violations within the Educational Theatre Association.
See template
See template
Fiscal Year 2021 Capital Request Form For Education Projects
PDF template
A form for schools to request capital funding for educational projects in Staten Island for fiscal year 2021.
See template
See template
Education Proposal Form FAQ
PDF template
Frequently asked questions about submitting an education project proposal to the College of Professional Learning and Leadership (CoPLL)
See template
See template
Educator Innovation Grant Application Form
PDF template
Application form for educators seeking funding for innovative academic, cultural, and community projects through the West Shore Foundation.
See template
See template
Office Of Energy Energy Efficiency And Conservation Block Grant (EECBG) Checklist
PDF template
A comprehensive checklist for municipalities and counties applying for energy planning grant funding through the Energy Efficiency and Conservation Block Grant program.
See template
See template
Effective Exit Interview Skills For HR Business Partner
PDF template
A comprehensive training program designed to transform exit interviews from a non-value-added activity to a strategic tool for improving employee retention and organizational understanding.
See template
See template
IMPORTANT INFORMATION REGARDING INTERNATIONAL TRAVEL APPROVALS
PDF template
Comprehensive guidelines for domestic and international business travel, including COVID-19 considerations and approval processes for university faculty, staff, and students.
See template
See template
Horizon Europe Evaluation Form (HE MSCA)
PDF template
Official guidelines for scoring and evaluating research proposals under the Horizon Europe Marie Skodowska-Curie Actions (MSCA) program.
See template
See template
IHS Electronic Health Record Program Site Questionnaire
PDF template
A comprehensive questionnaire for Indian Health Service facilities to assess readiness and preparedness for electronic health record implementation.
See template
See template
CAPITAL PLANNING SYSTEM USER MANUAL
PDF template
Comprehensive manual for using the Proposed Projects form (SYP-P2) in a capital planning system, detailing user navigation and project management actions.
See template
See template
East Kintyre Windfarm Trust Form Guidance
PDF template
Comprehensive guidance document for completing a grant application for the East Kintyre Windfarm Trust, detailing required information and supporting documentation.
See template
See template
Electronic Proposal Routing Approval Form (EPRAF)
PDF template
A comprehensive form for submitting and routing research project proposals, capturing key details about funding, project team, and administrative information.
See template
See template
STATE OF IDAHO ELEVATOR ACCIDENT REPORT
PDF template
Official form for reporting elevator accidents and incidents in the state of Idaho, to be completed by elevator owners or their representatives.
See template
See template
B2B E List System Guidelines And Open House Luncheon Information
PDF template
Guidelines for professional communication and usage of email lists for real estate brokers within the Aspen Board of Realtors.
See template
See template
Memberclicks E List System Guidelines And Open House Luncheon Information
PDF template
Guidelines and terms of use for a professional real estate email communication system for Aspen Board of Realtors members.
See template
See template
Early Learning Scholarships Invoice Form SFY2024
PDF template
Invoice form for early childhood education programs serving Early Learning Scholarships Pathway I award recipient children to submit payment for eligible service expenses.
See template
See template
Active Directory And Email Access Request Form
PDF template
Form for requesting and authorizing Active Directory and email system access for faculty, staff, and consultants
See template
See template
Embrace The Outdoors Grant Application Form
PDF template
A grant application form for non-profit organizations seeking funding to support outdoor community activation projects in Calgary.
See template
See template
Embrace The Outdoors Grant Application Form
PDF template
A grant application form for non-profit organizations seeking funding for outdoor community projects in Calgary.
See template
See template
VOLUNTEER EMERGENCY CONTACT FORM
PDF template
A form for collecting volunteer personal information and emergency contact details for Keystone Mission's volunteer program.
See template
See template
The John H. Emery Rail Heritage Trust Grant Application Form
PDF template
A comprehensive grant application form for non-profit organizations seeking funding from the John H. Emery Rail Heritage Trust for rail-related preservation projects.
See template
See template
HR 122 Employee Incident Report
PDF template
A detailed form for documenting workplace incidents and injuries for employees of Biggs Unified School District.
See template
See template
EMPLOYEE COMPLAINT FORM
PDF template
A comprehensive form for employees to document workplace concerns including discrimination, harassment, ethical, or safety issues.
See template
See template
Employee Evaluation Form
PDF template
A comprehensive employee performance assessment document with rating scales and sections for job knowledge, work quality, and goal setting.
See template
See template
Employee Evaluation Form
PDF template
A comprehensive form for evaluating employee performance across multiple skill and competency areas.
See template
See template
Employee Handbook
PDF template
Comprehensive human resource manual detailing the organization's history, philosophy, mission, and employment practices for Crisis Center, Inc.
See template
See template
Employee Injury Report Form
PDF template
A form for documenting employee workplace injuries, incidents, and medical treatment details for workplace safety and insurance purposes.
See template
See template
Virginia Tech Employee Software Sales Order Form
PDF template
Order form for Virginia Tech employees to purchase software and technology accessories at discounted rates.
See template
See template
Staff Appraisal
PDF template
A comprehensive employee performance review document for documenting and evaluating staff performance, goals, and development
See template
See template
Employee Performance Review Checklist
PDF template
A comprehensive tool for evaluating employee job performance across multiple dimensions including goals, productivity, communication, and teamwork.
See template
See template
Employee Progress Performance Review
PDF template
A comprehensive employee performance review document for rating job performance, skills, and goal achievement.
See template
See template
Employee Reporting Of Abuse Policy
PDF template
Policy detailing mandatory reporting requirements for abuse of dependent adults by employees and volunteers in care facilities.
See template
See template
EMPLOYMENT APPLICATION
PDF template
Job application form for the Society for the Protection and Care of Children, emphasizing equal opportunity employment and child safety considerations.
See template
See template
Completing An Accident Report Form Answers
PDF template
A reference document for understanding how to complete an accident report form, provided as an answer sheet or instructional guide.
See template
See template
Application Part 1 Proposal Form
PDF template
A comprehensive form for organizations to submit grant proposals, capturing project details, contact information, and funding requirements.
See template
See template
Annual Budget 202425 Phase One Engagement Summary Report
PDF template
A report documenting the community engagement process for the Maribyrnong City Council's annual budget development, detailing feedback collection methods and results.
See template
See template
Rocky Mountain Water Company Engineering Design Guidelines
PDF template
Guidelines for design and alteration of Rocky Mountain Water Company ditch easements, including process requirements and restrictions.
See template
See template
Integrated Report Form For Simplified Reports
PDF template
Official document for member states to report on implementation of international labor conventions and measures taken to comply with ILO standards.
See template
See template
Enroll A Member NYSLRS Quick Guide
PDF template
A step-by-step guide for personnel contacts to enroll new members in the New York State and Local Retirement System online platform.
See template
See template
Entertainment Expense Approval Form
PDF template
Form for requesting and approving university-related entertainment expenses with detailed documentation requirements.
See template
See template
Green Partners Budget Form
PDF template
Detailed budget breakdown for a community recycling and environmental education project involving ambassadors and workshops.
See template
See template
Green Partners Budget Form
PDF template
Comprehensive budget form detailing expenses for a youth environmental project including staff, youth stipends, field trips, and program supplies.
See template
See template
Short Environmental Assessment Form
PDF template
A form for assessing environmental impacts of proposed projects or actions, requiring detailed project and location information.
See template
See template
Complaint Form For Filing A Protected Disclosure Of Improper Governmental Activities AndOr Significa
PDF template
A form for employees or applicants to report improper governmental activities or significant health and safety threats.
See template
See template
Annex B Potential Vendors Self Declaration Form
PDF template
A self-declaration form for potential international courier service vendors interested in providing services to the United Nations Office at Nairobi.
See template
See template
Expression Of Interest (EOI) And Data Protection Consent Form
PDF template
A form for expressing interest in the Rural Development Programme 2014-2022 (LEADER) funding process in County Mayo, Ireland.
See template
See template
EPC Requisition Form
PDF template
A financial form for requesting payments or reimbursements within a church ministry budget across various ministry categories.
See template
See template
BSWIC INDV EPO APP 01 2022
PDF template
Application form for Exclusive Provider Organization (EPO) health insurance coverage with Baylor Scott & White Insurance Company
See template
See template
English Profile Research Proposal Form
PDF template
A structured template for submitting research proposals to the English Profile program, outlining project details and research methodology.
See template
See template
EPSRC NSF Lead Agency Opportunity
PDF template
A collaborative funding opportunity between the US National Science Foundation (NSF) and UK's Engineering and Physical Sciences Research Council (EPSRC) to support joint international research proposals.
See template
See template
Spill Or Release Report
PDF template
Official form for reporting environmental spills, releases, or incidents in Michigan by individuals or organizations.
See template
See template
Equipment Damage Report Template
PDF template
A template for documenting equipment damage, loss, or theft incidents in an organization's accounting records.
See template
See template
Equipment FailureDamage Report Form
PDF template
A form used to document and report instances of equipment failure or damage with key identifying information.
See template
See template
Equipment Requisition Form (Purchases Under 5K)
PDF template
A form for requesting equipment purchases under $5,000, including vendor details, pricing, and approval signatures.
See template
See template
Equipment To Be Purchased Local Consolidated Plan
PDF template
Form for documenting individual equipment purchases over $5,000 for educational programs at the Kansas State Department of Education.
See template
See template
Expense Report Form
PDF template
A comprehensive financial reporting form for tracking program and administrative expenses for Communities In Schools of Wake County.
See template
See template
E Rate Glossary Of Terms
PDF template
A comprehensive glossary defining key terms and concepts related to the E-Rate universal service support program for schools and libraries.
See template
See template
Emergency Response Guidelines
PDF template
A comprehensive guide for responding to various campus emergencies and safety procedures for university community members.
See template
See template
ElectricianS Retirement Fund Benefit Application Packet
PDF template
An application packet for pension benefits from the Electrician's Retirement Fund, providing instructions for submitting retirement documentation.
See template
See template
ERGaR Statutes
PDF template
Legal statutes defining the organizational structure, purpose, and governance of the European Renewable Gas Registry (ERGaR), an international non-profit organization focused on renewable gas documentation and trading.
See template
See template
ERME Budget Form
PDF template
Comprehensive budget form for research project expenses covering personnel, equipment, travel, and other direct costs.
See template
See template
ESCAPMCREI20222 Enabling Trade And Investment For Sustainable Development In Times Of Crisis
PDF template
A United Nations document addressing the importance of regional economic cooperation and trade in navigating global crises and promoting sustainable development.
See template
See template
TRAVEL AUTHORIZATION FORM
PDF template
A form for obtaining pre-approval and funding for travel expenses for students, with specific submission timeline requirements based on travel type.
See template
See template
ESPEN RESEARCH FELLOWSHIPS 2020 APPLICATION FORM
PDF template
Application form for research fellowship funding from ESPEN, with detailed requirements for applicants and project details.
See template
See template
ESPEN Research Fellowships 2021 Application Form
PDF template
Application form for research fellowship program offering financial support to research professionals in a specialized field.
See template
See template
ESRD Incident Or Accident Report Form
PDF template
A detailed reporting form for documenting critical incidents or accidents in healthcare facilities, especially for End-Stage Renal Disease (ESRD) centers.
See template
See template
Elementary And Secondary School Emergency Relief (ESSER) Equipment Purchase Form
PDF template
A form for schools to request purchasing individual equipment items over $5,000 for special education and title services programs.
See template
See template
ESS Department Field Trip Documentation Policy
PDF template
Comprehensive policy outlining required documentation and procedures for field trip leaders in the ESS Department.
See template
See template
ESTABLISHING A PROJECT FORM
PDF template
A form used to establish a new project or fund within the Florida Atlantic University Foundation, detailing project purpose, funding, and authorized signers.
See template
See template
NREL Form Estimated Budget Form
PDF template
A comprehensive budget and cost estimation form for project proposals submitted to the National Renewable Energy Laboratory (NREL)
See template
See template
Community Grant Application Form
PDF template
A comprehensive application form for non-profit organizations seeking community grant funding for various programs and events in Estevan, Saskatchewan.
See template
See template
Employment Training Fund (ETF) Employer Referral Agreement
PDF template
A form for employers to request workforce training funding assistance through the Department of Labor and Industrial Relations' Employment & Training Fund.
See template
See template
ET Perry Centennial Chapter Grant Application Form
PDF template
A grant application form for ET Perry Centennial Chapter to request organizational support funds
See template
See template
EU Settlement Scheme Suitability Requirements
PDF template
Comprehensive guidance for Home Office staff on suitability requirements and considerations for EU Settlement Scheme applications.
See template
See template
FAEC Annual Conference Evaluation Form
PDF template
Evaluation form for tracking participant feedback on conference sessions at the FAEC Annual Conference
See template
See template
Call For Remote Evaluation Specialist
PDF template
A temporary 7-month full-time position with Community-Campus Partnerships for Health focused on research and evaluation of community engagement projects.
See template
See template
EVENTACTIVITY REQUEST RISK ASSESSMENT FORM
PDF template
A comprehensive checklist for evaluating potential risks and participants for events or activities at an institution.
See template
See template
EVENTACTIVITY REQUEST RISK ASSESSMENT FORM
PDF template
A comprehensive form for submitting and assessing potential risks associated with university events and activities
See template
See template
Event Proposal Form
PDF template
A comprehensive form for military personnel to propose and plan squadron recreational and social events with detailed funding and activity breakdowns.
See template
See template
Event Report
PDF template
A form used to document and report incidents involving residents in healthcare facilities, tracking details of potential abuse, neglect, or mistreatment.
See template
See template
Event Space Inquiry Form
PDF template
A comprehensive form for individuals and organizations to request event space rental details at The Center at Belvedere.
See template
See template
AP 7150 Evaluation
PDF template
District policy outlining systematic performance evaluation procedures for management employees with established criteria and annual review process.
See template
See template
CY 2025 TITLE IV E REIMBURSEMENT FOR COUNTY EWiSACWIS COSTS
PDF template
Guidelines for preparing budget forms and time reports for Title IV-E reimbursement of county eWiSACWIS system costs for calendar year 2025.
See template
See template
Homeowner Issue And Action Form
PDF template
A form for homeowners to report issues or problems to the property management company for resolution.
See template
See template
ACCIDENT REPORT FORM
PDF template
A comprehensive form documenting details of an accident, including injured person information, accident circumstances, and follow-up actions.
See template
See template
Volunteer Management Toolkit Health And Safety Information
PDF template
A comprehensive guide outlining health and safety responsibilities, reporting procedures, and expectations for volunteers in arts organizations.
See template
See template
Evaluating The Executive Director
PDF template
A comprehensive guide for nonprofit boards on effectively conducting performance evaluations for executive directors, focusing on organizational mission and goals.
See template
See template
Executives Management Performance Review
PDF template
A performance evaluation form for executives and management-level employees at Wayne State University, covering self-assessment, supervisor review, and signature process.
See template
See template
PS 03.A.38 CENTERS AND INSTITUTES EXHIBIT B ANNUAL REPORT FORM
PDF template
A comprehensive annual reporting form for documenting activities, accomplishments, and financial status of academic centers and institutes.
See template
See template
Exhibit Covid 19 Protocols For Facilities Management Contractors
PDF template
Guidelines for contractors working on Wellesley College campus during the COVID-19 pandemic, outlining health and safety requirements.
See template
See template
Supervisor Safety Accident Report Form
PDF template
A comprehensive form for documenting workplace accidents, injuries, and recommended corrective actions.
See template
See template
Form 10 Q
PDF template
Quarterly financial report filed with the U.S. Securities and Exchange Commission for the period ended September 30, 2012.
See template
See template
Union Ridge Solar Complaint Resolution Plan
PDF template
A comprehensive plan outlining how Union Ridge Solar will address community concerns and manage complaints during the solar energy project development process.
See template
See template
Incidental Expenses RequestApproval Form
PDF template
A form for requesting and approving funding for client services and incidental expenses through a social service agency.
See template
See template
EXPENSECOST TRANSFER REQUEST FORM
PDF template
A form for requesting transfer of expenses or costs between different financial account codes (FOAPA)
See template
See template
SEMA4 EMPLOYEE EXPENSE REPORT
PDF template
A form for employees to document and request reimbursement for travel-related expenses and mileage.
See template
See template
Travel And Business Related Expense Policy
PDF template
Policy governing travel and business-related expense reimbursement for volunteers and non-employees of the State Bar of California.
See template
See template
Student Expense Reimbursement Process
PDF template
Detailed instructions for students to submit expense reimbursement forms, including required documentation and submission process.
See template
See template
Expense Report
PDF template
A comprehensive form for employees to document and request reimbursement for work-related expenses including travel, meals, and other costs.
See template
See template
Judging Accreditation Test Administrators Expense Report Form
PDF template
Form for USA Gymnastics test administrators to report expenses and honorarium for exam administration.
See template
See template
SEMA4 Employee Expense Report
PDF template
A detailed form for documenting employee travel expenses, mileage reimbursement, and other related costs.
See template
See template
Expense Transfer Request
PDF template
Internal form used to transfer expenditures between different FOAPAL accounts within the university's financial system.
See template
See template
The Experts Introduction To Franchising
PDF template
A comprehensive guide exploring franchising from multiple expert perspectives, covering recruitment, funding, and business considerations for franchisors and franchisees.
See template
See template
Form B Exposure Incident Report Form
PDF template
A form documenting potential medical exposure incidents for students during clinical training or placement.
See template
See template
External Scholarship Form
PDF template
Form for submitting external scholarships to the University of Utah Financial Aid Office for processing and application to student accounts.
See template
See template
Requirements Of Nominated Representative And Technical Signatories Checklist Form
PDF template
A form for evaluating and documenting the qualifications, experience, and competencies of nominated representatives and technical signatories.
See template
See template
Partners For Fish And Wildlife Notice Of Funding Opportunity
PDF template
A voluntary program providing technical and financial assistance to private landowners for restoring and conserving fish and wildlife habitat.
See template
See template
Cigarette DistributorS Monthly Return
PDF template
Monthly tax reporting form for cigarette distributors tracking unstamped and stamped cigarette inventory in Arizona
See template
See template
Form 8 K
PDF template
Securities and Exchange Commission filing providing current report information for Renovaro Inc.
See template
See template
Misconduct Incident Report
PDF template
Form for reporting incidents of alleged misconduct, client abuse, neglect, or misappropriation of client property in healthcare settings.
See template
See template
Form 8038 GC
PDF template
IRS form for reporting information about small tax-exempt governmental bond issues, leases, and installment sales under Internal Revenue Code section 149(e).
See template
See template
Form 8655 Reporting Agent Authorization
PDF template
An Internal Revenue Service form for authorizing a reporting agent to sign, file tax returns, and make deposits or payments on behalf of a taxpayer.
See template
See template
Form 8922 Third Party Sick Pay Recap
PDF template
A tax form used to reconcile employment tax returns with Forms W-2 when third-party sick pay is paid.
See template
See template
COMPE EE 798 Project Registration Request Form
PDF template
Registration form for San Diego State University students enrolling in a graduate-level electrical engineering project course
See template
See template
Fabrication Request Form
PDF template
A form used to request fabrication services at the Carleton Laboratory, requiring detailed account and project information.
See template
See template
Faade Improvement Grant Application
PDF template
A grant application form for property owners or tenants seeking funding for exterior building improvements in the Town of Fort Mill, South Carolina.
See template
See template
Facilities Remodel Request
PDF template
A comprehensive form for requesting facility repairs, remodeling, and documenting approvals for internal infrastructure projects.
See template
See template
Mixture Component Form
PDF template
A form for documenting chemical substances and their ingredients for environmental and safety reporting purposes.
See template
See template
Faculty Assigned Time Pre Authorization Form
PDF template
A form for faculty to request and document assigned time for academic activities with required approvals and reporting.
See template
See template
Faculty Auditing Inquiry Form
PDF template
A form for faculty to report issues or make special requests related to faculty hours auditing and reporting.
See template
See template
Faculty Development Grant Proposal Form
PDF template
A form for faculty members to request funding for professional development, enrichment, or community activities.
See template
See template
Faculty Development Grant Summary Report Form
PDF template
A form for faculty to report on the outcomes and impact of a professional development grant.
See template
See template
Faculty Request To Support Graduate Student Research Proposal Or Thesis
PDF template
A form for WellStar College of Health & Human Services faculty to request professional development funds for supporting graduate student research projects.
See template
See template
FACULTY GRANT APPLICATION FORM
PDF template
Application form for faculty members seeking research and project funding from the McGillicuddy Humanities Center at the University of Maine.
See template
See template
Amazon Mechanical Turk Purchase Request Form
PDF template
A form for requesting and documenting the purchase of Amazon Mechanical Turk services for research purposes with required approvals.
See template
See template
Institutional Advancement Funding Inquiry Form
PDF template
A comprehensive form for academic professionals to request project funding and provide detailed project information to institutional leadership.
See template
See template
Faculty Research Proposal
PDF template
A formal document for faculty members to submit research project proposals seeking funding and approval from the university research council.
See template
See template
IPIA International Travel Grant Application Form
PDF template
Form for Purdue University faculty or staff to request funding for international conference travel and participation.
See template
See template
Illinois Wesleyan University Student Senate Code Of Finances
PDF template
Comprehensive financial guidelines for student organization funding and resource management at Illinois Wesleyan University.
See template
See template
Community Gallery Proposal Form
PDF template
Application form for non-profit organizations seeking to exhibit artwork in a community gallery space
See template
See template
Study Order Form
PDF template
Order form for purchasing FAMIC study reports and executive summaries with payment and membership options.
See template
See template
Genealogy Record
PDF template
A comprehensive record-keeping form for 4-H club members to document their genealogy project and participation details.
See template
See template
Financial Affairs Procurement Guidelines FY 2018
PDF template
Comprehensive guidelines for purchasing processes and requirements for New York Institute of Technology, covering bid procedures, vendor selection, and procurement protocols.
See template
See template
FAQs For The Back To Business Illinois Creative Arts Recovery Grant Program (B2B Arts)
PDF template
Frequently asked questions document providing details about the Illinois Creative Arts Recovery Grant Program for businesses impacted by COVID-19.
See template
See template
Frequently Asked Questions (FAQ) Budget Development Forms
PDF template
A guide explaining budget request processes, forms, and procedures for university departments and budget submissions.
See template
See template
State Personnel Board Performance Evaluation Rules
PDF template
Comprehensive guidelines for performance documentation, evaluation processes, and requirements for state employees in New Mexico.
See template
See template
Appendix B Accident Report Form
PDF template
A detailed form for documenting accidents that occur at a market, capturing incident details, injuries, and witness information.
See template
See template
ASNIC Student Government FAST Grant Application Form
PDF template
A form for ASNIC clubs to request funding for events and activities through the FAST grant program.
See template
See template
Faxed Timesheet Policy
PDF template
Policy outlining rules and procedures for submitting timesheets via fax for regular payroll processing.
See template
See template
Friends Of Beckman Mill Membership Form
PDF template
A membership form for joining Friends of Beckman Mill, a non-profit organization dedicated to preserving a historic mill and park site.
See template
See template
Fidelis Care Behavioral Health Program Grant Application Form 2024
PDF template
A comprehensive grant application form for behavioral health organizations seeking funding from Fidelis Care, with detailed requirements for organizational information and program goals.
See template
See template
FCC Form 463 Rural Health Care (RHC) Universal Service Healthcare Connect Fund Invoice And Request F
PDF template
Federal form for requesting disbursement and documenting expenses in the Rural Health Care Universal Service Healthcare Connect Fund program.
See template
See template
FCC Form 472
PDF template
A form for schools, libraries, or consortia to request reimbursement for discounts on approved services already paid for by the billed entity.
See template
See template
Fresh Connect Program Mini Grant Application Form
PDF template
Application form for agricultural mini-grants supporting farmers' markets in New York State
See template
See template
Faculty Development Committee (FDC) Disbursement Expense Reporting
PDF template
Guidelines for faculty expenses, reimbursement processes, and fiscal year spending for Regis University faculty development funds.
See template
See template
Off Campus Conference, Seminar, Or Workshop Application For Funding
PDF template
A form for faculty to request funding for professional development events and conferences outside the campus.
See template
See template
PHASE VII FDP DEMONSTRATION PROPOSAL FORM
PDF template
A form for proposing new or ongoing demonstrations within an organizational framework, detailing project objectives and implementation.
See template
See template
FL Engineering LLC Project Information Form
PDF template
A detailed form for submitting construction project details, including property, contractor, and structural information for permitting purposes.
See template
See template
Instructions For FEC Form 3 And Related Schedules
PDF template
Comprehensive guide to filing Federal Election Commission Form 3 for campaign finance reporting, explaining report components and schedules.
See template
See template
FEC Form 3X Instructions
PDF template
Comprehensive instructions for filing Federal Election Commission Form 3X, detailing reporting requirements for party and political action committees.
See template
See template
Mission Grant Application Form
PDF template
Application form for organizations seeking financial support from Faith Church for mission projects or initiatives.
See template
See template
Federal And University Guidelines For Protection Of Human Subjects Involved In Research (IRB Applica
PDF template
Guidelines for protecting human subjects in research, including IRB review procedures, informed consent requirements, and research definitions.
See template
See template
LAMB Advisory Summit Feedback Form
PDF template
A feedback form for community partners to provide input and potential assistance for the LAMB Project initiative.
See template
See template
Targa New Zealand 2017 FeedbackDebrief Report
PDF template
A form for participants to provide feedback and insights about the Targa New Zealand motorsport event.
See template
See template
Application Form Fellowship Form (FAPM)
PDF template
Application form for obtaining Fellowship status with the Association for Project Management (APM)
See template
See template
Fellowship Programs At Independent Research Institutions
PDF template
A National Endowment for the Humanities program supporting fellowships for advanced humanities research at independent research institutions.
See template
See template
FEMA Grant Application Form Safeguarding Tomorrow Through Ongoing Risk Mitigation Revolving Loan Fun
PDF template
A grant application form for entities seeking funding through FEMA's Risk Mitigation Revolving Loan Fund program, with specific eligibility requirements and submission guidelines.
See template
See template
GRANT APPLICATION FORM
PDF template
A comprehensive form for organizations seeking grant funding from Ferring, detailing organizational and program information.
See template
See template
Project Contractor Form Procedures
PDF template
Document detailing procedures for submitting and obtaining approval for construction, renovation, and remodeling projects in a residential association.
See template
See template
FFVP INITIAL BUDGET FORM 2024 2025
PDF template
Budget allocation form for schools participating in the Fresh Fruit and Vegetable Program with detailed monthly spending categories.
See template
See template
Membership Form
PDF template
A membership form for joining the Friends of the Gates Public Library, offering various membership levels and volunteer opportunities.
See template
See template
FHWA Transfer Request Form FHWA 1575
PDF template
Official form for transferring and repurposing federal highway program funds between different project categories and programs.
See template
See template
Donation Inquiry Form
PDF template
A form for organizations seeking donation support from a winery, requiring detailed event and organizational information.
See template
See template
RESIDUAL SUPPLIES INVENTORY FORM
PDF template
A form to document unused supplies and their disposition according to Federal guidelines for grant-funded projects.
See template
See template
Bequest To Create Trust Form Field Of Interest Fund
PDF template
A legal document for establishing a charitable trust fund with The New York Community Trust specifying field-of-interest distribution.
See template
See template
Field Research Grant (FRG) Budget Form
PDF template
A budget form for requesting funds to support field research expenses and travel costs.
See template
See template
MIRACOSTA COMMUNITY COLLEGE DISTRICT EXCURSION LIABILITY RELEASE And AGREEMENT
PDF template
A comprehensive form outlining guidelines and requirements for field trip participation at MiraCosta Community College District.
See template
See template
CSB And CoC Invoicing Frequently Asked Questions
PDF template
A comprehensive guide explaining invoicing procedures, budget constraints, and documentation requirements for Community Service Board (CSB) and Continuum of Care (CoC) contracts.
See template
See template
AccidentIncident Report Form
PDF template
A comprehensive form for documenting workplace accidents, incidents, and related details for reporting and prevention purposes.
See template
See template
ST. LOUIS LIVING WAGE ORDINANCE ANNUAL REPORT FORM
PDF template
Annual reporting form for non-city parties to city contracts documenting compliance with living wage requirements.
See template
See template
Audubon Wildlife Fund Grant Application Form
PDF template
A comprehensive grant application form for wildlife conservation and research projects supported by the Audubon Wildlife Fund in Montana.
See template
See template
Budget Justification
PDF template
A document template for itemizing and justifying budget expenses with quantity and total cost calculations.
See template
See template
PROJECTACTIVITY PROPOSAL FORM
PDF template
A form for faculty to request funding for professional development and scholarly activities within the department's priorities and goals.
See template
See template
Timeline Form
PDF template
A form for documenting project expenses and timeline for artist project selection and agreement.
See template
See template
Contact Form
PDF template
Form for collecting contact details and information for food bank partner agencies across Iowa regions.
See template
See template
Cost Share Request Form
PDF template
A form for documenting and requesting cost sharing details for research project proposals across multiple years.
See template
See template
APPLICATION FOR EMPLOYMENT
PDF template
A comprehensive employment application form for potential job candidates seeking employment with the Port of Port Angeles.
See template
See template
FINAL PROJECT REPORTING FORM
PDF template
A form for documenting a project plan and desired outcomes from skills learned in township governance training.
See template
See template
Membership Form
PDF template
Membership application form for the Victoria Women's Transition House Society that allows individuals to join and support the organization's mission of gender equality and supporting women and children experiencing violence.
See template
See template
Consent Form
PDF template
Authorization for Rockaway Development and Revitalization Corporation to obtain personal financial information for credit counseling services.
See template
See template
Form Cc 11 AccidentIncident Report Form
PDF template
Official form for documenting accidents or incidents involving individuals in the city jurisdiction.
See template
See template
ClaimIncident Report Form
PDF template
A comprehensive form for documenting insurance claims, liability incidents, and property damage details.
See template
See template
Membership Form
PDF template
A membership and donation form for a non-profit organization supporting children and adults with developmental disabilities.
See template
See template
Municipal Grant Application
PDF template
A form for local organizations to apply for municipal funding within the Township of Selwyn, with submission deadline of March 31st, 2024.
See template
See template
Participant Declaration Form
PDF template
A formal document for organizations to declare their commitment, contributions, and compliance for a collaborative project.
See template
See template
NPI Partnership Agreement Letter
PDF template
A collaborative agreement form for partners to work together on a joint project, outlining organizational roles and contact details.
See template
See template
HOME EDUCATION REIMBURSEMENT REQUEST
PDF template
A form for parents to request reimbursement for educational expenses related to a student's home education program.
See template
See template
Domestic Guest Travel Request
PDF template
A comprehensive form for domestic travel arrangements and reimbursement guidelines for guests visiting the University of North Carolina.
See template
See template
Student InjuryIncident Report Form
PDF template
A comprehensive form for reporting student injuries, visitor incidents, or property damage within Saint Paul Public Schools
See template
See template
Grant Application Eligibility Assessment
PDF template
A detailed assessment form to determine organizational eligibility for grant funding from The Portland Clinic Foundation.
See template
See template
SEERS Student Travel Grant Application Form
PDF template
Application form for students seeking financial support to attend a research conference or meeting from the Southeastern Estuarine Research Society.
See template
See template
TTWC Incident Report Form
PDF template
A comprehensive form for documenting incidents occurring at Truth Transformation Worship Center, collecting details about the incident, location, and involved parties.
See template
See template
Volunteer And Confidentiality Form 2024
PDF template
A comprehensive volunteer registration form collecting personal information, demographics, and contact details for potential volunteers.
See template
See template
Volunteer And Confidentiality Form 2024
PDF template
A comprehensive form for volunteer recruitment and demographic data collection by N2N Centre.
See template
See template
Adult And College Volunteer Application
PDF template
Comprehensive application form for adult and college volunteers seeking to volunteer at multiple campus locations in Georgia.
See template
See template
2019 2020 Volunteer Application
PDF template
Comprehensive application form for individuals seeking to volunteer, capturing personal information, preferences, and availability.
See template
See template
Membership Form
PDF template
Application form for joining the Woodbridge Pickleball Club, a non-profit organization dedicated to pickleball recreation and competitive play.
See template
See template
Filling In And Comprehending The Personnel Security Clearance
PDF template
A guide for understanding and completing personnel security clearance procedures in an organization.
See template
See template
Film Budget Pro Confidentiality Agreement
PDF template
A confidentiality agreement between Film Budget Pro and a client to protect sensitive information during potential film budgeting services discussions.
See template
See template
MeHAF Budget Guidance
PDF template
Comprehensive guide for completing budget forms for grant applications, detailing income, expenses, and accessibility considerations.
See template
See template
Appendix B Credit And Debt Management Operating Standards And Procedures Handbook
PDF template
Guidelines for federal agencies on referring debt information to credit reporting bureaus and managing credit programs.
See template
See template
Final Budget Approval Form
PDF template
A form for documenting project costs, financing, and details for State Water Resources Control Board's State Revolving Fund program.
See template
See template
Measure J Growth Management Program Compliance Checklist
PDF template
A compliance checklist for jurisdictions in Contra Costa to receive local street maintenance and improvement funds under Measure J program requirements.
See template
See template
FINAL FINANCING FORM
PDF template
Form for documenting final funding sources and amounts for a housing tax credit project by the Illinois Housing Development Authority.
See template
See template
Guide To The AEIF Budget Form And Budget Justification
PDF template
Comprehensive guide for submitting project budget proposals, including detailed instructions for budget form completion and budget justification requirements.
See template
See template
Annual Scholarship Form
PDF template
A form for donors to establish an annual scholarship fund at Santa Monica College Foundation with options for specifying student eligibility criteria.
See template
See template
Things To Check For On Finals
PDF template
A comprehensive checklist for reviewing key elements and requirements when finalizing a construction project contract and payments.
See template
See template
Notice Of FinancePersonnel Committee Meeting
PDF template
Official meeting agenda for the East Aurora School District 131 Finance/Personnel Committee covering financial and personnel matters
See template
See template
Finance Forum Notes
PDF template
Documentation of a new electronic budget revision workflow system and updated returned check fee procedure for an organization
See template
See template
Finance Handbook Of The University Of Rhode Island Student Senate
PDF template
Comprehensive financial policies and procedures manual for the University of Rhode Island Student Senate governing financial operations and budgeting.
See template
See template
Tribal Government Finance Manual
PDF template
Comprehensive financial management guidelines for the Nez Perce Tribal government, covering policies and procedures for financial operations.
See template
See template
Hanyang University Cost Information And Funding Availability Form
PDF template
A document detailing estimated student expenses at Hanyang University and sources of potential financial support for international students.
See template
See template
Financial Affidavit Form
PDF template
A form documenting financial resources and proof of funds for exchange and visiting students at Hanyang University for the 2019-2020 academic year.
See template
See template
Policies And Procedures For Handling Volunteer And County Office Financial Accounts
PDF template
Guidelines for managing financial accounts for University of Idaho Extension volunteer groups and county offices, focusing on sound money management practices.
See template
See template
FINANCIAL ASSESSMENT FORM
PDF template
A comprehensive document capturing an individual's income sources, expenses, and financial status for assessment purposes.
See template
See template
Request For Financing Form APC
PDF template
Comprehensive financing request document for organizations seeking financial support, detailing applicant information, financing terms, and required documentation.
See template
See template
Town Of West Boylston Finance Committee Transfer Request Form
PDF template
A municipal form for requesting budget transfers or reserve fund allocations within local government financial procedures.
See template
See template
Report On 2002 03 GovernorS Budget
PDF template
A joint meeting of the UC Regents Committees on Grounds and Buildings and Finance discussing the state budget challenges and potential budget cuts.
See template
See template
Fire District Adopted Budget
PDF template
Budget document for a fire district detailing financial resources, tax revenue, and levy estimates for a fiscal year.
See template
See template
VEHICLE ACCIDENT REPORTING
PDF template
Detailed procedure for reporting and managing vehicle accidents involving Phoenix Fire Department vehicles, including notification protocols and scene management.
See template
See template
AHCA Form 3500 0031 Fire Incident Report
PDF template
A form used to document and report details of a fire or explosion incident at a licensed facility in Florida.
See template
See template
Health Care Facility Fire Incident Report
PDF template
A comprehensive form for documenting fire incidents in healthcare facilities, tracking details about the fire, casualties, damage, and prevention strategies.
See template
See template
SAFE SPORT INCIDENT REPORT FORM
PDF template
A form for reporting various types of misconduct within First Tee organization, including child abuse, harassment, and other inappropriate behaviors.
See template
See template
Fiscal And Administrative Policy
PDF template
Comprehensive policy manual providing guidelines for state agencies on fiscal management, expenditures, and administrative procedures
See template
See template
Inter Department Charge Requisition Form
PDF template
A form for charging purchases from campus departments to specific budget accounts within an organization.
See template
See template
North Dakota Legislative Fiscal Internship Program Description, Duties, And Qualifications
PDF template
A comprehensive overview of the North Dakota Legislative Council's fiscal internship program, detailing program responsibilities, qualifications, and compensation for students.
See template
See template
Fiscal Sponsor Agreement
PDF template
A form for a fiscal sponsor to agree to manage financial and administrative aspects of a project funded by Saint Paul & Minnesota Foundation and/or F. R. Bigelow Foundation.
See template
See template
FIXED PRICE AGREEMENT BUDGET FORM
PDF template
A financial form for tracking projected and actual expenditures for a research project with fixed-price funding.
See template
See template
Technical Assistance Services INVOICE
PDF template
Invoice form for technical assistance services provided to NYSERDA (New York State Energy Research and Development Authority) project.
See template
See template
Work Order To Physical Plant To Correct Safety Needs
PDF template
Procedure for reporting and managing campus accidents, injuries, and safety incidents at Texas A&M University-Corpus Christi.
See template
See template
Adverse Incident Report Form
PDF template
A comprehensive form for reporting and documenting adverse incidents in behavioral health services involving clients or employees.
See template
See template
Incident Report Form
PDF template
A comprehensive form for documenting incidents, injuries, and damages at farmers markets with contact and emergency information.
See template
See template
Incident Report Form
PDF template
A comprehensive form for documenting accidents, injuries, or incidents occurring at farmers markets.
See template
See template
DEKALB COUNTY GOVERNMENT FY 2021 BUDGET INSTRUCTIONS FOR DEPARTMENTS
PDF template
Instructions for DeKalb County departments on completing budget documentation for fiscal year 2021.
See template
See template
DeKalb County Government FY 2021 Budget Form Submittal Requirements
PDF template
Comprehensive guide for county departments detailing required and optional budget forms for fiscal year 2021.
See template
See template
Form 8 K
PDF template
Securities and Exchange Commission filing providing current report for FedNat Holding Company as of July 24, 2022
See template
See template
JANDAKOT AIRPORT HOLDINGS HAZARD REPORT FORM
PDF template
A form for reporting safety hazards and potential risks at Jandakot Airport, used by tenants, employees, and visitors to document safety concerns.
See template
See template
JANDAKOT AIRPORT HOLDINGS HAZARD REPORT FORM
PDF template
A form for reporting safety hazards and potential risks at Jandakot Airport, with sections for hazard details and management corrective actions.
See template
See template
2024 Community Urban Forestry Assistance (CUFA) Grant Application Instructions
PDF template
Grant application instructions for Indiana communities seeking urban forestry funding from the USDA Forest Service with a 1:1 match requirement.
See template
See template
Friends Of The Cobbossee Watershed Job Application
PDF template
Employment application form for positions at Friends of the Cobbossee Watershed, requiring applicants to be at least 16 years old.
See template
See template
Food Beverage Procedures
PDF template
Policy document outlining rules and procedures for food and beverage purchases at George Mason University, including limitations on expenditures and payment methods.
See template
See template
Kingsborough Community College Official Food Order Form
PDF template
A form for submitting food orders for events at Kingsborough Community College with detailed funding and approval sections
See template
See template
Variety Schools Grant Application Form For School Districts
PDF template
A grant application form for school districts seeking funding from Variety BC to support inclusive and accessible school projects.
See template
See template
Group Ruling And OCD Reportable Changes
PDF template
Instructions for submitting forms related to inclusion, deletion, and reporting changes for Catholic organizations in group rulings and official directories.
See template
See template
PBGC Form 10 Post Event Notice Of Reportable Events
PDF template
A form for reporting significant events related to pension plans that may impact plan participants and financial stability.
See template
See template
INCIDENT REPORT FORM
PDF template
A detailed form for documenting incidents involving children in child care settings, capturing injury details, environmental factors, and treatment information.
See template
See template
ISEF Approval Form (1B)
PDF template
Official approval form for student research projects in science and engineering fairs, documenting institutional and ethical review processes.
See template
See template
Adult Sponsor Checklist (1)
PDF template
A checklist for adult sponsors to review and approve student science fair projects, ensuring compliance with research ethics and safety guidelines.
See template
See template
Expenditure Approval Form 201
PDF template
A form for South Carolina fire departments to request approval for utilizing local Firemen's Inspection Fund expenses
See template
See template
2024 2025 Outside Scholarship Notification Form
PDF template
A form for students to report expected outside scholarships to the university's financial aid office, allowing for financial aid package adjustments.
See template
See template
ApplicatorTechnician Pesticide Annual Report
PDF template
Annual reporting form for pesticide applicators and technicians documenting their commercial pesticide applications in New York State.
See template
See template
Form 430300 2 Incident Report Form
PDF template
An official form for documenting workplace incidents, injuries, property damage, and witness information for Alameda County employees.
See template
See template
Incident Investigation Form
PDF template
A comprehensive form for documenting workplace incidents, accidents, and potential hazards within 72 hours of occurrence.
See template
See template
Incident Report Form
PDF template
A form for reporting incidents or violations in mobile home parks by residents of the Golden State Manufactured-Home Owners League.
See template
See template
FORM 68 EMPLOYEE DISCIPLINARY ACTION FORM
PDF template
A formal document used to record and document employee workplace violations and disciplinary actions.
See template
See template
Form 8 K
PDF template
Current report filed by Varex Imaging Corporation with the U.S. Securities and Exchange Commission, documenting material business events or changes.
See template
See template
Accident Report
PDF template
A document used to record details and circumstances of an accident at Piedmont Virginia Community College.
See template
See template
ACCIDENT REPORT FORM
PDF template
A detailed form for documenting workplace accidents, injuries, and related incident information.
See template
See template
Form ADV (Paper Version)
PDF template
Official form used by investment advisers to register with SEC and state securities authorities, or report as an exempt reporting adviser.
See template
See template
Annual Non Profit Hospital Community Benefits Plan Report
PDF template
Illinois form for non-profit hospitals to report community benefits, charity care, and mission details for annual compliance.
See template
See template
FORM A MMTS Program StudentS Progress Report Form
PDF template
An annual academic productivity and research progress tracking form for students in the MMTS graduate program.
See template
See template
APPLICATION FOR APPROVAL OF ADDITIONAL CAPITAL IMPROVEMENT FUNDS
PDF template
State education department form for requesting additional funds for school construction, renovation, and improvement projects.
See template
See template
Budget Transfer Request Form
PDF template
Internal financial document for transferring funds between departmental accounts with equal increases and decreases.
See template
See template
Accident Report Form
PDF template
Comprehensive form for documenting details of a vehicle accident involving a mini-bus, including vehicle information, witness details, and incident description.
See template
See template
Special Category Grant Application (Form DHR002)
PDF template
A comprehensive grant application form for organizations seeking special category grants, detailing project contact, authorized official, and grant experience information.
See template
See template
REQUEST FOR PROPOSALS Workforce Innovation And Opportunity Act (WIOA) Title I Workforce Developmen
PDF template
A request for proposals for workforce development services under the Workforce Innovation and Opportunity Act (WIOA) for Adult, Dislocated Worker, and Youth Programs.
See template
See template
ElevatorEscalator Accident Report Form
PDF template
Mandatory reporting form for elevator and escalator accidents in the Reedy Creek Improvement District, required by Florida law.
See template
See template
VVA Election Report Form
PDF template
Form for reporting election results for Vietnam Veterans of America chapter and state council elections.
See template
See template
Form AHC F 1 MORTGAGE RECORDING GUIDELINES
PDF template
Guidelines for recording a mortgage for AHC grant enforcement, including required documentation and recording procedures.
See template
See template
Budget Form No. 3 (Rev. 2019)
PDF template
Official budget hearing notice for Pulaski County, Indiana, detailing public hearing and budget adoption for the year 2025.
See template
See template
RESEARCH GRANT APPLICATION TO THE NESTLE FOUNDATION
PDF template
A comprehensive form for researchers to apply for research funding from the Nestle Foundation, covering project details, methodology, sustainability, and budget.
See template
See template
GUIDELINES FOR GRANT APPLICATIONS TO THE NESTLE FOUNDATION
PDF template
Guidelines for submitting research grant proposals focused on human nutrition in low- and lower middle-income countries.
See template
See template
FORM LB 1 NOTICE OF BUDGET HEARING
PDF template
Financial summary document detailing budget resources, requirements, and tax levies for a local government entity
See template
See template
Tooley Water District Resource Description Form
PDF template
Financial document detailing water district resources, revenues, and budget information for multiple fiscal years.
See template
See template
Form M 1 Report For Multiple Employer Welfare Arrangements (MEWAs) And Certain Entities Claiming Exc
PDF template
A U.S. Department of Labor form for reporting multiple employer welfare arrangements and entities claiming exception under ERISA regulations.
See template
See template
Incident Report Form
PDF template
A form documenting incidents of abuse, neglect, or injury for victims under or over 60 years old, to be reported to licensing agencies and adult protective services.
See template
See template
OPERATING TRANSFER REQUEST FORM
PDF template
A government financial document used to request and document budget transfers between departments and organizational units.
See template
See template
Richter Budget Form
PDF template
A budget request form for students applying to the Paul K. Richter and Evalyn Elizabeth Cook Richter Memorial Fund for project expenses.
See template
See template
Project Setup Budget Form
PDF template
A detailed form for setting up project budgets, including key personnel, expense pools, and indirect cost calculations for research grants.
See template
See template
Keenan Insurance Scholarship Application
PDF template
A scholarship application for students pursuing insurance, risk management, financial services, or benefits-related education
See template
See template
FAQs PHS 398 And PHS 2590 Forms And Instructions
PDF template
Comprehensive guide providing instructions and frequently asked questions about PHS 398 and PHS 2590 research application forms.
See template
See template
WATAUGA COUNTY ROAD SIGN MAINTENANCE REQUEST FORM
PDF template
A form for reporting issues with road signs in Watauga County, such as damage, missing signs, or vegetation obstruction.
See template
See template
Fillable Forms Index
PDF template
Comprehensive index of forms used in construction project management, covering project startup, civil rights, environmental compliance, and administrative documentation.
See template
See template
Baltimore County Fire Department Forms Index
PDF template
Comprehensive index of forms used by the Baltimore County Fire Department covering various administrative, operational, and personnel management functions.
See template
See template
Travel Form
PDF template
Official form for city council members to report details of trips or excursions accepted on behalf of the city from external sponsors.
See template
See template
RESIDENCY APPLICATION FORM UDA 2023
PDF template
Application form for artistic residency program with comprehensive project submission requirements.
See template
See template
AiR Goyki 3 Formularz Zgoszeniowy
PDF template
Application form for artists seeking residency at Goyki 3 art space in Sopot, Poland, requiring project proposal, portfolio, and CV.
See template
See template
AiR Goyki 3 Residency Application Form
PDF template
Application form for artists seeking a residency program at Goyki 3, requiring project proposal, portfolio, and CV submission.
See template
See template
RSCO Event Approval Guidelines
PDF template
Comprehensive guidelines for student clubs and organizations to plan and approve campus events with detailed procedural requirements.
See template
See template
Foster Provider Liability Insurance Incident Report Form
PDF template
A comprehensive form for reporting incidents involving foster care providers, documenting details of potential insurance claims and liability events.
See template
See template
Membership Form
PDF template
Form for joining or renewing membership in a wildlife conservation non-profit organization with various membership levels.
See template
See template
Grant Application Form
PDF template
A comprehensive form for organizations seeking grant funding from the Plymouth Rotary Club Foundation, detailing project specifics and organizational information.
See template
See template
City Of Miami Beach Found Damaged Report
PDF template
Internal form for documenting damage to city-owned vehicles by employees, used for tracking and risk management purposes.
See template
See template
PHS 398 Detailed Budget For Initial Budget Period
PDF template
A detailed budget form for requesting funding for a research project, covering personnel costs, expenses, and direct costs.
See template
See template
Facilities Project Initiation Form
PDF template
Guidelines for requesting and approving facility projects at the University of Georgia, including project routing, approvals, and review matrix.
See template
See template
Fraud Incident Report Form
PDF template
A form for reporting suspected fraud, waste, abuse, or irregular activities involving university resources at SUNY Oneonta.
See template
See template
Local Government Projects Frequently Used Forms And Documents
PDF template
Comprehensive collection of standard forms and documents for local government project management and development processes.
See template
See template
Volunteer Citizen Support Organization Manual
PDF template
A comprehensive manual for establishing and managing a Citizen Support Organization (CSO) for Virginia State Parks, covering nonprofit formation, volunteer guidelines, and organizational management.
See template
See template
Incident Report Form
PDF template
A comprehensive form used to report serious incidents, breaches, injuries, or emergencies within an organization or chapter.
See template
See template
Project Budget Form
PDF template
Financial form for requesting and documenting project budgets and funding sources at University of Calgary.
See template
See template
Department Request Form
PDF template
A form used to request the creation or modification of a new department within an organization, detailing departmental and administrative requirements.
See template
See template
Fraternity Sorority Life SAFAC Funding Procedures, FY20092010
PDF template
Guidelines for the Student Activity Fee Allocation Committee (SAFAC) at Drexel University for funding student organizations.
See template
See template
Virginia Tech Employee Software Sales Order Form
PDF template
A form for Virginia Tech employees to purchase software licenses and technology accessories at discounted rates.
See template
See template
Pension Application Form
PDF template
An application form for becoming a member of the Future Super Pension Plan, collecting personal and tax information from prospective pension fund members.
See template
See template
Volunteer Questionnaire Form
PDF template
Comprehensive form for collecting personal and volunteer interest information from potential volunteers.
See template
See template
PURCHASING FINANCE MANUAL
PDF template
A comprehensive guide explaining the roles and procedures of the Purchasing and Finance Departments at Gonzaga University.
See template
See template
PENSION BENEFIT APPLICATION FORM
PDF template
A comprehensive pension benefit application form for members to provide personal, marital, and employment information to determine benefit entitlement.
See template
See template
Fund Contribution Form
PDF template
Donation form for making financial contributions to Charities Aid Foundation of America, including donor details and gift information.
See template
See template
FUNDRAISING ACTIVITY CHECK OFF LIST
PDF template
Comprehensive checklist and procedural guidelines for conducting fundraising activities in a school environment, detailing approval and documentation requirements.
See template
See template
Fundraising Guideline Update
PDF template
Guidelines for fundraising policies and procedures for Girl Guides of Canada's Newfoundland and Labrador Council, detailing fundraising expectations and requirements.
See template
See template
Student Club Fund Request Form
PDF template
A form for student clubs to request funding for academic term activities and events up to $250.
See template
See template
Funds Transfer Request Form
PDF template
A form for requesting non-payroll payments to be transferred to a bank account at the United Nations.
See template
See template
FUND TRANSFER REQUEST FORM
PDF template
A form for requesting financial transfers between funds within an organization, requiring appropriate signatures and approvals.
See template
See template
FURNITURE SERVICE REQUEST FORM
PDF template
A comprehensive form for requesting furniture services, including new furniture, accessories, or refurbishing existing furniture for various spaces.
See template
See template
Form W 3
PDF template
Official IRS form for transmitting wage and tax information for employees to the Social Security Administration
See template
See template
Form W 8IMY
PDF template
IRS form for foreign intermediaries and entities to certify tax withholding and reporting status for United States tax purposes.
See template
See template
Budget Committee Minutes
PDF template
Minutes documenting budget discussions, project reviews, and ARPA/CRRSA fund allocation for educational institution.
See template
See template
FY13 Annual Report Form
PDF template
Annual report documenting University Information Services (UIS) activities, accomplishments, and strategic alignment for fiscal year 2013.
See template
See template
FY2017 Hubert H. Humphrey Fellowship Program Project Objectives, Goals, And Implementation (POGI)
PDF template
Funding opportunity guidelines for administering the Hubert H. Humphrey Fellowship Program for fiscal year 2017, detailing program objectives and implementation requirements.
See template
See template
ExceleRate IL Cohort Budget Form
PDF template
Budget form for participants in the Quality Improvement Funds ExceleRate Illinois Cohort program, used for documenting continuous quality improvement planning and procurement needs.
See template
See template
FY2018 Capital Budget Request For Funding
PDF template
Memorandum from the School District of Philadelphia's Office of Capital Programs soliciting capital project funding requests for fiscal year 2018.
See template
See template
2020 Fiscal Year End Closeout Procedures
PDF template
Document detailing fiscal year-end procedures for state funds, requisitions, and procurement for university departments.
See template
See template
General Fund Budget Form A Instructions
PDF template
Detailed instructions for completing the General Fund Budget Form A for Louisiana school districts, covering budget reporting for fiscal year 2021-2022.
See template
See template
2021 Fiscal Year End Closeout Procedures
PDF template
Detailed instructions for university departments regarding fiscal year-end financial procedures, state fund collapse, and procurement requirements.
See template
See template
Choose Life Grant Program FY 2022 2023 Grant Application Kit
PDF template
Grant application instructions for the Office of the Attorney General's Choose Life Grant Program for fiscal year 2022-2023.
See template
See template
West Florida Historic Preservation Site Preservation And Operations
PDF template
State funding request for West Florida Historic Preservation to support maintenance and operations of 30 state-owned historic properties in northwest Florida.
See template
See template
FORM LB 1 Statement Of Indebtedness
PDF template
Budget document detailing financial resources, debt obligations, and levy information for a local government entity.
See template
See template
FY 2024 Budget And FY 2023 Budget Adjustment Instructions Supplement
PDF template
Comprehensive budget instructions for fiscal year 2024 from the Department of Finance & Management, providing guidance for budget preparation and submission.
See template
See template
Fiscal Year (FY) 2024 State Local Cybersecurity Grant Program (SLCGP) Application Workshop
PDF template
Workshop presentation for California state and local governments to apply for cybersecurity grant funding through a competitive process.
See template
See template
FY 2025 Budget And FY 2024 Budget Adjustment Instructions Supplement
PDF template
Official guidance for state departments on preparing budget requests and submissions for fiscal years 2024 and 2025
See template
See template
FORM LB 1
PDF template
A detailed financial document presenting budget allocations and expenditures for multiple fiscal years.
See template
See template
School DistrictJoint Agreement Budget Form
PDF template
Annual budget document for Mundelein Elementary School District #75 covering fiscal year 2021-2022
See template
See template
Grant Application Form
PDF template
A comprehensive form for applying to multiple environmental grants focused on watershed and water resource management in Delaware.
See template
See template
FY23 Lead Higher Program Grants
PDF template
Grant application for education funding by the Maryland State Department of Education for fiscal year 2023
See template
See template
FY23 Special Initiative Grant Program Guidelines
PDF template
Grant program supporting new projects or unanticipated needs for current Council grantees in arts organizations.
See template
See template
FY24 DDRB New Service Request Form
PDF template
A form for requesting new services for individuals with developmental disabilities in St. Charles County for fiscal year 2024.
See template
See template
2024 WPI WIN Grant Application Form
PDF template
A comprehensive grant application form for WPI researchers and students seeking funding between $1,000 and $50,000 for various project types.
See template
See template
Archaeology Grant Application Form
PDF template
A comprehensive form for archaeological project funding, requiring detailed landowner, property, and project information with a 50% matching fund requirement.
See template
See template
Fiscal Year 2025 Funding Guidelines Creative Communities San Diego
PDF template
Guidelines for arts and culture funding from the City of San Diego, providing operational support and competitive grants for community projects.
See template
See template
FY25 Grant Management Handbook
PDF template
Comprehensive handbook for grant recipients detailing requirements, deadlines, and key steps in the grant management process.
See template
See template
FY2025 Missouri Arts Council Invoice For Reimbursement
PDF template
Invoice form for arts organizations to request reimbursement for funded projects from the Missouri Arts Council for fiscal year 2025.
See template
See template
FY 2025 Oneida Finance Fund Product Requests
PDF template
Form for Oneida Tribal members and community groups to request beverages for tribal events during fiscal year 2025.
See template
See template
FY25 Small Grants Program Instructions And Grant Application Form
PDF template
Comprehensive instructions for submitting a research grant proposal to the McDonnell Center for Systems Neuroscience with specific formatting and content requirements.
See template
See template
FY25 Small Grants Program Instructions And Grant Application Form
PDF template
Comprehensive instructions for submitting small research grants with detailed application requirements and formatting guidelines.
See template
See template
FY2026 Harbor Facility Grant Application
PDF template
Grant application for harbor facility improvements and funding from the Alaska Department of Transportation & Public Facilities for fiscal year 2026.
See template
See template
Special Category Grant Application (Form DHR002)
PDF template
A grant application form for organizations seeking special category funding, capturing organizational details and grant history.
See template
See template
FYS 75 Community Building Accounts Payable Guidelines
PDF template
Guidelines for First Year Seminar instructors on spending $75 for community building activities, including reimbursement procedures and food ordering requirements.
See template
See template
Guideline No. G 030
PDF template
A comprehensive guideline for contract approval, execution, and management within the Tennessee Board of Regents system.
See template
See template
Guidelines For The Completion Of The General Agency Agreement And Standard Trading Conditions
PDF template
Guidelines for completing a general agency agreement and standard trading conditions for customs brokers.
See template
See template
Graduate Assistantship Application Form
PDF template
Application form for graduate assistantship positions at the University of Missouri-Kansas City's Bloch School of Management with competitive application process.
See template
See template
Graduate Research Assistantship Application Form
PDF template
Application form for research assistantship positions at the University of Missouri-Kansas City's Bloch School of Management for graduate students.
See template
See template
Accident And Claim Reporting Procedure
PDF template
Procedure for reporting accidents and filing insurance claims during dance activities for the Folk Dance Federation of California, South, Inc.
See template
See template
2024 GovernorS Conference On Aging Mini Grant Application For Senior Projects
PDF template
A grant application for funding innovative senior-focused projects in small Montana communities with populations under 10,000.
See template
See template
Funding Guidelines Procedures
PDF template
Guidelines for funding sustainability projects at the University of Colorado Colorado Springs through the Green Action Fund.
See template
See template
Contribution Form
PDF template
A document outlining ways to contribute to the Galena Foundation through membership, donations, and planned giving.
See template
See template
PATIENT MEDICAL HISTORY FORM
PDF template
Comprehensive medical history form for patients at Gateway ENT to collect personal health information, medical history, and family health background.
See template
See template
GBRPP Land Protection Transaction Grant Program Invoice Form
PDF template
An invoice form for submitting appraisal costs and matching funds for a land protection grant program.
See template
See template
PHS 398 (DHHS Public Health Service Grant Application)
PDF template
Notice about updated National Institutes of Health grant application forms and instructions for submission
See template
See template
Gasconade County 4 H County Wide Project Form
PDF template
A form for 4-H club leaders to propose and register a county-wide project for Gasconade County youth members.
See template
See template
Rental Agreement
PDF template
A rental agreement for the Greenwood Community Center, a tax-exempt non-profit organization in Elk, California offering community space for events and activities.
See template
See template
2024 Grant Application Form
PDF template
A comprehensive grant application form for nonprofit organizations seeking funding from the Grangeville Community Foundation.
See template
See template
Procurement Requisition Form Direct Purchase (Form D)
PDF template
A government procurement form for direct purchase of items through the GeM portal by the National Informatics Centre Services Incorporated.
See template
See template
General Budget Form
PDF template
Budget form for Alabama municipalities seeking American Rescue Plan funding, documenting annual total operating budget as of January 27, 2020.
See template
See template
GENERAL GRANT GUIDELINES APPLICATION
PDF template
Guidelines for faculty and staff grant applications to the Palomar College Foundation, outlining eligibility, criteria, and funding process.
See template
See template
GENERAL GRANT GUIDELINES APPLICATION
PDF template
Guidelines for faculty and staff grant applications to the Palomar College Foundation, outlining eligibility, criteria, and funding process.
See template
See template
General Liability Incident Report
PDF template
A state-level form for reporting general liability incidents not involving automobiles, used by Minnesota state agencies.
See template
See template
Lifespan Volunteer Application
PDF template
A comprehensive form for individuals interested in volunteering with Lifespan, collecting personal, demographic, and background information.
See template
See template
Purchase Order Request Form
PDF template
A standard form for submitting purchase order requests within the Giddings Independent School District.
See template
See template
GENERAL RESEARCH GRANT APPLICATION FORM
PDF template
Application for general research grants from Terumo Aortic, covering non-product-specific research support.
See template
See template
University Restricted Fund (URF) Budget Setup And Adjustment Form
PDF template
A form for allocating and adjusting budget for funds deposited at the university cashier's window, requiring detailed financial information and approvals.
See template
See template
Initial GEPA Evaluation Form
PDF template
A form used to evaluate potential environmental impacts of a proposed project and document initial environmental assessment findings.
See template
See template
Grant Application Form
PDF template
Comprehensive form for non-profit organizations seeking funding from the Gupta Family Foundation, covering organizational details, financial information, and funding request.
See template
See template
GG0108 Request For Construction Or Remodeling Project
PDF template
A form used to request and document proposed construction or remodeling projects within an educational district or campus.
See template
See template
ACCIDENT INFORMATION FORM
PDF template
A comprehensive form for documenting details of a motor vehicle accident, including personal and insurance information.
See template
See template
MEMBERSHIP FORM
PDF template
A membership form for arts grantmaking organizations to join or renew annual membership with Grantmakers in the Arts.
See template
See template
Gift Acceptance Report (GAR) Form
PDF template
A form for documenting and processing gifts received by a university's Advancement Services department, including donor and gift details.
See template
See template
Gift In Kind Acceptance Form
PDF template
A form for documenting and processing non-monetary donations to the university foundation, with specific instructions for submission and documentation.
See template
See template
Gift Membership Form
PDF template
A form for purchasing membership levels and gifting museum memberships with various benefit tiers
See template
See template
Je SRP1(EPSRC)
PDF template
Research proposal form for the Engineering & Physical Sciences Research Council (EPSRC) with details of a proposed research project.
See template
See template
Project Proposal Form
PDF template
A comprehensive form for organizations seeking support from BACKUP, detailing partner information and proposed project details.
See template
See template
Small Commercial Not For Profit Energy Efficiency Financing
PDF template
A financing application for small businesses and not-for-profits in New York State to obtain energy efficiency improvements funding.
See template
See template
GLADEL PRESENTATION OF RESEARCH PROJECTS (FINAL) STANDARD OPERATING PROCEDURES (SOP)
PDF template
Standardized procedures for submitting and managing research projects within the GLADEL network, including project approval, reporting, and publication requirements.
See template
See template
Transfer Of Costs Approval Form
PDF template
A form used to document and approve the transfer of costs between different awards, projects, tasks, and organizational units.
See template
See template
RECORDABLE INCIDENT REPORT
PDF template
A comprehensive form for documenting workplace safety incidents, detailing the nature, location, and circumstances of an occupational injury or accident.
See template
See template
Global Grant Application Form
PDF template
Application form for Rotary District 5180 clubs seeking to submit or participate in global grant projects through The Rotary Foundation.
See template
See template
Global Grants Community Assessment Results
PDF template
A form for documenting community strengths, weaknesses, needs, and assets when applying for a global grant project.
See template
See template
German Marshall Fund Travel Grant Application Form
PDF template
Application form for students seeking travel funding through the German Marshall Fund for international travel.
See template
See template
Form GNOCHC 1 Excel Encounter Data Instructions
PDF template
Instructions for GNOCHC participating providers to report enrollee encounter data using Form GNOCHC-1 or Form CMS-1500.
See template
See template
Golf Fore The Cause Donation Form
PDF template
Donation form for a fundraising event benefiting VNA's Parenting Support Services, collecting donor and donation details.
See template
See template
Purchase Order Request Form
PDF template
A form used to request procurement of goods or services with details about vendor, items, and shipping instructions.
See template
See template
Individual Volunteer Application Form
PDF template
A comprehensive form for individuals seeking to volunteer, collecting personal information, availability, skills, and references.
See template
See template
GOSTUDENTS PARTICIPANT TRAVEL FORM
PDF template
A comprehensive travel form for GoStudents participants requiring medical, model, and minor release information for project eligibility.
See template
See template
Travel Policy And Procedures For Members Staff Travelling On Behalf Of The Association
PDF template
Comprehensive policy outlining travel expense reimbursement guidelines and requirements for GRAR members and staff.
See template
See template
SupervisorS Checklist For Conducting A Performance Appraisal
PDF template
A comprehensive guide for supervisors on how to effectively conduct employee performance evaluations and avoid common rating mistakes.
See template
See template
SOR GPRA Frequently Asked Questions
PDF template
Guidance for providers on GPRA data collection requirements for clients receiving SOR-funded treatment.
See template
See template
Graduate Equity Fellowship Application Form, 2023 2024
PDF template
Application form for graduate students seeking an equity fellowship at Sonoma State University for the 2023-2024 academic year.
See template
See template
Graduate Student Grant Application
PDF template
A form for graduate students in the Political Science department to request funding for academic activities or projects.
See template
See template
Graduate Individual Study Project Form
PDF template
Form for graduate students to document and obtain approval for individual study or project coursework with a supervising faculty member.
See template
See template
Directions For Requesting Graduate Student Professional Travel Funds
PDF template
Guidelines for University of Wisconsin-La Crosse graduate students to request funding for conference presentations and attendance.
See template
See template
Graham Foundation INQUIRY FORM WORKSHEET
PDF template
A preparatory worksheet for applicants seeking grants from the Graham Foundation for various project types in 2017.
See template
See template
Grant Application Form (EXAMPLE)
PDF template
A comprehensive form for organizations seeking grant funding for amateur radio projects with detailed project and organizational information.
See template
See template
Grant Agreement Form
PDF template
A formal agreement outlining terms and conditions for receiving a grant from the Bartlesville Public Schools Foundation.
See template
See template
Evening Garden Club 2023 Grant Application Form
PDF template
A grant application form for Benton County nonprofit organizations seeking funding for garden-related projects from the Evening Garden Club.
See template
See template
GRANT APPLICATION FOR OUTDOOR MINISTRY GRANTS
PDF template
Grant application form for individuals and congregations seeking funding for outdoor ministry projects within the Penn Central Conference
See template
See template
Grant Application Approval Form (GAAF)
PDF template
Internal form for documenting and approving institutional grant applications, including funding sources, personnel, and equipment details.
See template
See template
Sandia National Laboratories Community Grant Application
PDF template
A grant application form for organizations seeking funding to support K-12 climate change education initiatives in the Livermore community.
See template
See template
Sandia National Laboratories Community Grant Application
PDF template
Grant application form for organizations seeking funding from Sandia National Laboratories for community projects focused on Family Stability and Educational Success.
See template
See template
FER CA 002 Grant Requests Submission Page
PDF template
Guidelines for submitting grant requests to Ferring Canada, outlining the application process, review criteria, and definitions of grants.
See template
See template
HS Lopez Family Foundation Grant Application Form
PDF template
A comprehensive grant application form for nonprofit organizations seeking funding from the HS Lopez Family Foundation.
See template
See template
Morden Area Foundation Grant Application Form
PDF template
A comprehensive grant application form for organizations seeking funding from the Morden Area Foundation to support local community projects.
See template
See template
Grant Application Form
PDF template
A grant application form for charities seeking funding from Theirworld to support children and young people's development and education.
See template
See template
Grant Application Form
PDF template
A comprehensive grant application form for funding research and projects at the Mater Hospital Foundation in Dublin, Ireland.
See template
See template
Grant Application Form
PDF template
Comprehensive form for submitting research grant proposals to the International Essential Tremor Foundation (IETF)
See template
See template
Community Grant Guidelines
PDF template
Guidelines and procedures for community grant awards by the Rotary Club of Clovis, detailing application process, selection criteria, and recipient commitments.
See template
See template
Grant Application Form B
PDF template
A comprehensive form for submitting grant applications with timelines less than three months, detailing goals, impact, and institutional alignment.
See template
See template
Chilliwack Foundation Grant Application Form
PDF template
A comprehensive form for non-profit organizations to apply for capital project grants from the Chilliwack Foundation in British Columbia, Canada.
See template
See template
Grant Application
PDF template
Application form for organizations seeking grant funding from the Family & Friends Community Foundation
See template
See template
Grant Application
PDF template
A comprehensive grant application form for organizations seeking funding from the New Brunswick Law Foundation for legal-related projects.
See template
See template
Stanley H. Mathis Foundation Grant Application
PDF template
A grant application form for educational courses in real estate, submitted to the Stanley H. Mathis Foundation for review and potential funding.
See template
See template
Gaylord And Dorothy Donnelley Foundation Grant Application Form
PDF template
A comprehensive grant application form for nonprofit organizations seeking funding from the Gaylord and Dorothy Donnelley Foundation.
See template
See template
Grant Application Form
PDF template
A comprehensive grant application form for non-profit organizations seeking funding from the Kathleen Cailloux Foundation.
See template
See template
Grant Application Form
PDF template
A comprehensive grant application form for nonprofit organizations seeking funding from the Cattaraugus Region Community Foundation.
See template
See template
Grant Application Form
PDF template
Application form for organizations seeking grant funding from the Ray Charles Foundation
See template
See template
Grant Application Form
PDF template
A comprehensive form for nonprofits to request grant funding from the Defiance Area Foundation with specific submission requirements and guidelines.
See template
See template
CARTA Interdisciplinary Seed Grant Opportunity Application Form
PDF template
Application form for research seed grant funding within the College of Communication, Architecture + The Arts at Florida International University.
See template
See template
Approved(Grant(Application(Form (Seminary)
PDF template
A grant application form for members of Bethlehem Lutheran Church seeking financial support for Lutheran seminary education.
See template
See template
Arizona Department Of Environmental Quality Recycling Program Grant Application Form
PDF template
A comprehensive grant application form for organizations seeking funding from the Arizona Department of Environmental Quality for recycling-related projects.
See template
See template
Jones Family Foundation Grant Application
PDF template
A comprehensive grant application form for non-profit organizations seeking funding from the Jones Family Foundation.
See template
See template
GRANT APPLICATION FORM
PDF template
A comprehensive grant application form for youth up to age 22 in Saratoga County seeking up to $500 for community projects.
See template
See template
Archaeology Grant Application Form
PDF template
A comprehensive grant application for archaeological research and preservation projects within Utah, requiring 50% matching funds.
See template
See template
BUDGET FORM
PDF template
A comprehensive budget form for detailing personnel, equipment, and direct costs for a grant or funding application.
See template
See template
College Of Arts And Sciences Grant Proposal Cover Sheet
PDF template
A comprehensive cover sheet for submitting research grant proposals with details about funding, teaching replacements, and cost-sharing.
See template
See template
Grant Inquiry Form
PDF template
A form for faculty and staff to submit project ideas for potential grant funding and exploration by the Resource Development Office.
See template
See template
GRCC Grant Project Information Form
PDF template
A comprehensive form for submitting grant project proposals, capturing project details, budget, and strategic priorities.
See template
See template
Grant Proposal Form
PDF template
A comprehensive form for submitting grant proposals within an educational institution, covering project details, budgeting, and approval processes.
See template
See template
PEARL RIVER COMMUNITY COLLEGE GRANT PROPOSAL FORM
PDF template
A comprehensive form for submitting and obtaining institutional approvals for grant proposals at Pearl River Community College.
See template
See template
Grant Proposal Form
PDF template
A comprehensive form for submitting grant proposals, detailing project information, budget, and organizational requirements.
See template
See template
Grant Proposal Form
PDF template
A comprehensive form for non-profit organizations seeking funding from the McHenry Area Rotary Charitable Foundation Inc.
See template
See template
Parks, Recreation And Culture Board Grant Application Form
PDF template
A grant application form for community groups seeking funding from the Town of Vermilion Parks, Recreation and Culture Board for local projects and initiatives.
See template
See template
Discovery Grant Application Form
PDF template
A 3-month grant application for researchers seeking access to a cooperative computational resource cluster at Dartmouth.
See template
See template
FINAL INVOICE FORM
PDF template
A grant reporting form for documenting service metrics, geographic engagement, and participant demographics for cultural grant recipients.
See template
See template
Grant Submission Form
PDF template
Form for submitting grant proposals to the Grants Management Office (GMO) with comprehensive proposal details and submission instructions.
See template
See template
IAU Grant Application Form For Scientific Meetings
PDF template
A grant application form for scientific meetings hosted by the International Astronomical Union outside of their General Assemblies.
See template
See template
Complaint Initial Report Form
PDF template
A form for documenting and reporting workplace complaints, discrimination issues, or grievances in an employment or program context.
See template
See template
Group Tax Exemption Form
PDF template
Form for American Inn of Court chapters to elect inclusion or exclusion from group 501(c)(3) tax-exempt status.
See template
See template
Vehicle Use Post Trip Inspection Report Form
PDF template
A form for documenting vehicle condition and usage after a trip by an employee, including inspection checklist and details.
See template
See template
Non Employee AccidentIncident Report Form
PDF template
A standard form for documenting accidents or incidents involving non-employees at district properties or district-sponsored activities.
See template
See template
2024 2025 GSA Grant Handbook
PDF template
Comprehensive guide for graduate students applying for academic and professional development grants at the University of Northern Colorado.
See template
See template
GSA Application For Funding
PDF template
Detailed instructions and requirements for graduate students seeking reimbursement from the Graduate Student Assembly for conference or research expenses.
See template
See template
GSASGSA Budget Proposal Form For Student Grant Applications
PDF template
A form for students to submit detailed budget proposals for grants from GSAS or GSA, including itemized cost requests.
See template
See template
Approval Form (1B)
PDF template
Official form for documenting approval and compliance for science fair research projects involving regulated research or potentially sensitive experimentation.
See template
See template
GSO Academic Enrichment Award Checklist
PDF template
Comprehensive checklist for documenting academic travel expenses and reimbursement requirements for GSO funding.
See template
See template
CALeVIP 2.0 Golden State Priority Project Terms And Conditions
PDF template
Terms and conditions for submitting incentive applications for electric vehicle charging infrastructure installations in California.
See template
See template
The Guam Quality Rating Improvement System (QRIS) Guidelines
PDF template
A systematic approach to evaluate and improve the quality of early childhood care programs through a voluntary rating system.
See template
See template
REQUEST FOR PROPOSALS Oracle Customer Cloud Service (CCS, OUAV, OUTA), Oracle Cloud Infrastructure (
PDF template
Request for competitive proposals for Oracle cloud system managed services and support for Greenville Utilities Commission.
See template
See template
Big Sky Bible Camp Rental Packet
PDF template
Comprehensive rental packet for groups interested in using Big Sky Bible Camp facilities, including rental agreement, policies, and facility guidelines.
See template
See template
Guidance For Completing And Routing Annual Faculty Performance Evaluations
PDF template
Comprehensive guide for faculty performance evaluations, outlining new form changes and submission process for academic year 2022-2023.
See template
See template
Guidance Document Interpreting 6VAC35 170 Review And Approval Of Data Requests And Research Proposal
PDF template
Provides process for reviewing and approving external data requests and research proposals within Virginia's juvenile justice system while protecting individual privacy and safety.
See template
See template
Campus Guidance For Purchasing And Payments
PDF template
Comprehensive guide for campus purchasing procedures and available payment forms with detailed instructions for different types of transactions.
See template
See template
Campus Guidance For Purchasing And Payments
PDF template
Comprehensive guide for campus payment methods and procurement procedures for various goods and services.
See template
See template
Guide For Submitting A Grant Application
PDF template
Instructions for nonprofit organizations seeking grant funding from the Harden Foundation, including eligibility requirements and application submission guidelines.
See template
See template
Budget Form Completion Guidelines
PDF template
Guidelines for academic program directors to prepare budget forms for faculty-led study programs, detailing expense categories and budget preparation requirements.
See template
See template
Guidelines And Protocols For Virtual Audit Site Visits
PDF template
Comprehensive guidelines for conducting virtual site-visits, including protocols for meeting duration, participant selection, and technical considerations.
See template
See template
Financial Reimbursement Assistance Guidelines
PDF template
Guidelines for Disadvantaged Business Enterprises to receive financial assistance for transportation-related activities through the BOWD Center.
See template
See template
Recommended Guidelines And Strategies For Bike Share System Contracting
PDF template
A draft document providing guidelines and strategies for contracting bike share systems, focusing on technical components and contractual considerations.
See template
See template
Guidelines For Architectural, Consultant, Construction, And Project Manager AgreementsContracts Unde
PDF template
Guidelines for managing facility service contracts and agreements under $50,000 for parishes in the Diocese of Honolulu
See template
See template
Illinois Indiana Sea Grant College Program Guidelines For Completing The Budget Form (90 4) And Narr
PDF template
Guidelines for preparing budget forms and narratives for Sea Grant College Program grant proposals with matching fund requirements.
See template
See template
GSU COB Intellectual Contribution Form
PDF template
A form providing guidelines for documenting research plans, publications, and professional development activities for Georgia State University College of Business faculty members.
See template
See template
Abbot Academy Fund Fall 2021 Acceptance Of Guidelines For Grantees
PDF template
Guidelines and instructions for recipients of Abbot Academy Fund grants, detailing fund usage, reporting, and payment procedures.
See template
See template
Guidelines For Recruitment
PDF template
Comprehensive guidelines for recruiting faculty, including conference attendance, candidate interviews, and travel reimbursement procedures.
See template
See template
Guidelines For The Individuals Crossing The Customs Border Of The Eurasian Economic Union
PDF template
Official document detailing customs regulations and procedures for individuals crossing borders within the Eurasian Economic Union during the BRICS Sports Games.
See template
See template
Documentation Guidelines For Non Tenure Track Promotions
PDF template
Comprehensive guidelines for faculty promotion process at the Associate Professor and Professor ranks for part-time, non-tenure track positions.
See template
See template
Documentation Guidelines For Non Tenure Track Promotions
PDF template
Guidelines for academic promotion process for non-tenure track faculty positions at medical school, including required documentation and review process.
See template
See template
Guide To Completing The LDH Budget Form For The Quality Innovation Projects
PDF template
A comprehensive guide for contractors on how to complete budget forms for Quality Innovation Projects, detailing expense categories and reporting requirements.
See template
See template
SU Event Team Budget Form Guidance
PDF template
A comprehensive guide for student organizations on completing a budget form for events with detailed instructions on income and expenditure tracking.
See template
See template
ACCIDENT REPORT FORM
PDF template
A comprehensive form for documenting accidents involving individuals at Gethsemane United Methodist Church
See template
See template
Glen Urquhart School Title IX Incident Report Form
PDF template
A form for reporting Title IX incidents and violations at Glen Urquhart School, capturing details about the incident, involved parties, and supporting documentation.
See template
See template
Minnesota Common Grant Application Form
PDF template
A standardized grant application form designed to simplify the grantseeking process for nonprofits in Minnesota.
See template
See template
Get With The Guidelines Quality Improvement Research Opportunity
PDF template
Request for research proposals focused on intracerebral hemorrhage (ICH) stroke using Get With The Guidelines data collection.
See template
See template
VOLUNTEER PROGRAM GUIDELINES
PDF template
Comprehensive guidelines for managing volunteers, including recruitment, training, policies, and risk management procedures.
See template
See template
Influenza Sentinel Provider Report Form
PDF template
Comprehensive medical reporting form for tracking influenza cases, patient information, clinical data, and laboratory test results.
See template
See template
Homeowner Assistance Fund Plan
PDF template
A submission portal for eligible entities to apply for homeowner assistance funding from the U.S. Treasury Department's Homeowner Assistance Fund program.
See template
See template
Academic Grant Application Form
PDF template
A comprehensive form for educators seeking funding for academic projects and initiatives within a school district.
See template
See template
ACTIVITIES GRANT APPLICATION FORM
PDF template
A comprehensive grant application form for seeking funding assistance for extracurricular activities in District 742.
See template
See template
Sexual Other Prohibited Harassment Complaint Form
PDF template
A formal document for reporting sexual and prohibited harassment incidents at Oral Roberts University, designed to enable prompt investigation and community protection.
See template
See template
BullyingHarassment Incident Report Form
PDF template
Official form for reporting incidents of bullying, harassment, or threatening behavior in Oklahoma public schools
See template
See template
Harden Foundation Grant Application
PDF template
A comprehensive guide for nonprofits seeking grants from the Harden Foundation, providing application strategies and instructions.
See template
See template
MC Hardware Request
PDF template
A form for requesting computer hardware for Montgomery College employees, with options for remote work and instructional needs.
See template
See template
The Harrington Public Affairs Fellowship Program For Undergraduates
PDF template
A fellowship program for Clark University undergraduates in Political Science to support research, service projects, and academic conference participation.
See template
See template
14th Annual Harvest Day Festival Parade Non Profit Vendor Application
PDF template
Detailed guidelines and application instructions for non-profit vendors participating in the annual Harvest Day Festival in New Oxford.
See template
See template
Chemical Description Physical And Health Hazards Inventory
PDF template
A form for documenting chemical inventory details, physical properties, hazards, and storage information for multiple chemicals.
See template
See template
Chemical Facility Identification And Reporting Form
PDF template
A comprehensive form for reporting facility and chemical information, including emergency contacts and hazardous material details.
See template
See template
HAZARD REPORT FORM
PDF template
A standardized form for documenting workplace safety hazards, observations, and recommended corrective actions.
See template
See template
Hazard Report Form
PDF template
A comprehensive form for identifying and assessing workplace safety hazards and potential risks to personnel, environment, and property.
See template
See template
HAZARD REPORT FORM
PDF template
A document for employees to report workplace safety hazards and for management to investigate and resolve potential risks.
See template
See template
Hazard Report Form
PDF template
A comprehensive form for identifying, assessing, and reporting workplace safety hazards with risk assessment matrix.
See template
See template
HAZARD REPORT FORM
PDF template
A comprehensive form for documenting workplace safety hazards, potential risks, and immediate actions taken to mitigate dangers.
See template
See template
Shepherd University Hazard Report
PDF template
A comprehensive form for reporting workplace safety hazards and documenting investigation and corrective actions at Shepherd University.
See template
See template
EPCRA Chemical Reporting Form
PDF template
A form for reporting chemical storage, hazardous materials, and facility chemical inventory details for regulatory compliance.
See template
See template
Homekey Wire Transfer Request Form
PDF template
A form for requesting wire transfer of acquisition funds to an approved escrow company for Homekey project funding.
See template
See template
Booking Request Form 201920 International Schools
PDF template
A form for schools to request a visit to Hampton Court Palace during UK term time with specific booking guidelines.
See template
See template
HOME STRETCH HOUSING ASSISTANCE FUND APPLICATION
PDF template
A confidential application for housing assistance funds for individuals experiencing or recently experiencing homelessness in Alameda County.
See template
See template
Budget Transfer Request Form
PDF template
A form for requesting budget transfers within grants, requiring approval and balance adjustments.
See template
See template
FLEX Transfer Request Form
PDF template
A form for transferring unobligated federal transportation funds between FTA and FHWA funding sources.
See template
See template
2022 Higher Education Project Proposal Form
PDF template
A comprehensive proposal form for higher education research project funding and space development in the 2023-25 biennium.
See template
See template
Role And Function Of The Joint Health Safety Environmental Committee Of The Mona Campus
PDF template
A comprehensive document outlining the establishment, role, and function of the Joint Health and Safety Environmental Committee at the University of the West Indies Mona Campus.
See template
See template
Dulwich Society IncidentAccident Report Form
PDF template
A detailed form for documenting accidents, incidents, and injuries within the Dulwich Society organization.
See template
See template
Health Incident Report Form
PDF template
A form for documenting health and safety incidents involving nursing students and faculty, to be completed within 24 hours of an occurrence.
See template
See template
Mexican Springs Chapter Heavy Equipment Rental Agreement Form
PDF template
A rental agreement form for grader and backhoe equipment from the Mexican Springs Chapter, including rental terms and liability provisions.
See template
See template
Higher Education Emergency Relief Fund (HEERF) I, II, III Annual Performance Report Form
PDF template
Annual reporting form for higher education institutions receiving COVID-19 emergency relief funds from the U.S. Department of Education.
See template
See template
Request For Proposal No. HPI20221027
PDF template
Request for proposal seeking services to develop management manual and professional development courses for Heifer Project International's global non-profit development work.
See template
See template
Wildlife Heritage Account Project Proposal Form
PDF template
A form for submitting wildlife conservation project proposals to the Board of Wildlife Commissioners for funding from the Wildlife Heritage Account.
See template
See template
Volunteer Application
PDF template
A comprehensive volunteer application form with service agreement for potential volunteers interested in various community service roles.
See template
See template
Testimony Of The Federal Trade Commission
PDF template
Testimony before the House Appropriations Subcommittee detailing the FTC's budget, mission, and ongoing consumer protection efforts.
See template
See template
Oversight Of The Internal Revenue Service
PDF template
Congressional hearing document discussing IRS funding, enforcement, and recent improvements in taxpayer services
See template
See template
Recipient Contact Form
PDF template
Form for collecting primary and alternate contact details for grant recipients, including organizational information and entity type classification.
See template
See template
HIGH 5 GRANT APPLICATION FORM
PDF template
A comprehensive grant application form for non-profit organizations seeking funding support.
See template
See template
Sisseton Wahpeton Oyate Higher Education Program Financial Budget Form
PDF template
A comprehensive financial budget form for students to document expenses, educational status, and financial eligibility for the Sisseton-Wahpeton Oyate Higher Education Program.
See template
See template
High Level Grant Application Form Change Summary FORMS G
PDF template
Summary of changes to NIH and AHRQ grant application forms for submissions due after January 25, 2022
See template
See template
HIGH SEAS TRANSSHIPMENT DECLARATION FORM
PDF template
Official form for reporting fish transshipments that occurred on the high seas, to be submitted within 15 days of vessel entering port.
See template
See template
Application Form For The HILCO Scholarship 2018 2019 Academic Year
PDF template
Scholarship application form for high school and home-schooled students offered by the Hugh & Ilene Lawson Charitable Organization
See template
See template
MIS 216 Introduction To Business Applications Development
PDF template
Instructional document providing step-by-step guidance for creating new projects and forms in Visual Studio for business application development.
See template
See template
HIRER COLLISION Or DAMAGE REPORT FORM
PDF template
Comprehensive form for documenting details of a vehicle rental accident, including vehicle, driver, witness, and incident information.
See template
See template
Hiring A Consultant
PDF template
A step-by-step guide for University of Missouri Extension staff on hiring and processing external consultants.
See template
See template
Hiring Guidelines
PDF template
Comprehensive guidelines for hiring procedures and recruitment process at Clarke University.
See template
See template
Wyandotte Historical Society Membership Application
PDF template
Membership registration form for joining the Wyandotte Historical Society with various membership levels and pricing options.
See template
See template
Accident Report Form
PDF template
A comprehensive form for documenting details of a motor vehicle accident for legal and insurance purposes.
See template
See template
Community Project Proposal Form
PDF template
A form for community agencies to propose partnership projects with Help Me Grow North Texas to support families and child development in the North Texas region.
See template
See template
Mini Grant Application
PDF template
Application form for graduate students in Hospitality, Hotel Management and Tourism to request funding for research and conference travel expenses.
See template
See template
HMIS Project Form
PDF template
A form for notifying the Kansas Balance of State Continuum of Care about new or renewal homeless dedicated projects and their HMIS participation.
See template
See template
Nevada Holder Reporting Manual
PDF template
Comprehensive manual for reporting unclaimed property to the Nevada State Treasurer's Office, detailing requirements and procedures for fiscal year 2024.
See template
See template
Risk Assessment Form
PDF template
A comprehensive form for identifying, evaluating, and mitigating workplace hazards and risks.
See template
See template
Home Schooling Protocols
PDF template
Official protocols and guidelines for home schooling in Belize, detailing requirements for parents/guardians who wish to educate their children at home.
See template
See template
SOCIETY OF ST. VINCENT De PAUL HOLY ROSARY CONFERENCE BUDGET FORM
PDF template
A detailed financial assessment form for individuals seeking financial assistance, collecting income, expenses, and personal information.
See template
See template
UNIVERSITY HONORS PROGRAM BUDGET FORM
PDF template
A financial form used by university honors program to request and document budget allocations for a specific fiscal year.
See template
See template
ThesisCapstone Advisor Feedback Form
PDF template
A form for thesis advisors to provide monthly feedback on student progress in honors program thesis projects.
See template
See template
Honors Project Proposal Form
PDF template
A form for Purdue University Fort Wayne students to propose and document their honors project for graduation.
See template
See template
Honors Project Proposal Form
PDF template
A form for students to propose and document their honors project details, including contact information, project proposal, and presentation plans.
See template
See template
Household Report Form
PDF template
Official form for reporting household information to determine public assistance benefits in Minnesota.
See template
See template
LCDBG PUBLIC FACILITIES PROJECT SURVEY FORMS
PDF template
Survey forms and instructions for collecting demographic data in public facilities project areas, required for HUD reporting.
See template
See template
House Operations Manager I Job Description
PDF template
Job description for a full-time House Operations Manager responsible for maintaining a supportive environment for families and managing shift operations at Ronald McDonald House.
See template
See template
Housing Construction Rolling Gap Grant Application Form
PDF template
An application form for developers seeking housing construction grants from the Cuyahoga Land Bank to support new residential development projects.
See template
See template
Pre Purchase Approval Form
PDF template
A form for requesting and obtaining approval for organizational purchases using a Pcard or other payment methods, requiring multiple levels of review.
See template
See template
SUNY Oswego ORSP HOW TO DOCUMENT
PDF template
Guidance for SUNY Oswego researchers on hiring and managing independent contractors for research projects, including payment and facility access procedures.
See template
See template
How To Enter A New Project Form In Survey123
PDF template
Instructions for completing a new project submission form using Survey123 web platform, including navigation, saving, and form completion tips.
See template
See template
Reporting Attendance
PDF template
Instructions for reporting course attendance through a web interface using either a grid or Excel file upload method.
See template
See template
Grant Project Checklist
PDF template
A comprehensive checklist for project coordinators to track steps and requirements for completing a grant project with the State Historic Preservation Officer.
See template
See template
Terms Of Reference (ToR) For Short Term Technical Assistance To Support The Optimization Of Implemen
PDF template
Request for technical assistance proposal from Heifer International Nigeria Program to support implementing partner application optimization
See template
See template
Purchase Approval Form
PDF template
Document outlining purchase approval limits and required documentation for agency purchases under different monetary thresholds.
See template
See template
Accident Investigation Report
PDF template
A comprehensive form for documenting workplace accidents, including details of injury, witness statements, and reporting procedures.
See template
See template
Safety Inspections Policy
PDF template
Policy detailing monthly safety inspection requirements for all CCLA sites and facilities by safety administrators or Health & Safety Manager.
See template
See template
EmployeeS InjuryIllness Report Form
PDF template
A comprehensive form for documenting workplace injuries or illnesses at the Fashion Institute of Technology.
See template
See template
Texas Tech University System Requisition Form Identification Security Access Device
PDF template
Form for requesting, changing, or terminating security access and identification devices for Texas Tech University personnel
See template
See template
HEALTH CONCERN SAFETY HAZARD CHEMICAL SPILL REPORT FORM
PDF template
A form for reporting health concerns, safety hazards, or chemical spills with details and recommended actions.
See template
See template
Health And Safety Form Incident Investigation Form
PDF template
A confidential form used to document and investigate workplace incidents and accidents for North Lanarkshire Council.
See template
See template
Project Lone Star Submission Form
PDF template
A form for reporting lone star tick discoveries in Vermont with detailed location and contact information.
See template
See template
HSS Financial Policy October 2020
PDF template
Comprehensive financial policy document outlining financial management, purchasing, expense reimbursement, and organizational guidelines for Hindman Settlement School.
See template
See template
CrimeIncident Report Form
PDF template
A standardized form for reporting crimes or incidents within a university setting, used to document details of an event and track its resolution.
See template
See template
Annual Contributions Contract (HUD 53012)
PDF template
A contract between HUD and Housing Agencies establishing terms and conditions for public housing program funding and operations.
See template
See template
Humanities Without Walls Seed Grant Application Form
PDF template
Application form for research seed grants in humanities at the University of Illinois at Chicago, offering funding between $1000-$5000 for research projects.
See template
See template
Incident Report (Personal)
PDF template
A standardized form for reporting incidents and accidents that occur during Scouting activities, to be completed by group or activity leaders.
See template
See template
UNCLAIMED PROPERTY HOLDER REPORTING MANUAL
PDF template
A comprehensive manual for businesses on reporting unclaimed property to the Nevada State Treasurer's Office, detailing compliance requirements and submission procedures.
See template
See template
Form 8275 Instructions
PDF template
Instructions for filing Form 8275, a disclosure statement used to avoid certain tax penalties by revealing specific tax return positions.
See template
See template
InterIntra Agency Agreement (IAA)
PDF template
A formal agreement between government agencies for performing work and allocating resources within the Department of Interior.
See template
See template
Iowa Accident Report Form
PDF template
Official form for reporting motor vehicle accidents in Iowa involving death, injury, or property damage over $1,000.
See template
See template
IACUC Guidelines For Fish, Fish Egg, And Frog Transportation At UWM
PDF template
Institutional guidelines for safely transporting fish, fish eggs, and frogs within and between facilities, outlining responsible shipping practices and documentation requirements.
See template
See template
IACUC Incident Report Form
PDF template
A form for documenting and reporting incidents related to institutional animal care and use procedures.
See template
See template
BA T1103 Project Readiness Assessment For The Port Of Barbados
PDF template
Technical cooperation document to support the government of Barbados in assessing project readiness for port infrastructure through a Global Infrastructure Facility methodology.
See template
See template
Student Volunteer Service Program Application
PDF template
Application form for students interested in volunteering at the Inter-American Foundation (IAF) across various departments and areas of interest.
See template
See template
Form Ng Ulat Ng Mga Gawaing Panloob
PDF template
A form for reporting internal incidents or encounters, with space for personal information and incident details.
See template
See template
Informational Circular No 97 A 001
PDF template
Guidance for preparing budget worksheet reports for fiscal year 1998, including definitions of non-reportable expenditures.
See template
See template
Administrative Standing Rules On Payments To Independent Contractors
PDF template
Guidelines for compensating independent contractors for dressage shows, clinics, and educational events with specific payment procedures.
See template
See template
NEAR MISS REPORT FORM
PDF template
A form used to document potential workplace hazards, safety concerns, and suggestions for preventing future incidents.
See template
See template
Stock Inventory Item Template
PDF template
A comprehensive template for tracking inventory items, stock levels, vendor details, and employee information.
See template
See template
Project Change Order Request Form
PDF template
A formal document used to propose and document changes to an existing project, including details of modifications, impacts, and approvals.
See template
See template
Simple Printable Expense Report Form
PDF template
A form for employees to document and submit work-related expenses for reimbursement.
See template
See template
MVA Report Form 111121
PDF template
A comprehensive form for reporting details of a motor vehicle accident for insurance and workplace documentation purposes.
See template
See template
Workplace Incident Report Form
PDF template
A comprehensive form for documenting workplace incidents, injuries, and near misses in a professional setting.
See template
See template
Student Incident Report
PDF template
A comprehensive form for documenting student safety incidents, including details about the incident, actions taken, and notifications.
See template
See template
Options For Reporting Your Survey Of Occupational Injuries And Illnesses Data
PDF template
Guide for employers on three methods of reporting occupational injuries and illnesses data to the Bureau of Labor Statistics.
See template
See template
Mini Grant Application Form
PDF template
Application for mini-grants to support innovative projects promoting diversity and inclusion at the University of Virginia.
See template
See template
2020 21 ONTARIO CREATES INTERACTIVE DIGITAL MEDIA FUND GUIDELINES
PDF template
Guidelines for Ontario's Interactive Digital Media Fund, supporting digital media content creation through two programs: Concept Definition and Production.
See template
See template
Fingerprint Identification Policy
PDF template
Policy detailing acceptable identification documents for fingerprint identification purposes, categorized into government-issued photo IDs, non-government photo IDs, and government non-photo IDs.
See template
See template
IEEE Houston Section Travel Policy
PDF template
Comprehensive travel policy detailing reimbursement guidelines and expense rules for IEEE Houston Section members on official business.
See template
See template
IEEE Expense Report Form Instructions
PDF template
Comprehensive instructions for completing an IEEE expense report, covering data entry, protected fields, and expense tracking procedures.
See template
See template
Commercial Income Expense Report Instructions
PDF template
Instructions for completing a commercial property income and expense reporting form for tax purposes.
See template
See template
IET Competitions And Awards Standard Terms
PDF template
Standard legal terms governing IET competitions and awards processes, outlining responsibilities and procedural guidelines.
See template
See template
InvestEU Portfolio Equity List Of Final Recipients As Of 31122023
PDF template
A comprehensive list of equity financing recipients across multiple countries under the InvestEU program as of December 31, 2023.
See template
See template
Fiscal Sponsorship Donor Contribution Form
PDF template
A form for donors to contribute financially to a specific film or media project through fiscal sponsorship.
See template
See template
Audit Case Number 97 PH 202 1006 Luzerne County Housing Authority Management Operations
PDF template
Audit report evaluating management operations of the Luzerne County Housing Authority, identifying areas needing operational control improvements.
See template
See template
Contribution Form
PDF template
A form for making initial or additional contributions to a donor advised, designated, field of interest, or unrestricted fund with minimum contribution requirements.
See template
See template
Ignite Award Incident Report Form
PDF template
A comprehensive form for documenting details of an incident involving personal injury or property damage with multiple sections for reporting information.
See template
See template
Purchasing Procedures
PDF template
Comprehensive procedures for submitting and processing purchase orders at the school, including requirements for expenditure documentation and approval.
See template
See template
Employee SystemsAccess Checklist Form
PDF template
A form for tracking and managing system access and resources for new or transitioning employees in an educational or administrative setting.
See template
See template
Procedure III.3006.B.A, Volunteer Service
PDF template
Comprehensive policy outlining guidelines, restrictions, and expectations for volunteers at San Jacinto College
See template
See template
IncidentHazard Report Program
PDF template
A comprehensive program for employees to report workplace hazards and potential safety risks within county departments.
See template
See template
T. Gerding Construction Company Injury Illness Prevention Program
PDF template
Comprehensive safety and health management manual for construction company covering administrative procedures, occupational health, and safety protocols.
See template
See template
Consumer Directed Services Authorization Form
PDF template
A form for authorizing and documenting consumer-directed services, payment rates, and budget responsibilities for support workers.
See template
See template
Illinois State Foundation Fellowship Application Form
PDF template
Application for a $2,500 fellowship for doctoral and master's level students demonstrating academic excellence at Illinois State University.
See template
See template
Veterans Of Foreign Wars Post Inspection Form
PDF template
Comprehensive inspection form for Veterans of Foreign Wars posts in Illinois, documenting compliance with various licensing, tax, and regulatory requirements.
See template
See template
Standard Disclosure Form Distributed Generation PV System Non ProfitPublic Facilities Option
PDF template
A disclosure form for installing photovoltaic (PV) systems for non-profit and public facilities in Illinois, providing clear information about installation terms.
See template
See template
Textile Society Art Submission Form
PDF template
A form for artists to submit multiple art pieces with details and project statements for consideration by the Textile Society.
See template
See template
American Legion Auxiliary Year End Impact Report Forms
PDF template
Annual reporting form for documenting volunteer hours, contributions, and service activities by American Legion Auxiliary members supporting veterans and military families.
See template
See template
American Legion Auxiliary Year End Impact Report Forms
PDF template
Comprehensive reporting form for American Legion Auxiliary members to document their service and impact for annual reporting to Congress.
See template
See template
American Legion Auxiliary Year End Impact Report Forms
PDF template
Annual reporting form for American Legion Auxiliary members to document volunteer hours, service contributions, and impact for veterans and military families.
See template
See template
American Legion Auxiliary Year End Impact Report Forms
PDF template
A comprehensive reporting form for American Legion Auxiliary members to track and report their volunteer hours, services, and contributions to veterans and community.
See template
See template
Amazon Business Important Information
PDF template
Guidelines for Messiah College employees on purchasing products through Amazon Business, including shipping, tax exemption, and order processing procedures.
See template
See template
IN.20 Guidelines To Sign IPX Agreements Between Mobile Operators And Carriers
PDF template
Guidelines for signing interconnection agreements between mobile operators and carriers, providing a reference framework for telecommunications interconnection.
See template
See template
IncidentAccident Procedures
PDF template
Comprehensive procedures for reporting accidents involving university vehicles, detailing steps to take immediately after an incident and notification requirements.
See template
See template
IncidentAccident Report Form
PDF template
A comprehensive form for documenting details of an incident or accident, including injury information, first aid, and follow-up actions.
See template
See template
INCIDENTACCIDENT REPORT FORM
PDF template
A comprehensive form for documenting details of incidents, accidents, or injuries that occur at a camp or youth activity setting.
See template
See template
IncidentAccident Procedure
PDF template
Procedure for reporting and managing injuries or accidents involving faculty, students, or guests in the Occupational Therapy Program.
See template
See template
INCIDENTACCIDENT REPORT FORM
PDF template
A comprehensive form for reporting accidents, injuries, thefts, medical situations, or student behavior problems at the college.
See template
See template
Incident Analysis Form (IAF)
PDF template
A comprehensive form for documenting workplace incidents, injuries, property damage, and other workplace events.
See template
See template
Incident And Hazard Report Form
PDF template
A form for documenting workplace incidents, injuries, and potential safety hazards involving staff, students, contractors, or visitors.
See template
See template
Incident And Hazard Report Physical And Psychosocial
PDF template
A comprehensive form for documenting workplace incidents, hazards, injuries, and required corrective actions.
See template
See template
INCIDENT ACCIDENT (BODILY INJURY) PROCEDURE FLOWSHEET
PDF template
Guide for reporting workplace incidents, accidents, injuries, and hazards with contact information and procedural steps.
See template
See template
IncidentProperty Damage Report Form
PDF template
A form for documenting incidents, property damage, or injuries that occur on church premises or involving church personnel.
See template
See template
INCIDENT HAZARD REPORT FORM
PDF template
A standardized form for reporting physical and psychological workplace injuries and hazards within the Australian Kinesiology Association.
See template
See template
UND Incident Investigation Form
PDF template
A comprehensive form for documenting workplace incidents, injuries, exposures, and near-misses at the University of North Dakota.
See template
See template
Workplace Violence Incident Investigation Form
PDF template
A comprehensive form for documenting and investigating workplace violence incidents, including details about the event, parties involved, and preventative recommendations.
See template
See template
INCIDENT INVESTIGATION PROCEDURE AND REPORT FORM
PDF template
A comprehensive guide for conducting workplace accident investigations to determine root causes and prevent future incidents.
See template
See template
Developmental Disabilities Program Incident Management Manual
PDF template
A comprehensive guide for managing incidents, reporting, and ensuring safety within developmental disabilities services.
See template
See template
IncidentHazard Report Form
PDF template
A document used to report workplace incidents, hazards, and potential risks for churches, schools, or businesses.
See template
See template
Incident Or Injury Form
PDF template
A comprehensive form documenting details of an incident or injury involving a child in a care facility.
See template
See template
Victoria County 4 H Incident Report Form
PDF template
A form for reporting health, safety, and conduct concerns within Victoria County 4-H programs
See template
See template
Incident Report Form
PDF template
A comprehensive form for reporting incidents, injuries, property damage, or youth protection events within a Scouting organization.
See template
See template
INCIDENT INJURY HAZARD REPORTING PROCEDURE
PDF template
A comprehensive procedure for reporting, investigating, and preventing workplace incidents, injuries, and hazards to ensure health and safety.
See template
See template
Unusual Incident Report Form
PDF template
A comprehensive form for documenting unusual incidents involving clients of the developmental disabilities board, including details of the incident, injuries, and follow-up actions.
See template
See template
Incident Report Form Accidents
PDF template
Confidential form for documenting accidents and injuries at school sites, used for reporting and potential legal purposes.
See template
See template
Incident Report
PDF template
A confidential form for documenting and reporting various types of incidents involving clients, staff, or facilities.
See template
See template
Incident Report Form
PDF template
A comprehensive form for reporting workplace or campus-related incidents, injuries, and potential safety issues.
See template
See template
David Douglas School District Incident Report
PDF template
A comprehensive form for documenting accidents or sudden illnesses involving students, employees, or patrons on school district premises.
See template
See template
AccidentIncident Report Form
PDF template
A form used to document workplace accidents, injuries, near misses, or property damage incidents for safety tracking and prevention.
See template
See template
Incident Report Form
PDF template
A comprehensive form for reporting incidents across various settings, capturing details about the event, location, and involved parties.
See template
See template
Incident Report Form
PDF template
A form for reporting incidents of discrimination, harassment, or sexual assault at Monroe College for Title IX investigation purposes.
See template
See template
Incident Report Form
PDF template
A form used to document accidents, injuries, medical situations, or student behavior incidents on a campus setting.
See template
See template
Duke University Department Of Chemistry Incident Report Form
PDF template
A comprehensive form for documenting personal injuries, fires, and chemical spills in a university chemistry department.
See template
See template
Wildlife Incident Report Form
PDF template
A comprehensive form for documenting and reporting wildlife health incidents, including species details, environmental conditions, and collected specimens.
See template
See template
Incident Report
PDF template
A comprehensive form for documenting workplace incidents, accidents, and potential injuries at Upper Merion Township.
See template
See template
Incident Report Form
PDF template
A comprehensive form for documenting workplace incidents, injuries, and follow-up actions.
See template
See template
New York State PTA Incident Report Form
PDF template
A detailed form for documenting incidents, accidents, or injuries during PTA-related activities or events.
See template
See template
4 H Youth Development Incident Report Form
PDF template
A standardized form for reporting safety incidents, injuries, or situations involving 4-H program participants, volunteers, or staff.
See template
See template
Incident Report Form
PDF template
A comprehensive form for documenting serious incidents involving college employees, students, or visitors including illness, injury, or theft.
See template
See template
INCIDENT REPORT FORM
PDF template
A comprehensive form for documenting workplace or camp-related incidents, tracking details of injuries, accidents, and other reportable events.
See template
See template
Incident Report Form
PDF template
A comprehensive form for documenting incidents resulting in bodily injury during approved club activities or potential insurance issues.
See template
See template
Employee, Volunteer Youth AccidentIncident Report Form
PDF template
A comprehensive form for documenting accidents, incidents, and injuries involving employees, volunteers, and youth participants at the University of Kentucky Cooperative Extension Service.
See template
See template
Employee, Volunteer Youth AccidentIncident Report Form
PDF template
A comprehensive form for documenting accidents, incidents, and injuries involving employees, volunteers, and youth participants at the University of Kentucky Cooperative Extension Service.
See template
See template
Incident Report Form July 2019
PDF template
Confidential form for reporting incidents involving ACE students or mentors that potentially compromise health, safety, or welfare.
See template
See template
Incident Report Form Instructions
PDF template
Guidelines for completing and submitting incident reports for medical and non-medical situations in Scouting environments.
See template
See template
INCIDENT, ACCIDENT, ILLNESS, DEATH OR ARREST REPORT
PDF template
A comprehensive form for documenting and reporting health-related incidents, accidents, illnesses, or other critical events in a community health network.
See template
See template
PHHS CCF INCIDENT REPORT FORM
PDF template
A form used to document incidents and injuries that occur in child care facilities, capturing details about the incident, equipment involved, cause, and type of injury.
See template
See template
Incident Report Form College Of Engineering
PDF template
A detailed form for documenting safety incidents, injuries, or accidents within the College of Engineering environment.
See template
See template
Angeles Chapter Sierra Club Incident Report Instructions
PDF template
Instructions for Sierra Club trip leaders on reporting various types of incidents during outings, including mandatory reporting requirements and documentation procedures.
See template
See template
Incident Report
PDF template
A form used to document details of incidents involving city property, personnel, or citizens, including damages, injuries, and witness information.
See template
See template
Incident Report Form
PDF template
A document used to document workplace incidents, including details about the event, witnesses, and location.
See template
See template
Moycullen Basketball Club Accident Report Form
PDF template
A standardized form for documenting accidents and incidents occurring during basketball club activities.
See template
See template
Incident Report Form
PDF template
A comprehensive form for documenting incidents involving personal injury, vehicle damage, property damage, or other types of incidents within the Town of Pelham.
See template
See template
Incident Report Form
PDF template
A form used to report incidents involving injury, exposure, illness, damage, theft, or safety issues for nursing students, employees, or visitors.
See template
See template
Paw Point Incident Report Form
PDF template
A form for documenting incidents involving dogs at Paw Point, used to review and potentially take action on reported events.
See template
See template
Incident Report Form
PDF template
Official form for reporting incidents, injuries, or property damage at the University of Texas at Dallas
See template
See template
Incident Report Form
PDF template
A form for documenting incidents involving injury or safety concerns during a camp or program within 48 hours of occurrence.
See template
See template
New Choices Waiver Incident Report Form
PDF template
A comprehensive form for reporting critical incidents involving clients in healthcare or social service settings, requiring timely notification to case management agencies.
See template
See template
RCSC Incident Report
PDF template
A comprehensive form for documenting incidents, injuries, complaints, and policy violations within an organization
See template
See template
Angeles Chapter Sierra Club Incident Report Instructions
PDF template
Detailed instructions for reporting incidents during Sierra Club outings, specifying types of incidents that require formal reporting and submission process.
See template
See template
Incident Report Form
PDF template
A form for reporting violations of NASPA's Code of Conduct during sanctioned events or activities.
See template
See template
Incident Report Form
PDF template
A standardized form for reporting accidents, injuries, or property damage, to be submitted within 24 hours of an incident.
See template
See template
Wayne State University Recreation And Fitness Center Incident Report Form
PDF template
A detailed form for documenting incidents occurring at the Wayne State University Recreation and Fitness Center, collecting information about the incident, witnesses, and involved parties.
See template
See template
DEPARTMENTAL INCIDENT AND HAZARD REPORT FORM
PDF template
A comprehensive form for reporting workplace incidents, accidents, and safety concerns at a campus or organizational setting.
See template
See template
ABC Adult School Incident Report
PDF template
A standard form for documenting details of incidents occurring at ABC Adult School.
See template
See template
Incident Report Form
PDF template
A form used to document and report incidents requiring college staff involvement or potential outside agency referral.
See template
See template
RESIDENT DAMAGESINCIDENT CLAIM FORM
PDF template
A form for reporting property damage or personal injury incidents for residents to document details and submit to management.
See template
See template
Incident Report Form
PDF template
A form for reporting alleged fraudulent activities involving federal workforce development funds in San Diego.
See template
See template
Incident Report Form
PDF template
Formal document for reporting misconduct, harassment, bullying, hazing, abuse, or other youth protection events within a club setting.
See template
See template
Incident Report Form
PDF template
A standardized form for documenting school-related incidents, injuries, and follow-up actions involving students.
See template
See template
Child Care Licensing Incident Report Form For Temporary Operations
PDF template
A form for reporting serious incidents, accidents, or health and safety issues in temporary child care operations during COVID-19 emergency period.
See template
See template
Incident Report Prince GeorgeS County Summer Youth Enrichment Program (SYEP)
PDF template
A form for reporting workplace incidents, injuries, or harassment involving youth participants in the Summer Youth Enrichment Program.
See template
See template
Incident Report Form
PDF template
A comprehensive form for documenting details of an incident, including participant information, injury details, first aid, and follow-up actions.
See template
See template
Incident Hazard Report Form
PDF template
A comprehensive form for documenting workplace incidents, injuries, hazards, and corrective actions within the Anglican Diocese of The Murray.
See template
See template
YMCA Incident Report Form
PDF template
A comprehensive form for documenting incidents occurring at YMCA facilities, camps, or school sites involving staff, volunteers, or participants.
See template
See template
Incident Report Form
PDF template
A form for documenting and reporting incidents, injuries, or accidents within an organization or club setting.
See template
See template
AYSO Incident Report Form
PDF template
Comprehensive form for documenting injuries, incidents, and accidents during AYSO soccer events and activities.
See template
See template
ADMH DDD Incident Report Form For Incident Occurring During Provision Of Self Directed Services In I
PDF template
A form used to document and report incidents occurring during self-directed services for waiver program enrollees.
See template
See template
Incident Reporting Form
PDF template
A comprehensive form for reporting incidents of bullying, harassment, or discrimination in a school setting
See template
See template
Incident Report Form
PDF template
A form used to document details of an incident, including persons involved, property damage, and event description.
See template
See template
How To File An Incident Report
PDF template
Comprehensive guide for reporting workplace, student, and visitor incidents at Clark College, detailing the proper procedures for documenting accidents and near misses.
See template
See template
Incident Reporting Procedure
PDF template
Comprehensive procedure defining incident types and reporting requirements for various critical events in family and child services.
See template
See template
Incident Reporting System User Guide Incident Investigation
PDF template
A comprehensive guide for users on how to access and complete incident investigation forms in the university's online reporting system.
See template
See template
Dexter Community Schools Incident Report Non Staff Accident Report Form
PDF template
A form for documenting accidents, injuries, vandalism, theft, and safety hazards occurring within a school environment.
See template
See template
Incident Report Policy
PDF template
A comprehensive policy detailing the procedure for documenting and reporting incidents that occur on library property, including submission requirements and best practices.
See template
See template
CANTON PUBLIC SCHOOLS INCIDENT REPORTS FOR STUDENTS AND STAFF
PDF template
Guidelines for documenting and reporting accidents, injuries, and significant health incidents involving students and staff at Canton Public Schools.
See template
See template
Incident Report Form
PDF template
Form for reporting non-auto related incidents involving potential bodily injury or property damage at the University of Virginia.
See template
See template
INCO 590 INCO 790 Budget Instructions
PDF template
Instructions for students to request research expense funds up to $200 for research-related costs through the INCO 590 or INCO 790 program.
See template
See template
INCO 590 INCO 790 Budget Instructions
PDF template
Detailed instructions for students to request up to $200 in research-related expenses for academic research projects.
See template
See template
Appendix C Grant Survey Form Instructions
PDF template
Detailed instructions for completing a grant survey form, including guidelines for documenting family income, demographics, and survey validation.
See template
See template
Independent Contractor Guide
PDF template
Comprehensive guide for Youngstown State University on payment procedures for non-employee independent contractors.
See template
See template
Independent Contractor Services Form
PDF template
Form for documenting and approving independent contractor services for the Research Foundation of State University of New York.
See template
See template
Request For Proposal For Independent Pension Administration System Assessment
PDF template
Solicitation for a qualified contractor to provide project oversight for the Teachers' Retirement System's new pension administration system called Gemini.
See template
See template
Independent Research Project Proposal
PDF template
A form for students to outline and seek approval for an independent research project from academic supervisors.
See template
See template
Individual Membership Form
PDF template
A confidential membership registration form for individuals interested in joining the Narcolepsy Network organization.
See template
See template
Change Order Request Form
PDF template
A form used to document and request modifications to an existing construction contract, including potential cost and time adjustments.
See template
See template
DISTRICT 6220 TRAVELVISITATION GUIDELINES
PDF template
Guidelines for travel and visitation for Rotary Youth Exchange students within and outside District 6220 boundaries.
See template
See template
INVOICE FORM
PDF template
Invoice documenting grant funds allocation and expenses for a tourism-related project
See template
See template
VOLUNTEER APPLICATION FORM
PDF template
Comprehensive form for individuals seeking to volunteer, covering availability, service preferences, and commitment levels.
See template
See template
Budget Instructions Assumptions
PDF template
Document providing budget preparation guidelines and strategic priorities for the American Library Association's fiscal year 2017.
See template
See template
KUSP Broadcasting Foundation Letter Of Intent Vote
PDF template
A board document requesting member vote on selling FCC licenses to Classical Public Radio Network while retaining other assets to avoid bankruptcy.
See template
See template
Information For Researchers Concerning Informed Decision Making What Is An Informed Consent Form
PDF template
Guidelines for creating informed consent forms for research involving human participants, detailing requirements for consent documentation and translation.
See template
See template
In House Research Proposal Form
PDF template
An internal research proposal form for seeking departmental funding for research projects.
See template
See template
Initial Budget Form
PDF template
A form for club sports teams to request initial budget and detail estimated expenses for the academic year.
See template
See template
INITIAL COMPLAINT FORM
PDF template
A form for filing complaints related to staff or student misconduct within the Salinas Union High School District.
See template
See template
Project Initiation Form
PDF template
A comprehensive form for submitting project requests to Facilities Management, covering project details, funding, and approvals.
See template
See template
Technical Initiative Proposal Form
PDF template
A proposal form for technical initiatives within the Acoustical Society of America, used to request funding and outline project details.
See template
See template
Colorado Department Of EducationS Initiative Inventory Alignment And Analysis Process Guide
PDF template
A guide for developing and analyzing an initiative inventory to support program alignment and identification of potential collaborative opportunities within the Colorado Department of Education.
See template
See template
IncidentInjuryHazard Notification Form
PDF template
A comprehensive form for reporting workplace incidents, injuries, illnesses, hazards, or near misses within a university setting.
See template
See template
Casa Loma College Incident Report Form
PDF template
A form for documenting incidents involving employees, students, or visitors at Casa Loma College, including details of the incident, actions taken, and analysis.
See template
See template
PUBLIC POOL AND SPA INJURY INCIDENT REPORT FORM
PDF template
A standardized form for reporting injuries, drownings, or near-drownings at public pools and spas to local health districts.
See template
See template
UVU Injury Accident Report Form
PDF template
Comprehensive form for documenting accidents and injuries occurring at Utah Valley University or during university-sponsored activities.
See template
See template
Form D Student Injury Report Form
PDF template
A form used to document and report student injuries or exposures during academic or clinical activities.
See template
See template
Report Of Incident Or Accident
PDF template
A comprehensive form for documenting workplace incidents, accidents, and injuries at California State University, Sacramento.
See template
See template
INNOVATION GRANT APPLICATION FORM
PDF template
A comprehensive application form for researchers seeking innovation grants from the British Medical Ultrasound Society (BMUS)
See template
See template
Grant Inquiry Form
PDF template
A form for organizations to request grant funding from the Benton Telecommunications Foundation, detailing project purpose, budget, and organizational information.
See template
See template
Letter Of Intent (LOI) For INSPIRE 2020 Funding
PDF template
A letter of intent for applicants seeking funding through the INSPIRE 2020 program, to be submitted by October 16, 2020.
See template
See template
CYBER SCIENCE DEPARTMENT INSTRUCTION 1531.79C
PDF template
Guidelines and requirements for midshipmen pursuing independent research in the Cyber Science Department at the United States Naval Academy.
See template
See template
Missouri Valley College Institutional Review Board (IRB) Instructions For Applicants
PDF template
Guidelines for submitting human subjects research proposals to Missouri Valley College's Institutional Review Board for review and approval.
See template
See template
5 Year Budget Form For Graduate Programs
PDF template
Detailed instructions for completing a 5-year budget spreadsheet for new graduate degree programs at UNT
See template
See template
Instruction Kit For Form No. IEPF 5
PDF template
A comprehensive instruction kit for users to fill out Form IEPF-5 for claiming unpaid amounts and shares from the Investor Education and Protection Fund.
See template
See template
STEM Center Instructional Assistant Study Session Form
PDF template
Instructions for STEM Center tutors to complete mandatory documentation after each tutoring session to track session effectiveness.
See template
See template
Instructions For Submitting Curricular Changes For 2023 24 Catalog
PDF template
Detailed instructions for Southern Oregon University faculty on submitting course and program changes for the 2023-24 academic catalog.
See template
See template
Instructions For Budget Preparation
PDF template
Guidelines for preparing research project budgets, including definitions of key financial terms and submission requirements for The Water Research Foundation.
See template
See template
Special Incident Report Form (SIR)
PDF template
Instructions for completing and submitting a Special Incident Report form for San Andreas Regional Center service providers.
See template
See template
2024 INPS Research Grant Application Form
PDF template
Detailed instructions for completing a research grant application for the INPS grant program, covering required sections and submission guidelines.
See template
See template
5 Year Budget Form For Undergraduate Programs
PDF template
A comprehensive budget form for department chairs and program directors to document financial projections for a new undergraduate degree program.
See template
See template
Instructions For Invoicing For Juvenile Justice Education Special Appropriation 103 Funds
PDF template
Detailed instructions for providers to submit reimbursement invoices for high school equivalency and postsecondary education services for juvenile justice programs.
See template
See template
Interagency Agreement (IAA) Instructions
PDF template
Detailed instructions for completing an Interagency Agreement form, explaining its two key sections: General Terms and Conditions and Order Requirements and Funding Information.
See template
See template
UND Incident ReportingIncident Investigation Form
PDF template
Guidelines for reporting and investigating safety incidents, injuries, and hazards at the University of North Dakota (UND)
See template
See template
E Sahaj Sewa User Registration Instructions
PDF template
Instructions for registering and obtaining security clearance for individuals from countries bordering India applying for Director Identification Number (DIN)
See template
See template
Performance Review Process For Supervisors
PDF template
A comprehensive guide for supervisors detailing the performance review process, forms, and rating system at Xavier organization.
See template
See template
Budget Form
PDF template
Detailed instructions for completing a multi-tab budget spreadsheet with guidance on filling out summary and activity sheets.
See template
See template
City Of Lincoln Contract Instructor Proposal Packet
PDF template
Guidelines for becoming a contract instructor with the City of Lincoln Recreation Department, outlining responsibilities, requirements, and program details.
See template
See template
DELL COMPUTER REQUEST FORM
PDF template
Official form for requesting Dell computer products for university departments, with specific instructions for processing and approval.
See template
See template
Notice Of Change Of Ownership, Interest, Or Participation Of Interest In Income Tax Capital Credit P
PDF template
Official form for reporting changes in ownership, interest, or participation in an income tax capital credit project for the Alabama Department of Revenue
See template
See template
IntakeReferral Form
PDF template
A form for reporting workplace incidents, complaints, or potential misconduct within a Tennessee state agency.
See template
See template
Intellectual Property Model Management Plan
PDF template
A comprehensive model plan for state agencies to manage and protect their intellectual property resources and rights.
See template
See template
Orthopaedic Surgery Program Intent To Travel Form
PDF template
A form for documenting and requesting travel reimbursement for residents in the Orthopaedic Surgery Program with details about mileage and funding sources.
See template
See template
Inter Departmental Transfer Request Form
PDF template
A form used by Florida Agricultural and Mechanical University for transferring funds between internal departments with budget approval requirements.
See template
See template
Interfund Transfer Request Form
PDF template
A form used to request and document transfers between different fund accounts within an organization.
See template
See template
Dexter Community Schools Internal Activity Accounts Intent To Offer Student Scholarship Form
PDF template
A form for individuals or groups to propose and document a student scholarship offering through Dexter Community Schools.
See template
See template
Internal Affairs Report Form
PDF template
A form for reporting alleged misconduct or inappropriate behavior by law enforcement officers within the Colts Neck Township Police Department.
See template
See template
INTERNAL APPROVAL FORM
PDF template
An internal form for submitting research proposals, project details, and compliance information to the Office of Research and Sponsored Programs.
See template
See template
College Of Pharmacy Internal Proposal Approval Form
PDF template
An internal form for proposing and obtaining approval for research projects within a College of Pharmacy, including project and budget details.
See template
See template
Internal Quarterly Progress Report Form
PDF template
A standardized form for tracking and reporting project progress, activities, and financial status for grant-funded initiatives.
See template
See template
INTERNAL TRANSFER REQUEST FORM
PDF template
A form used by Florida International University for internal financial transfers between departments or projects.
See template
See template
International Grant Application Form
PDF template
A comprehensive application form for international charities seeking grant funding, requiring detailed organizational and project information.
See template
See template
Internship Project Form
PDF template
A form for documenting student internship projects in art-related courses, outlining project details, responsibilities, and evaluation criteria.
See template
See template
THE INTERNSHIP AND INTERNSHIP FUNDING APPROVAL PROCESS
PDF template
Detailed instructions for students to record internships and request funding through Sanford Careerlink for Summer 2021
See template
See template
International Annual Report Form For Assembled Countries
PDF template
Annual reporting form for international Daughters of the King chapters to provide organizational and contact information to the national office.
See template
See template
Entry Medical Examination United Nations And Specialized Agencies
PDF template
Medical examination form for employment candidates seeking positions with United Nations and specialized agencies, requiring comprehensive health disclosure and authorization for medical record review.
See template
See template
Property Inventory Form
PDF template
A document used to track and record details of property assets, including identification, location, purchase information, and condition assessment.
See template
See template
Inventory Form
PDF template
A comprehensive form for documenting and tracking inventory items at a school or worksite location with space for detailed item information.
See template
See template
Investment Agreement For Regional Housing Coalition
PDF template
A document outlining investment opportunities and levels for supporting a community housing initiative through financial contributions or in-kind donations.
See template
See template
Invitation To Tender For Autonomous Interactive Robot
PDF template
Tender document for the provision of an autonomous interactive robot for the Red Cross Home for the Disabled in Singapore.
See template
See template
INVOICE GENERAL CHECKLIST
PDF template
Comprehensive guidelines for consultants submitting invoices to the City of Miami, detailing required documentation and submission process.
See template
See template
INVOICE FORM LITIGATION AND LEGAL INTERVENTIONS
PDF template
Form for requesting reimbursement of legal and administrative expenses from the CCP with detailed expense categories and rate limitations.
See template
See template
INVOICE FORM TEST CASE DEVELOPMENT
PDF template
Invoice form for requesting reimbursement of legal and administrative expenses from the CCP with specified expense categories and rate limitations.
See template
See template
LIONS CLUB INVOICE GUIDELINES
PDF template
Guidelines for using an invoice template designed to support fund collection for Lions Club activities, including dues and donor invoicing.
See template
See template
Invoice Inquiry Quick Reference Guide
PDF template
A guide for finding invoice information in the UNI e-Business Suite system using various search criteria like invoice number, supplier name, or date range.
See template
See template
Completing The Invoice Supporting Documentation Packet
PDF template
Guidelines for submitting supporting documentation with grant invoices, including preparation steps and document requirements.
See template
See template
Annual IOLTA Compliance Report
PDF template
Annual reporting form for Maryland attorneys to verify IOLTA account compliance and recertification status
See template
See template
IOWA ACCIDENT REPORT FORM
PDF template
Official form for reporting accidents in Iowa causing death, personal injury, or property damage of $1,500 or more.
See template
See template
IPad Damage Report Form
PDF template
A form for reporting damage to student iPads at Salesian College, detailing repair costs and responsibility
See template
See template
Salesian College IPad LossDamage Report Form
PDF template
A form for reporting lost, stolen, or damaged iPads issued by Salesian College to students.
See template
See template
Salesian College IPad LossDamage Report Form
PDF template
A form for reporting lost, stolen, or damaged iPads owned by Salesian College students.
See template
See template
Salesian College IPad LossDamage Report Form
PDF template
A form for reporting lost, stolen, or damaged iPads at Salesian College with details about the incident and insurance claim process.
See template
See template
Complaint (Request For Inspection) Form
PDF template
A formal complaint form for individuals or communities to report potential harm caused by World Bank-financed projects and request an investigation.
See template
See template
Budget Form No. 3
PDF template
Budget hearing notice for Indianapolis Public Schools for the 2024-25 fiscal year, detailing budget estimates across multiple funds.
See template
See template
Annual Progress Report Form
PDF template
A form for researchers to report annual progress and status of research studies approved by the Institutional Review Board (IRB)
See template
See template
How To File An Incident Report In Cayuse
PDF template
Instructions for reporting research incidents or adverse events using the Cayuse system for Texas Woman's University IRB.
See template
See template
Consent Form Checklist
PDF template
A comprehensive checklist for creating research consent forms at North Park University, covering required elements and sections for documentation.
See template
See template
Consent Form Checklist
PDF template
A comprehensive checklist for researchers preparing consent forms for human participant research projects at Northwest University.
See template
See template
Behavioral Science Parental Consent Template
PDF template
Detailed guidelines for creating parental consent forms for behavioral and social science research studies involving children.
See template
See template
Pre Review IRB Checklist Form
PDF template
Comprehensive guidelines for preparing and submitting research study documents for IRB review at Boston University.
See template
See template
Incident Report Form
PDF template
A standardized form for documenting workplace incidents, injuries, or damages involving employees or volunteers.
See template
See template
Indiana Recovery Network RCO Certification Interview Form
PDF template
A comprehensive form for evaluating and certifying recovery community organizations in Indiana, focusing on organizational policies, governance, and non-profit status.
See template
See template
Tax Exempt Organizations And Gaming
PDF template
A comprehensive guide explaining how gaming activities can impact a tax-exempt organization's federal tax status and reporting responsibilities.
See template
See template
Adult Sponsor Checklist (1)
PDF template
Comprehensive checklist for adult sponsors overseeing student research projects in science and engineering fairs.
See template
See template
Adult Sponsor Checklist (1)
PDF template
Checklist for adult sponsors of student science and engineering fair projects to ensure compliance with research guidelines.
See template
See template
International Rules Guidelines For Science And Engineering Fairs 2019 2020
PDF template
Official form and guidelines for students participating in science and engineering research competitions, providing a structured approach to documenting research projects.
See template
See template
Iseminger Trust Request Form
PDF template
A form for requesting funds from the Iseminger Trust by Lake Stevens School District personnel.
See template
See template
Membership Application Form
PDF template
Application form for membership to the Islamic Society of Greater Dayton (ISGD) for individuals 18 and older
See template
See template
Islamic State Of Iraq Expense Report
PDF template
A blank financial expense tracking document for recording funds received and expenses incurred by an individual affiliated with the organization.
See template
See template
Incident Investigation Reporting
PDF template
A comprehensive procedure for investigating and reporting workplace incidents, aligned with ISO 45001:2018 occupational health and safety standards.
See template
See template
Individual Service Project (ISP) Approval Form
PDF template
Form for National Honor Society members to propose and get approval for community service projects
See template
See template
ISP Audit Meeting Minutes
PDF template
Minutes from an ISP audit meeting discussing safety training, incident reporting, and certification requirements for the Biochemistry department.
See template
See template
Information Technology Project Request Form
PDF template
A comprehensive form for submitting and evaluating technology project proposals within an organization
See template
See template
IT Addendum To ContractorS Contract Form
PDF template
An addendum modifying standard contract terms for IT services between a contractor and the Virginia Community College System (VCCS)
See template
See template
CDW Customer Service Order Form
PDF template
Agreement between Tulsa County and CDW Government, LLC for Mimecast M2A and LCS-Gold annual subscriptions
See template
See template
Incident Report Form
PDF template
A standardized form for documenting workplace accidents, injuries, property damage, or near-miss events to be completed within 24 hours of an incident.
See template
See template
SJVUAPCD Governing Board Meeting Document
PDF template
A proposal to approve an amendment to a legal services agreement with Liebert Cassidy Whitmore for labor and management legal services.
See template
See template
ITEM Coalition Membership Application Form
PDF template
A membership application form for a consumer-led coalition focused on improving access to assistive devices and technologies for people with disabilities and chronic health conditions.
See template
See template
Cook County Health Personnel Rules
PDF template
Comprehensive personnel guidelines and rules for Cook County Health employees, detailing employment policies and procedures.
See template
See template
I.T Maintenance Request Form
PDF template
A form used to document and track IT equipment maintenance requests within an organization.
See template
See template
ITP 3 Technology Governance And Procurement Review
PDF template
Administrative procedure defining the technology governance process and requirements for technology procurement review at Marshall University.
See template
See template
Information Technology Professional Services Agreement
PDF template
A service agreement between Cornell University and a technology consultant for professional IT services and deliverables.
See template
See template
SIUE ITS Network Infrastructure Management Service Requisition Form
PDF template
A form for requesting network and infrastructure services at Southern Illinois University Edwardsville (SIUE)
See template
See template
Information Technology Services Purchase Requisition Form
PDF template
Guidelines for staff to request and purchase IT equipment through the Information Technology Services department's requisition process.
See template
See template
Bakersfield College Human Resources Planning Matrix
PDF template
A comprehensive document outlining human resources management tasks, responsibilities, and performance metrics for Bakersfield College.
See template
See template
Form W 8BEN E
PDF template
IRS form for entities to certify their status for US tax withholding and reporting purposes
See template
See template
Wisconsin DNR Infectious Waste Annual Report
PDF template
Instructions for Wisconsin medical facilities and infectious waste generators to complete their annual waste reporting requirements.
See template
See template
Payroll Deduction Authorization Form
PDF template
Form for employees to authorize ongoing or one-time payroll deductions to the Wesleyan Fund
See template
See template
Academic And Government Category Incident Report Form
PDF template
A comprehensive form for reporting incidents involving international exchange visitors at Rowan University.
See template
See template
Alonzo And Elisabeth Jamison Excellence Fund GovernmentNon Profit Internship Application
PDF template
An application for students seeking internships in government or non-profit organizations through the Jamison Internship Program.
See template
See template
PSC Selection Process (PSP) Committee Chair
PDF template
A procedural document outlining steps for selecting committee chairs in a university capital programs and real estate services context.
See template
See template
Jasper County 4 H Project Form
PDF template
Comprehensive form for 4-H members to document project activities, learning, and achievements for a specific project year.
See template
See template
Joe Burrow Foundation Do Good Grant Application
PDF template
A grant application process for supporting projects addressing mental health and food insecurity in Ohio and Louisiana.
See template
See template
FORM LB 1
PDF template
Budget document outlining financial resources, requirements, and tax levies for the library district for fiscal years 2015-2018.
See template
See template
JEB RA Student Accident And Injury Reporting
PDF template
Establishes reporting requirements and guidelines for student accidents and injuries during school-sponsored activities in Anne Arundel County Public Schools.
See template
See template
Je SRP1(EPSRC)
PDF template
Research proposal submission form for the Engineering & Physical Sciences Research Council with details of research project and investigators
See template
See template
National Honor Society Individual Service Project Form
PDF template
Form for National Honor Society students to document and obtain approval for individual community service projects.
See template
See template
Jimmie Grant Application Form
PDF template
A comprehensive form for non-profit organizations seeking grant funding, requiring detailed organizational and financial information.
See template
See template
Joint Loss Management Committee Meeting Minutes
PDF template
Minutes documenting a joint management and employee safety committee meeting discussing workplace safety protocols and committee composition.
See template
See template
JOAG Website Update Request Form
PDF template
Guidelines for JOAG committees to request updates to their website pages, including submission process and requirements.
See template
See template
Instructions For The Job Application Survey Form
PDF template
Detailed guidelines for completing a job application survey form for HUD reporting purposes, focusing on job creation and income reporting.
See template
See template
John Williams Classroom Rental Agreement
PDF template
Rental agreement for using the John Williams Classroom at a museum for meetings and events with specific usage guidelines and fees.
See template
See template
Amendment Of The Budget For Capital Improvements And The Capital Improvement Program
PDF template
A document detailing budget amendments for undergraduate housing expansion at UC Irvine, including changes to funding and project scope.
See template
See template
Joint Agreement Budget Form State Of Illinois
PDF template
Budget document for fiscal year 2019-2020 for the South Macoupin Association for Special Education covering Macoupin and Madison Counties in Illinois
See template
See template
Joint Agreement Budget Form State Of Illinois
PDF template
Annual fiscal budget document for the South Macoupin Association for Special Education covering the fiscal year 2021-2022.
See template
See template
Rev. Rul. 2004 51 Organization Exemption And Unrelated Business Income Tax
PDF template
IRS ruling addressing tax exemption status for a non-profit university participating in a joint LLC with a for-profit corporation for teacher training seminars.
See template
See template
Judson College Food Service Request
PDF template
A form for requesting food service at Judson College, including details about event catering and budget information.
See template
See template
Artwork Loan Agreement
PDF template
A legal agreement for loaning artwork to The Joy & Whimsy Depot for exhibition purposes, outlining responsibilities of the lender and the exhibitor.
See template
See template
Project Lifecycle Applicability
PDF template
A guide for editing and managing projects within the GSA Projects App, detailing various project update procedures.
See template
See template
Kane County School District PurchasePayment Procedures For Small Purchases (CBE)
PDF template
Guidelines for purchasing procedures based on different price thresholds and required approvals for school district procurement
See template
See template
2025 Budget Summary
PDF template
A comprehensive budget document detailing proposed expenditures and tax rates for various county funds in 2025.
See template
See template
Keller Hall Student Recital Procedures
PDF template
Comprehensive procedures and requirements for student music recitals at a university music department, covering prerequisites, application, program submission, and performance logistics.
See template
See template
Capital Request Form
PDF template
A financial document used to request capital assets or funding for university groups or departments.
See template
See template
Best Practices Of A Performance Review
PDF template
A comprehensive guide detailing the components, instructions, and best practices for conducting employee performance reviews.
See template
See template
Auction Procurement Form
PDF template
A form for donors to submit auction item details for a non-profit fundraising event
See template
See template
Accident Report Form
PDF template
A form used to document and report accidents or injuries occurring on the Kingsley Allotment Site by members of the community.
See template
See template
SEWAGE DISCHARGE FORM
PDF template
Official report of a combined sewer overflow (CSO) discharge event in Kingston, New York, detailing location, volume, and environmental impact.
See template
See template
Creating A High Level Budget In Kuali Research
PDF template
Instructions for creating a high-level budget in Kuali Research, focusing on non-personnel budget entry methods for research proposals.
See template
See template
Youth Volunteer Application Form
PDF template
Comprehensive application form for youth volunteers, including personal information, parental contacts, and confidentiality pledge.
See template
See template
Kuali Research Create Budget Quick Reference Guide
PDF template
A step-by-step guide for creating detailed budgets in Kuali Research proposal system, explaining budget version setup and navigation.
See template
See template
Form 990 N (E Postcard)
PDF template
Guide for small tax-exempt organizations explaining the electronic Form 990-N filing requirement to maintain tax-exempt status.
See template
See template
Critical Incident (CI) Report Form
PDF template
A form for reporting and documenting critical incidents involving healthcare members at L.A. Care Health Plan.
See template
See template
Laboratory Incident Report Form
PDF template
A confidential form for reporting safety incidents or concerns related to laboratory work at UMBC, allowing anonymous reporting of workplace safety issues.
See template
See template
Laboratory Incident Report Form
PDF template
A standardized form for documenting and reporting safety incidents or accidents that occur in a laboratory setting.
See template
See template
Lama Tsultrim Allione Legacy Circle Membership Form
PDF template
A membership form for individuals planning to make estate gifts to Tara Mandala non-profit organization.
See template
See template
LAUC Research Professional Development (RPD) Mini Grant Application Form
PDF template
A grant application form for librarians seeking professional development funding within the University of California library system.
See template
See template
STUDENT ORGANIZATION REIMBURSEMENT REQUEST FORM
PDF template
A form for student organization members to request reimbursement for pre-approved purchases related to organizational events.
See template
See template
FORM LB 1
PDF template
A financial document detailing budget requirements, property taxes, and organizational expenses for fiscal years 2019-2022.
See template
See template
FORM LB 1
PDF template
A comprehensive financial summary and budget document showing revenue, expenditures, and full-time equivalent employees across organizational units for fiscal years 2019-2022.
See template
See template
Resource Description Form
PDF template
Financial document detailing resources and budget for Wasco County 4-H & Extension Service District across multiple years
See template
See template
Learning Beyond The Classroom Grant Application Form
PDF template
A grant application form for students seeking financial support for educational activities beyond traditional classroom learning.
See template
See template
Circular Letter 241 Of The Commissariat Aux Assurances On The Insurance Agencies Annual Reporting
PDF template
Official document providing instructions for insurance agencies' annual reporting requirements and submission process for the year 2024.
See template
See template
Local Church Funds
PDF template
Annual financial report detailing receipts, disbursements, and balances for various church funds
See template
See template
Budget Form Instructions
PDF template
Comprehensive instructions for completing a budget form for program services, including details on administration, program costs, and budgeting guidelines.
See template
See template
FY 2024 Budget Form CNP Verification And Certification
PDF template
A budget verification form for local education agencies (LEAs) participating in various federal child nutrition programs and documenting program participation and financial details.
See template
See template
Lease Accounting Policy
PDF template
Comprehensive policy establishing accounting treatment for lease agreements at Harvard University, covering classification and reporting requirements for lessees and lessors.
See template
See template
Leave Request Form Management
PDF template
A comprehensive form for employees to request various types of leave, including medical, family, and parental leave.
See template
See template
LEGACY BUDGET FORM TO LAGOV BUDGET FORM CROSSWALK
PDF template
A comprehensive mapping of legacy budget forms to new LaGov budget reporting forms and their corresponding sections and attachments.
See template
See template
Different Legal Forms
PDF template
A comprehensive guide comparing legal forms for non-profit and commercial projects in Switzerland, with a focus on associations.
See template
See template
2023 2024 Application Form SPA Robert Lemelson Foundation Student Fellowship
PDF template
Application form for graduate students seeking funding from the SPA and Robert Lemelson Foundation for research support.
See template
See template
LEP Budget Spending Procedures
PDF template
Comprehensive guide for student groups on budgeting, fund spending, procurement, and vendor management procedures.
See template
See template
Guidelines For Preparation Of Informed Consent Form
PDF template
Institutional guidelines for creating informed consent documents for research involving human subjects, including requirements for different age groups.
See template
See template
Florida International University Bidder Checklist
PDF template
A comprehensive checklist for potential bidders outlining key requirements and guidelines for submitting bids to Florida International University.
See template
See template
Personal Budget Form
PDF template
A comprehensive form for tracking monthly income, fixed expenses, and flexible expenses to help manage personal finances.
See template
See template
Linear Construction Project (LCP) Notification And Final Report Form
PDF template
A form for documenting and reporting linear construction projects involving multiple properties in New Jersey, including initial notification and final project details.
See template
See template
Linguistics Graduate Student Handbook 2024 2025
PDF template
Comprehensive guide for linguistics graduate students covering academic policies, funding, advising, and student resources at USC.
See template
See template
NOF.ORG Linking Request Form
PDF template
A form for requesting permission to include links to or from the National Osteoporosis Foundation (NOF) website.
See template
See template
Youth LIPOS Funding Discharge Form
PDF template
Form for documenting discharge and funding verification for youth psychiatric inpatient or partial hospitalization services without insurance coverage.
See template
See template
Management Or Operating Agreement
PDF template
Official form for documenting management or operating agreements for liquor licenses in Honolulu, Hawaii
See template
See template
Medical IncidentAccident Report
PDF template
A comprehensive form for documenting medical incidents or accidents, detailing injury specifics and first aid procedures.
See template
See template
UNall HR Service Requests
PDF template
Comprehensive listing of HR service requests and forms available to UN staff members for various administrative and personal actions.
See template
See template
Group Literature Order Form
PDF template
Order form for purchasing Narcotics Anonymous literature, books, pamphlets, and recovery materials
See template
See template
Greenville County Litter Pick Up Volunteer Safety Guidelines
PDF template
Guidelines and safety procedures for volunteers participating in a county-wide litter pickup event, outlining safety protocols and participant responsibilities.
See template
See template
Long Island Unitarian Universalist Fund Expense Budget Form
PDF template
A financial form for documenting program expenses and grant allocation for a Unitarian Universalist organization's project budget.
See template
See template
Long Island Unitarian Universalist Fund Income Budget Form
PDF template
A comprehensive budget form for tracking income sources, contributions, and grant funding for a non-profit organization's project or program.
See template
See template
Livestock Project Help Guide
PDF template
Guide for 4-H members on breeding livestock project requirements and nomination procedures for county fair participation.
See template
See template
Audit Report Form
PDF template
A comprehensive financial audit form for tracking and verifying PTA/PTSA financial records and transactions.
See template
See template
Project Request Form
PDF template
A comprehensive form for researchers to request microscopy and imaging services at Loma Linda University School of Medicine's Advanced Imaging and Microscopy Core Facility.
See template
See template
CPL Land Manager Review And Approval Form
PDF template
A form for land managers to review and approve conservation project applications, including project details, heritage features, and administrative review.
See template
See template
Application For Financial Assistance
PDF template
Comprehensive form for individuals seeking financial support for business purposes, collecting personal and business details.
See template
See template
Application For Financial Assistance
PDF template
Comprehensive application form for individuals seeking financial support for their business, collecting personal, business, and financial details.
See template
See template
Loan Application Package Checklist
PDF template
Comprehensive checklist for submitting a business loan application to the Franklin County Community Development Corporation (FCCDC)
See template
See template
Arizona Airport Development Loan Program Instructions And Application Forms
PDF template
A comprehensive guide for Arizona airports to apply for state development loans to improve airport infrastructure and facilities.
See template
See template
CONSTITUENCY DEVELOPMENT FUND LOAN APPLICATION FORM
PDF template
A loan application form for youth, women, and community groups seeking funding from the Constituency Development Fund.
See template
See template
Laptop Devise (LTD) And Hotspot Loaner Program Existing Damage Report Form
PDF template
A form for reporting damage or loss of school-issued laptop devices or hotspots by students.
See template
See template
Norcross Wildlife Foundation No Interest Loans For Land Conservation Program Application Guidelines
PDF template
Guidelines for non-profit organizations seeking no-interest loans for land conservation from the Norcross Wildlife Foundation, with specific requirements for loan applications and habitat preservation.
See template
See template
Employer Expense Report Form
PDF template
A form for employers to report expenses related to legislative lobbying activities in South Dakota.
See template
See template
Annual Lobbying And Expense Report
PDF template
A mandatory annual report for registered lobbyists in Nashville detailing lobbying activities and expenses for the previous calendar year.
See template
See template
LOBBYIST Expense Report
PDF template
An official form for reporting expenses related to lobbying activities in the South Dakota Legislature with specific guidelines for expense disclosure.
See template
See template
Local Church Funds Report
PDF template
Annual financial report detailing receipts, disbursements, and balances for various church funds and organizations.
See template
See template
City Of St. Petersburg City Council Meeting Guidelines
PDF template
Official guidelines and procedural instructions for attending and participating in St. Petersburg City Council meetings.
See template
See template
Local Professionalism Panel Report Form
PDF template
A reporting form for documenting local professionalism panel referrals and activities in Florida judicial circuits.
See template
See template
Lodge Transfer Request Form
PDF template
Form for requesting transfer of lodge membership to another location or lodge within Hermann Sons Life organization.
See template
See template
Lost Or Stolen British Passport Notification
PDF template
Official form for reporting a lost or stolen British passport when outside the United Kingdom.
See template
See template
Low Risk Level Supervision Report Form
PDF template
A comprehensive reporting form for individuals under low-risk probation or parole supervision in the State of Missouri, tracking personal, employment, and legal status.
See template
See template
Commitment And Disbursement Procedures For Local Program Administrators
PDF template
Procedural document for local program administrators seeking disbursement of state-funded community renewal grant funds from the Housing Trust Fund Corporation.
See template
See template
Introduction To LRP Project Status Reports
PDF template
A document explaining the purpose and structure of Long-Range Planning project status reports for state capital projects.
See template
See template
Introduction To LRP Project Status Reports
PDF template
A document explaining the purpose and structure of Long-Range Planning project status reports for state capital projects.
See template
See template
MEMBERSHIP APPLICATION
PDF template
A form for individuals to apply for membership with voting and non-voting options at different price points.
See template
See template
Leveraging State Investments In Creative Aging Grant Funding
PDF template
A grant application form for documenting projected income and expenses for creative aging projects with detailed financial categories.
See template
See template
Incident Report Form
PDF template
A comprehensive form for reporting healthcare facility incidents involving resident safety, injuries, or critical events.
See template
See template
LEVERHULME TRUST EARLY CAREER FELLOWSHIP APPLICATION FORM
PDF template
A comprehensive application form for researchers seeking an early career fellowship from the Leverhulme Trust, covering personal details, research proposal, and academic background.
See template
See template
CampCompetition Incident Report Form
PDF template
A comprehensive form for documenting incidents, accidents, or injuries occurring during camp or competition activities.
See template
See template
Match Day Incident Investigation Form
PDF template
A form for reporting and investigating incidents during lacrosse matches by Lacrosse Victoria officials.
See template
See template
Form M 1 Report For Multiple Employer Welfare Arrangements (MEWAs) And Certain Entities Claiming Exc
PDF template
A Department of Labor form for reporting multiple employer welfare arrangements and entities claiming exception to health coverage regulations.
See template
See template
Mount Athos Foundation Of America, Inc. Grant Application Form
PDF template
A comprehensive grant application form for non-profit organizations seeking funding support from the Mount Athos Foundation of America, Inc.
See template
See template
Workers Compensation Audit Report Form
PDF template
A detailed form for documenting payroll, employee information, and policy details for workers compensation insurance auditing purposes.
See template
See template
TAS Annual Auction Fundraiser Donation Form
PDF template
A fundraising donation form for the TAS Annual Auction, collecting item and donor information for catalog listing and auction purposes.
See template
See template
Project Approval Form
PDF template
A comprehensive form for documenting and obtaining approval for an academic or research project, including project details, manufacturing process, and required signatures.
See template
See template
Malpractice Payment Report Form For Insurance Companies
PDF template
Official form for reporting medical malpractice judgments and settlements in Alabama by insurance companies and healthcare entities.
See template
See template
MAMFA Studio Programs Application Form
PDF template
Application form for admission to graduate art programs at California State University, Fullerton with various concentration options.
See template
See template
Management Evaluation Form
PDF template
A comprehensive form for assessing an employee's professional performance across multiple competency areas.
See template
See template
MANAGEMENT AGREEMENT EXAMPLE
PDF template
A comprehensive management agreement outlining the professional relationship between an artist/band and their management company for entertainment industry activities.
See template
See template
Form SS 8572
PDF template
Official guidelines for mandated child abuse reporters detailing reporting responsibilities and procedures under California's Child Abuse and Neglect Reporting Act (CANRA).
See template
See template
Mandatory ADA Annual Report Form
PDF template
A mandatory annual reporting form for Louisiana state agencies to document ADA compliance, training, and employee accommodation requests.
See template
See template
Airport Maintenance And Operation Reimbursement Requests
PDF template
Instructions for submitting maintenance and operation expense reimbursement requests for state airports during fiscal years 2016 and 2017.
See template
See template
Clean Water Initiative Program Ecosystem Restoration Grant Application Manual, Appendix 3
PDF template
Detailed guide outlining project milestones, deliverables, and requirements for different types of ecosystem restoration projects.
See template
See template
Working With Projects
PDF template
A guide for creating, managing, and describing projects within the Ecotaxonomy system, including adding team members, organizations, and project details.
See template
See template
Current Employment Statistics (CES) Reporting Form
PDF template
U.S. Department of Labor form for businesses to report monthly employment statistics for statistical purposes.
See template
See template
Payroll Deduction Authorization Form
PDF template
Authorization form for payroll deductions to the SMC Management Association with monthly contribution options.
See template
See template
MAP POLICY AGREEMENT
PDF template
A policy establishing minimum advertising price requirements for Chef Works products to protect brand value and retail competition.
See template
See template
Marine Accident Report Form
PDF template
Comprehensive form for documenting marine accidents, incidents, and related details for submission to the Harbour Authority.
See template
See template
Guidelines For Completing The Exclusive Right To Sell Listing Agreement
PDF template
Instructional document providing guidance for real estate agents on completing a residential property listing agreement in North Carolina.
See template
See template
Guidelines For Completing The Offer To Purchase And ContractVacant LotLand
PDF template
Comprehensive guidelines for brokers and attorneys on completing a vacant lot/land purchase contract in North Carolina.
See template
See template
Investigation Response To Final Report Form
PDF template
A form outlining the process for finalizing an investigative report and providing response opportunities for involved parties.
See template
See template
ITP 1 Technology Governance And Procurement Review
PDF template
Defines the technology governance process and outlines requirements for technology procurement review at Marshall University.
See template
See template
Maryland Youth Camp Incident Report Form
PDF template
Official form for documenting incidents, injuries, or illnesses occurring at youth camps in Maryland.
See template
See template
Massachusetts 4 H Board Volunteer Application Form
PDF template
Comprehensive application form for potential volunteers interested in joining the Massachusetts 4-H youth development program.
See template
See template
Master Investment Management Agreement
PDF template
A legal agreement governing investment management services between Texas Methodist Foundation and an eligible investor, detailing investment portfolio management and terms.
See template
See template
Masters Project Approval Form
PDF template
A form documenting the approval of a master's degree project by a graduate committee.
See template
See template
Budget Form
PDF template
A document for listing and detailing expected expenditures for potential reimbursement.
See template
See template
Misconduct, Match And Incident Report Form
PDF template
A form used to document misconduct, match penalties, and incidents during a sporting event, typically for ringette leagues in British Columbia.
See template
See template
MATERIAL DELIVERY FORM
PDF template
A form for tracking material order dates, lead times, and delivery schedules for construction projects.
See template
See template
Incident Report Form Template
PDF template
A standardized form for documenting and reporting incidents involving individuals, with details about the event, participants, and follow-up actions.
See template
See template
University Of North Carolina School Of The Arts Expenditure Guidelines
PDF template
A comprehensive matrix providing guidance on payment methods and expenditure rules for various transaction types at the University of North Carolina School of the Arts.
See template
See template
Incident Report Form
PDF template
A comprehensive form for documenting workplace emergencies including spills, fires, and property damage at collection sites.
See template
See template
Incident Report Form
PDF template
A comprehensive form for reporting emergencies including spills, fires, and property damage at collection sites.
See template
See template
Internship Application Form
PDF template
Application form for internship opportunities with the Michigan Coalition Against Homelessness (MCAH) across various program areas.
See template
See template
MCA Lease Agreement
PDF template
Lease agreement for renting the Brick City Center for the Arts facility in Ocala, Florida, operated by Marion Cultural Alliance.
See template
See template
McCoy Fellowship Of Excellence
PDF template
Fellowship program for promising master's students in the McCoy College of Business Administration with financial support and academic requirements.
See template
See template
Exhibitor Appointed Contractors (EACs)Third Party Contractor Guidelines
PDF template
Guidelines for using third-party contractors at the MC2020 event, including requirements for insurance and contractor approval.
See template
See template
Minnesota Common Grant Application Form
PDF template
A standardized grant application form developed by Minnesota grantmakers to simplify the grantseeking process for nonprofit organizations.
See template
See template
Complaint Processing Guidelines For Completing The Complaint Information Form (CIF)
PDF template
Guidelines for filing discrimination complaints with the Mississippi Department of Employment Security and Civil Rights Center.
See template
See template
Meal Reimbursement Policy
PDF template
Comprehensive policy detailing meal expense reimbursement rules for employees traveling with or without students on college business.
See template
See template
Media Inquiry Form
PDF template
A form for media representatives to submit inquiries to the Office of Inspector General regarding specific audits or topics.
See template
See template
2021 2022 Media Release Form
PDF template
A legal form granting permission for The Arc Allegany-Steuben to use an individual's image, name, and personal testimony for promotional purposes.
See template
See template
Medical Incident Report
PDF template
A comprehensive form for documenting medical incidents and patient health status during flight.
See template
See template
MIT Student Medical Report Form 20242025
PDF template
Medical report form for new and returning MIT students requiring health documentation, immunization records, and medical screening information.
See template
See template
Miami East Education Foundation School Personnel Grant
PDF template
A grant program by the Miami East Education Foundation to support special educational projects proposed by school personnel.
See template
See template
Longwood University Campus Recreation Member Handbook
PDF template
A comprehensive guide for members of Longwood University's Campus Recreation facilities, detailing policies, rules, and usage guidelines.
See template
See template
Member Proposed Motion Submission Form Instructions
PDF template
Instructions for CFPC members to submit motions for consideration at the Annual Meeting of Members, including submission requirements and restrictions.
See template
See template
2024 Membership Form
PDF template
Registration form for youth membership at the Wright City Unit of the Boys & Girls Club, collecting demographic, family, and financial information.
See template
See template
Membership Form
PDF template
A membership form for a non-profit environmental education organization offering various membership levels and donation options.
See template
See template
Apollos University Alumni Association Membership Form
PDF template
Membership form for Apollos University Alumni Association, offering various membership levels and networking opportunities for graduates.
See template
See template
Membership Form
PDF template
Membership application for joining the Oral History Association with various membership levels and optional journal access.
See template
See template
Member Travel Policy And Procedures
PDF template
Policy document outlining travel expense guidelines and reimbursement procedures for National Association of REALTORS members.
See template
See template
Presbyterian Mental Health Ministry Grant Program Application Form
PDF template
A grant application for Presbyterian organizations seeking funding to support mental health ministry initiatives and awareness programs.
See template
See template
Presbyterian Mental Health Ministry Grant Program Application Form
PDF template
A grant application form for Presbyterian organizations seeking funding to support mental health ministry initiatives and reduce mental health stigma.
See template
See template