Turn your PDF into an API-fillable template in seconds. No signup required.
Try it now
Turn your PDF into an
API-fillable template in
seconds
Upload any PDF to see Anvil's Document AI in action. No signup required.
Products
Workflows
Automate complex document processes
Etch E-sign
Embed white-labeled e-signatures
PDF Services
Fill PDFs with collected or stored data
Webforms
Collect data with mobile-friendly webforms
Document AI
Faster way to build workflows
OCR Service
Extract data from any document
Industries
Insurance
Rate, quote, and bind faster
Human resources
Automate onboarding documents
Real estate
Secure workflows for buying, selling, renting
Healthcare
Launch HIPAA compliant document workflows
Finance
Automate documents for financial products
Case studies
Learn how businesses have grown with Anvil
Resources
Form library
Ship faster with pre-made form templates
Blog
New features, industry news, customer stories
Help center
Step-by-step guides for using Anvil
PDF Costs Calculator
Calculate your company's document costs
Features
Overview of all Anvil features
Merch store
Order an Anvil hat
Developers
Get started
A quick introduction to building with Anvil
Documentation
Learn how to build Anvil into your product
API reference
GraphQL types, queries, & more
Product updates
New features & app improvements
Open source
Pre-written clients to simplify development
Engineering blog
Technical topics, how-tos, & more
Pricing
Try it free
Get a demo
Products
Industries
Resources
Developers
Pricing
Login
Try it free
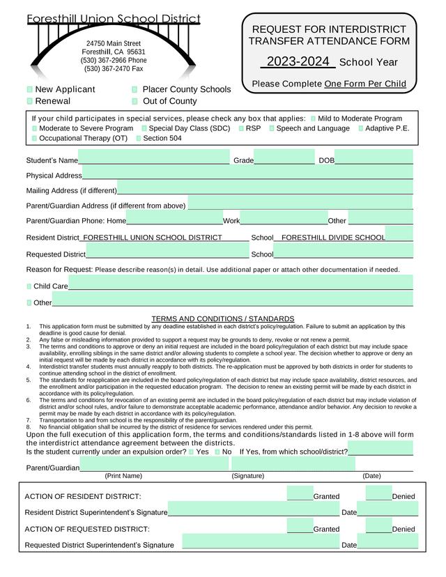
CHEJS Small Grants Program 2024 Round 2 (Part 3 Budget Form)
One API call is all it takes. Free to use.
Fill it over API
Download fillable PDF
AI-generated
4.8 Stars
A comprehensive budget form for organizations applying for CHEJ's small grants program, detailing project expenses and revenue sources.
Fill over API
Get it e-signed
Build document flow
Fill out your PDF over API
Send JSON, fill PDF
. It's that simple.
Fast and scalable PDF filling.
Quick
AI-assisted
template setup.
Get started for free
Get your PDF filled and signed
Request e-signatures over
API
.
Save time (& sanity) with
Document AI
.
Style
&
embed
e-sign into your application.
Get started for free
Automate your document flows
Generate
production-ready Webforms
from PDFs in seconds.
Collect reusable, structured data.
Customize document workflows without code.
Get started for free
Integrate with
Build Zapier workflows to automate paperwork processes end-to-end with Anvil.Â
Learn more
.
You can:
Fill a PDF
Setup an Anvil Workflow trigger
Start & pre-fill an Anvil Workflow
Create a link to an Anvil submission
See other related forms
Form 10 Q
PDF template
Quarterly financial report filed with the U.S. Securities and Exchange Commission for the period ended June 30, 2023.
See template
See template
Trust Company Regulation
PDF template
Overview of trust company regulations, jurisdiction, and legal requirements in Utah for state and national trust institutions.
See template
See template
Motions To Approve DOT, Debt, Cap Imp, Cap Dev, And Req For Approp
PDF template
Legislative motions for budget approvals related to transportation, debt service, and capital improvements for fiscal years 2014 and 2015.
See template
See template
SCHEDULE 14A PROXY STATEMENT
PDF template
Official SEC filing for BlackRock Direct Lending Corp's proxy statement, providing details for shareholder communication and voting purposes.
See template
See template
Form 8 K
PDF template
SEC Form 8-K filing by OpGen, Inc. reporting current business events or changes
See template
See template
Form 8 K
PDF template
Securities and Exchange Commission filing providing current report for CytoDyn Inc.
See template
See template
SERVICESSUPPLIESEQUIPMENT REQUISITION (Form 003)
PDF template
A detailed form for requesting and approving purchases of services, supplies, or equipment within an organization.
See template
See template
Certificate Of Authority Application
PDF template
Application for obtaining or transferring a business certificate of authority with details about the company and its organizational structure.
See template
See template
Macao SAR Temporary Residency Application Form
PDF template
Official form for applying for or renewing temporary residency in Macao Special Administrative Region (SAR)
See template
See template
Form 8 K
PDF template
Securities and Exchange Commission filing providing current report information for SolarWinds Corporation
See template
See template
Corporation Forms
PDF template
A comprehensive listing of official nonprofit corporation forms used in Iowa for various corporate and trademark-related purposes.
See template
See template
190 Employee Expenses Policy
PDF template
Policy outlining guidelines for employee expense reimbursement for travel and business-related expenses at the college.
See template
See template
Common Child And Adolescent Psychiatry Application
PDF template
Application instructions and form for medical professionals seeking Child and Adolescent Psychiatry (CAP) training fellowship.
See template
See template
PEDIDO DE VISTO (Visa Application Form)
PDF template
Official government form for applying for tourist or transit visas to enter Timor-Leste, with sections for personal identification, travel document details, and purpose of travel.
See template
See template
Equitable Sharing Agreement And Certification Form
PDF template
Guide for law enforcement agencies regarding the annual Equitable Sharing Agreement and Certification form, detailing Version 3.0 changes and submission requirements.
See template
See template
Travel Policy
PDF template
Policy establishing regulations and procedures for authorized travel and reimbursement for Leon County officials, employees, and authorized persons.
See template
See template
RESEARCH PROPOSAL FORM FOR MASTER PROGRAM APPLICATION
PDF template
A comprehensive form for master's degree applicants to submit their research proposal details and personal information at Walailak University.
See template
See template
Navajo Nation Trip Report
PDF template
Official travel document for reporting trip details, expenses, and purpose of travel within the Navajo Nation.
See template
See template
Travel Policy Guidelines
PDF template
Policy defining travel authorization, approval process, and expense reimbursement for Niagara Frontier Transportation Authority employees and commissioners.
See template
See template
Recreational Trails Program Reimbursement Request Guide
PDF template
Guide for submitting reimbursement requests for the Virginia Department of Conservation and Recreation's Recreational Trails Program.
See template
See template
FINAL PROPOSAL AND BUDGET APPROVAL FORM
PDF template
A form requiring multi-level signatures for final approval of a proposal and its associated budget at Columbia State.
See template
See template
Initiate Grant Proposal Form
PDF template
A form used by faculty and staff to request authorization and submit details for a potential grant project at Columbia State.
See template
See template
Racing And Gaming Commission Forms
PDF template
Detailed guidelines for license application forms for racing, gambling, and excursion gambling boat operations in Iowa.
See template
See template
UFSS Travel Approval And Hospitality Procedures
PDF template
Updated procedures for employee travel approvals, relocation payments, and hospitality expenses including meal and alcohol limits.
See template
See template
VOLUNTEER FIRE DEPARTMENT OF SEYMOUR, INC MEMBERSHIP APPLICATION
PDF template
Comprehensive application form for individuals seeking to join the Volunteer Fire Department of Seymour as a firefighter or emergency medical service member.
See template
See template
Small Capital Projects Request Form
PDF template
A form for submitting small capital project requests for the Puyallup School District, detailing project needs and funding sources.
See template
See template
Stakeholder Feedback Form Implementation Of American Rescue Plan Act Of 2021 Section 9817
PDF template
Form seeking stakeholder input on proposed spending of additional federal funding for Home and Community-Based Services during the COVID-19 emergency.
See template
See template
General Personnel Expenses
PDF template
Policy governing employee expense reimbursement, advancement, and purchase order procedures for the South Eastern Special Education District.
See template
See template
560 Expenses
PDF template
A detailed policy governing employee travel, meal, and lodging expense reimbursement, including guidelines for advancements and documentation requirements.
See template
See template
Chapter 609a Credit Regulations
PDF template
Comprehensive regulations governing credit procedures, issuance, and management in casino settings.
See template
See template
GAPIII CONTAINMENT CERTIFICATION AUDITOR APPLICATION FORM
PDF template
Application form for lead auditors and auditors seeking certification for GAP Containment Certification Scheme involving poliovirus-essential facilities.
See template
See template
PNST Application Form 2025
PDF template
Application form for post-graduate study on Nano-Satellite Technologies, offering master's and doctoral fellowships through the UN/Japan program.
See template
See template
Policy Loan Agreement Form
PDF template
A comprehensive form for requesting a loan against a life insurance policy with personal and banking details collection
See template
See template
CHARLOTTE DOUGLAS INTERNATIONAL AIRPORT AIRPORT ADVISORY COMMITTEE DRAFT Minutes
PDF template
Draft minutes from Charlotte Douglas International Airport Advisory Committee meeting discussing airport grant acceptance and runway project funding.
See template
See template
Travel Expense Reimbursement Form
PDF template
A form for documenting and calculating travel-related expenses for an employee attending a professional conference.
See template
See template
Application Form For Authority To Provide Competitive Local Exchange Telecommunications Company Serv
PDF template
Application form for obtaining a certificate to provide local exchange telecommunications services in Florida or transferring an existing certificate.
See template
See template
Contracts And Grants Audit Report 07 17
PDF template
An audit report examining contracts, grants, financial management, and regulatory compliance at California State University, Dominguez Hills
See template
See template
VOLUNTEER CHAPLAIN APPLICATION PACKET
PDF template
Application document for volunteer chaplains who will provide emotional and spiritual support during disaster relief efforts.
See template
See template
Jansen Volunteer Application Form
PDF template
A comprehensive application form for individuals interested in becoming volunteers with Jansen Hospice and Palliative Care program.
See template
See template
FY 2012 Budgets Universities, Special Schools, Iowa Public Radio, Board Office
PDF template
Annual budget document detailing fiscal year 2012 budgets for Iowa's public universities, special schools, and related entities.
See template
See template
2024 VOLUNTEER APPLICATION
PDF template
Application process for potential summer volunteers at Carroll Community College's Kids@Carroll program for students aged 14 and older.
See template
See template
Udall Foundation 2014 Native American Congressional Internship Application
PDF template
Application form for the Udall Foundation's Native American Congressional Internship program for 2014, detailing requirements and submission guidelines.
See template
See template
AN ACT Concerning Regulation
PDF template
Illinois state legislation regulating savings promotion raffles for state banks and savings banks, defining rules and oversight for conducting such promotions.
See template
See template
Graduate Graduation Application Form
PDF template
Application form for graduate students completing their degree at Hofstra University, outlining graduation requirements and submission process.
See template
See template
Developmental Disabilities Resource Board Capital Funding Policy
PDF template
Policy outlining capital funding categories, reimbursement limits, and funding criteria for organizations serving individuals with developmental disabilities.
See template
See template
Form 8 K
PDF template
Current report filed by Red Trail Energy, LLC with the SEC, detailing significant corporate events or changes.
See template
See template
Form 10 KA (Amendment No. 1)
PDF template
Annual report filed with the U.S. Securities and Exchange Commission for the fiscal year ended December 31, 2023.
See template
See template
Uniform Residential Loan Application
PDF template
Standardized residential loan application form used by Freddie Mac and Fannie Mae for mortgage lending purposes.
See template
See template
DoD Financial Management Regulation Volume 10, Chapter 6
PDF template
Department of Defense financial management regulation chapter covering tax policies, exemptions, and administrative procedures related to federal taxation.
See template
See template
DoD Financial Management Regulation Volume 10, Chapter 6
PDF template
Department of Defense comprehensive guidelines for managing tax reporting and payment responsibilities across federal, state, local, and foreign jurisdictions.
See template
See template
Highland Rim Economic Corporation Procurement Form
PDF template
A form for documenting and obtaining approvals for organizational purchases at various spending levels.
See template
See template
DoD Financial Management Regulation Volume 10, Chapter 10
PDF template
Department of Defense guidelines for intragovernmental payments and transfer vouchers between appropriations and funds.
See template
See template
ECS Standard Travel Form
PDF template
A travel expense reimbursement document for consultants detailing travel expenses, mileage, and related costs for official business travel.
See template
See template
NSERC SSHRC Sustainable Agriculture Research Initiative Instructions For Completing An Application
PDF template
Comprehensive guidelines for submitting research grant applications through NSERC's Alliance grants program for sustainable agriculture research.
See template
See template
Volunteer Application Form (General)
PDF template
Application form for individuals interested in volunteering at the Bartlett Community Center and Park District programs.
See template
See template
Expense Reimbursement Policy
PDF template
Policy detailing conditions and guidelines for reimbursing individuals for expenses related to Arizona Swimming business and programs.
See template
See template
Paul Harris Fellow Recognition Transfer Request Form
PDF template
A form for transferring Paul Harris Fellow recognition points between Rotary Foundation members or clubs.
See template
See template
SUPPLEMENTAL APPLICATION FORM
PDF template
A comprehensive form for collecting detailed business ownership and identification information for state registration purposes.
See template
See template
Monthly Grant Funding (MGF) Payment Inquiry Form
PDF template
A form used by community partner clinics to inquire about missing monthly grant funding payments for enrolled participants.
See template
See template
LLC Partnership Preparation Checklist And Questionnaire
PDF template
A comprehensive tax year questionnaire for documenting changes and key information for an LLC partnership's tax preparation
See template
See template
1098 T Tax Form
PDF template
A tax form reporting qualified education transactions and expenses for students to help determine potential tax credits.
See template
See template
MSMUJTC Inquiry Form Onsite Program
PDF template
Comprehensive form for prospective students to provide academic, personal, and professional background information for an onsite educational program.
See template
See template
10 Minute Audit Form
PDF template
A financial form for quickly reconciling bank account balances and tracking annual income and expenses.
See template
See template
Form 10 Q
PDF template
Quarterly financial report filed with the Securities and Exchange Commission for the period ended June 30, 2020.
See template
See template
10 Reasons To Adopt E Signature At Your Nonprofit
PDF template
An eBook exploring how e-signature technology can help nonprofits improve efficiency, reduce costs, and enhance document processes.
See template
See template
Personal Automobile Reimbursement Request
PDF template
Form for employees to request reimbursement for personal vehicle use during business activities.
See template
See template
Children In Court Improvement Subgrant Proposal Application
PDF template
A comprehensive application for subgrants aimed at improving child welfare court proceedings and outcomes in New Jersey.
See template
See template
General Grant Application Form
PDF template
A comprehensive form for organizations to request grant funding from the Minnesota Association of Professional Employees.
See template
See template
ASM 115 Adult Services Requirements
PDF template
Guidelines for processing Home Help services applications for adult clients in Michigan, including application requirements and signature protocols.
See template
See template
New Jersey Lawyers Fund For Client Protection Statement Of Claim
PDF template
A legal form for filing a claim against an attorney for financial misconduct or loss in New Jersey.
See template
See template
DoD 7000.14 R Financial Management Regulation
PDF template
Department of Defense financial management regulation chapter covering Economy Act orders and related acquisition policies.
See template
See template
School Volunteer Application Form
PDF template
Application form for individuals seeking to volunteer in school district, requiring background check and personal information.
See template
See template
Expense Reimbursements (Travel, Seminars, Conferences, Miscellaneous Expenditures)
PDF template
Policy detailing procedures for reimbursing employees and board members for travel, conference, and training expenses in compliance with IRS regulations.
See template
See template
Camp Kaniksu Volunteer Application
PDF template
Comprehensive application form for individuals seeking to volunteer at Camp Kaniksu, a grief support camp for children.
See template
See template
1218.1.3f SUPPLIER APPLICATION FORM (HUB Form)
PDF template
Supplier registration form for vendors doing business with UNC, including contact and certification information.
See template
See template
Contracts Report 15,000
PDF template
Board of Education document approving contracts exceeding $15,000 for various district services and projects
See template
See template
Conditional Use Permit Application
PDF template
A municipal form for requesting a conditional use permit in Norfolk, Nebraska, detailing property use and zoning requirements.
See template
See template
Common Council Meeting Minutes, City Of Noblesville
PDF template
Official minutes of the Noblesville Common Council meeting held on June 9, 2009, documenting meeting proceedings, approvals, and mayor's report.
See template
See template
Volunteer Application Form
PDF template
A comprehensive application form for individuals seeking to volunteer within the Kingston City School District, requiring personal information, references, and background details.
See template
See template
Missing Receipt Affidavit
PDF template
A form used to document and certify a lost payment card transaction receipt when the original cannot be obtained.
See template
See template
DoD General Application Instructions
PDF template
Comprehensive instructions for applying to Congressionally Directed Medical Research Programs funding opportunities for extramural and intramural organizations.
See template
See template
Masisizane Fund (NPC) Partnership Agreement
PDF template
A legal document outlining the partnership terms and conditions between Masisizane Fund and another organization
See template
See template
MEMBERSHIP APPLICATION
PDF template
Application form for individuals to become members of South High Alumni & Friends, Inc., with options for membership duration and gift memberships.
See template
See template
Sanctuary Exploration Center Gift Shop Volunteer Description
PDF template
Volunteer position description and application form for the Sanctuary Exploration Center gift shop in Santa Cruz, California.
See template
See template
Form 133.15 Texas Crowdfunding Portal Registration
PDF template
Official registration form for Texas crowdfunding portals acting as intermediaries for intrastate crowdfunding transactions under SEC Rule 147A Offerings.
See template
See template
Statement Of Attendance Form For School Year
PDF template
A form for documenting student attendance and school details for grant payment purposes by the Department of Education in Ireland.
See template
See template
Official Form 106Sum Summary Of Your Assets And Liabilities And Certain Statistical Information
PDF template
Official bankruptcy form for summarizing an individual's financial assets, liabilities, income, and expenses
See template
See template
National Taipei University Application Form For Invention Patents Of Project Research Results By Fac
PDF template
A form for faculty and researchers at National Taipei University to apply for patents for their research project inventions.
See template
See template
Lifeworks Services, Inc. Reimbursement Form
PDF template
A form for submitting reimbursement requests for approved expenses within a specified budget and timeframe.
See template
See template
Travel And Expense Guidelines For Staff And Volunteers
PDF template
Guidelines for managing travel, transportation, and expense reimbursement for Unitarian Universalist Association staff and volunteers.
See template
See template
Form 1424 Refund Request
PDF template
Official government form for requesting a refund of visa application charges under specific circumstances by the Department of Home Affairs.
See template
See template
2012 Fellowship Application Form
PDF template
A comprehensive application form for nursing professionals seeking fellowship with the American Academy of Nursing in 2012.
See template
See template
Financial Declaration Form
PDF template
Legal document for financial disclosure in a marriage dissolution case, capturing personal and financial details of both parties.
See template
See template
Preliminary Funding Notification June 2004
PDF template
Funding allocation document for Ohlone Community College District's One-Stop Career Centers under the Workforce Investment Act (WIA) program for Program Year 2003-2005.
See template
See template
Credit Application
PDF template
A comprehensive credit application form for businesses seeking trade credit from Pacific Supply, detailing financial and contact information.
See template
See template
Form 15 0005 Parking Expense Reimbursement Form
PDF template
A form for employees to request reimbursement for parking expenses when alternative parking is required due to unavailable parking at the DTC.
See template
See template
Transferring Budget Authority Of A Project Based Section 8 Housing Assistance Payments Contract
PDF template
Official HUD notice providing guidance on transferring budget authority for project-based Section 8 housing assistance payments contracts.
See template
See template
Travel Expense Card Application 1505.1.1f
PDF template
Application form for obtaining a university travel and expense payment card with accountholder and departmental approval sections
See template
See template
CONTRACT PAYABLE APPROVAL FORM
PDF template
Official document used to process and approve vendor contracts with detailed financial and contractual information.
See template
See template
CapitalOperating Lease Agreement Approval Form
PDF template
A document used to obtain necessary approvals for leasing agreements, detailing lease terms and required signatures.
See template
See template
Province Park Dog Park Membership Pass Application Waiver
PDF template
Annual membership application and waiver for accessing the Province Park Dog Park with accompanying rules and requirements for dog owners.
See template
See template
Internship Application Form
PDF template
A comprehensive form for FDU Vancouver students to apply for academic internship placements, requiring multiple approvals and signatures.
See template
See template
Guidelines On Management And Use Of Grants Of Research Projects Funded By External Funding Bodies Ot
PDF template
A comprehensive guide for managing research project grants from external funding sources, covering project management, employment, purchasing, and reporting procedures.
See template
See template
Partnership Scenario Answer Key
PDF template
Evaluating a potential partnership between the Corps and Missouri Department of Conservation for joint land management, grants, and law enforcement
See template
See template
PHS Assignment Request Form
PDF template
A form for suggesting awarding component and study section assignments for NIH grant applications.
See template
See template
Youth Enterprise Revolving Fund Order Finance Loan Application Form
PDF template
A confidential loan application form for youth enterprises seeking order finance through the Youth Enterprise Revolving Fund
See template
See template
2021 Open Call Project Implementation Guide
PDF template
A comprehensive guide detailing project implementation timelines, requirements, and submission procedures for selected institutions participating in a 2021 open call project.
See template
See template
Payment Agreement Form
PDF template
A form for students to establish a monthly payment plan for outstanding balances with Grand Rapids Community College.
See template
See template
Monthly Professional Expense Reimbursement Form
PDF template
Form for physicians to submit monthly professional expenses for reimbursement, including travel, dues, and other business-related costs.
See template
See template
PATENT APPLICATION FORM
PDF template
A comprehensive form for submitting patent application details, including invention information, inventors' details, and potential commercial applications.
See template
See template
Monroe Circuit Court Financial Declaration Form
PDF template
Mandatory legal document for disclosing financial information in family law proceedings in Monroe County, Indiana.
See template
See template
Volunteer Application Form
PDF template
A comprehensive form for collecting personal information and volunteer interest from potential volunteers.
See template
See template
Form 8 K
PDF template
Securities and Exchange Commission filing providing current report for SilverSun Technologies, Inc.
See template
See template
ISA Grant Application Form For National Associations Activities
PDF template
Application form for sociology national associations to request grants for website development or regional conferences from the International Sociological Association (ISA).
See template
See template
1718 FORM Travel
PDF template
A form for submitting and documenting travel expenses for reimbursement by an organization.
See template
See template
8 K
PDF template
Company announcement of a regulatory filing with the US Securities and Exchange Commission by Allied Gaming & Entertainment Inc.
See template
See template
Expense Reimbursement Form
PDF template
A form for employees to document and request reimbursement for travel-related expenses including mileage, transportation, per diem, and miscellaneous expenses.
See template
See template
Form 8 K
PDF template
Securities and Exchange Commission filing by Lyft, Inc. reporting current business events and financial status.
See template
See template
Office Of Elections Business Process Audit Final Report
PDF template
An audit report examining procurement, reconciliation, and personnel/payroll administration processes within the Office of Elections.
See template
See template
Application For Group Term Insurance
PDF template
Insurance application form for group term life insurance policy from Insular Life Assurance Company
See template
See template
Grant Application Form For Project Objectives And Performance Measures Information
PDF template
A form for submitting project objectives and performance measures for grant applications to the U.S. Department of Education.
See template
See template
RIVERFRONT OVERLAY DISTRICT APPLICATION
PDF template
Application form for development or modifications within Norfolk's Riverfront Overlay District, covering property details and project specifics.
See template
See template
Lakshmir Bhandar Scheme Application Form
PDF template
An application form for the Government of West Bengal's Lakshmir Bhandar Scheme, collecting personal details of applicants.
See template
See template
INITIAL ENROLLMENT FORM
PDF template
A document used for initial enrollment purposes, likely for a program, service, or organization.
See template
See template
CREDIT APPLICATIONCUSTOMER AGREEMENT
PDF template
A credit application form for obtaining rentals, products, and services from Ahern Rentals, Inc. (ARI)
See template
See template
Form 8.9 Club Check Request Form
PDF template
A financial form used by 4-H clubs to request and document check issuance for club expenses with receipt requirements.
See template
See template
Clergy ID Application Form
PDF template
An application form for clergy members to obtain an official identification card with denominational and personal details.
See template
See template
Hinweise Fr PCT Anmelder
PDF template
Guidelines for international patent applicants regarding procedures and requirements for filing with the European Patent Office under the Patent Cooperation Treaty (PCT).
See template
See template
BLM Research Agreements Listing
PDF template
Compilation of research agreements between BLM and various universities for ecological and conservation projects.
See template
See template
Pre Apprenticeship Innovation Grant Application Form
PDF template
Application form for tuition assistance for pre-apprenticeship classes leading to Registered Apprenticeship programs at Hagerstown Community College.
See template
See template
St. John Neumann Regional Catholic School Application
PDF template
Comprehensive application instructions and requirements for student admission to St. John Neumann Regional Catholic School for Pre-K through 8th grade.
See template
See template
PROPOSAL FORMAT FOR REQUEST OF AFS RESEARCH FUNDS SPONSORING TECHNICAL COMMITTEEDIVISION FORM
PDF template
A structured form for requesting research funds from the American Foundry Society (AFS), outlining project details and research objectives.
See template
See template
Uniform Certificate Of Authority Application (UCAA) Primary Application Checklist
PDF template
A comprehensive checklist for insurers applying for a primary uniform certificate of authority, detailing required documentation and filing requirements.
See template
See template
CODE OF STATE REGULATIONS Travel Regulations
PDF template
Official guidelines for state employees and officials concerning travel expenses and reimbursement procedures for official state business.
See template
See template
DCP DSP Grant Proposal Submission Policies
PDF template
Policies and procedures for submitting research proposals and sponsored project documents at the University of Florida through the UFIRST system.
See template
See template
Buy To Let Application Form
PDF template
A mortgage application form for buy-to-let property investments, designed for intermediaries and mortgage advisers.
See template
See template
FCGP Guidelines (2020 21)
PDF template
Guidelines for organizations seeking funding through the Francophone Community Grants Program's Community and Culture Stream for the 2024-25 fiscal year.
See template
See template
Form 8 K Current Report
PDF template
Securities and Exchange Commission current report detailing a significant corporate event for 1st Franklin Financial Corporation
See template
See template
Texas Balance Of State Continuum Of Care HMIS Partnership Application
PDF template
Application for homeless service providers to partner with the Texas Balance of State Homeless Management Information System (HMIS) project.
See template
See template
1 Pre Audit Assistance Template
PDF template
A guide for fire departments to prepare documentation for a 1% audit by the South Carolina State Firefighters' Association.
See template
See template
Purchase Form For Easton Episcopal Fund
PDF template
A form for investors to purchase and invest money in the Easton Episcopal Fund by submitting personal and financial details.
See template
See template
Form 10 Q
PDF template
Quarterly financial report filed by Amedisys, Inc. with the U.S. Securities and Exchange Commission for the period ended March 31, 2018.
See template
See template
2024 Southeast New England Program (SNEP) Watershed Implementation Grants Request For Proposals
PDF template
A funding opportunity for projects focused on improving water quality, ecosystem restoration, and climate resilience in Southeast New England
See template
See template
Tender For Procurement Of Adobe Acrobat Pro DC And Adobe Creative Cloud
PDF template
Tender document by Bank of Baroda for purchasing Adobe Acrobat Pro DC and Adobe Creative Cloud licenses for their Information Technology Department.
See template
See template
Volunteer Intern Application Form
PDF template
Application form for individuals seeking to volunteer or intern with Parenting Now, a community organization in Eugene, Oregon.
See template
See template
William Rainey Harper College Regular Board Meeting Agenda
PDF template
Agenda for a regular board meeting of William Rainey Harper College detailing meeting proceedings and items for approval and information
See template
See template
Update To Fiscal Policy Procedures Manual
PDF template
Memorandum providing update to fiscal policy manual regarding in-state travel expense reimbursement procedures for state employees.
See template
See template
City Of New Orleans Spending Freeze Purchase Form
PDF template
A form for documenting and obtaining approval for non-emergency purchases during a city spending freeze.
See template
See template
WSU Faculty Computer Purchase Exemption Petition
PDF template
Process for Wright State University faculty to request computer equipment that differs from standard university recommendations.
See template
See template
Lee County Port Authority Airports Special Management Committee Meeting Agenda
PDF template
Public meeting agenda for Lee County Port Authority Airports Special Management Committee discussing airport operations and grants
See template
See template
Shutesbury Capital Planning Committee Meeting Minutes
PDF template
Meeting minutes documenting discussions of capital budget requests, improvement plans, and committee proceedings.
See template
See template
Auction Procurement Form
PDF template
A form used to collect donation details for auction items for the Snohomish Education Foundation fundraising event.
See template
See template
Enhance Membership Application
PDF template
A comprehensive membership application form for environmental organizations, collecting detailed applicant and environmental permit information.
See template
See template
Internship Application
PDF template
A comprehensive form for students to apply for an academic internship, documenting personal, academic, and placement details.
See template
See template
Ongoing Project Form
PDF template
A comprehensive form for documenting and tracking ongoing research or development projects at the United Nations University.
See template
See template
Standardized Application For Pathology Fellowships
PDF template
A comprehensive application form for medical professionals seeking specialized fellowship training in various pathology subspecialties.
See template
See template
Ongoing Project Form
PDF template
A comprehensive form for documenting ongoing projects, detailing project summary, contributions, objectives, and other key aspects.
See template
See template
North Dakota Legislative Council Legislative Fiscal Internship Program
PDF template
A program for students to gain experience in legislative fiscal and budgetary tasks under the guidance of the Legislative Budget Analyst and Auditor.
See template
See template
School Capital Request Form (PA 097 0474 Requirement)
PDF template
Web-based form for self-assessment and capital request to comply with Public Act 097-0474 requirements for school facilities.
See template
See template
2013 STAND DOWN VOLUNTEER APPLICATION FORM
PDF template
Volunteer application form for a service event supporting veterans, with two shift options and various volunteer roles.
See template
See template
WEST BENGAL FINANCIAL CORPORATION LOAN APPLICATION FORM
PDF template
A comprehensive loan application form for businesses seeking financial assistance from West Bengal Financial Corporation.
See template
See template
Faculty Development Opportunities Handbook
PDF template
A comprehensive handbook outlining faculty development grants, opportunities, and procedures for Skidmore College faculty members.
See template
See template
Notice Of Funds Availability (NOFA) For Native American CDFI Assistance Program FY 2015 Funding Roun
PDF template
Federal funding opportunity for Community Development Financial Institutions serving Native American populations, offering financial and technical assistance grants.
See template
See template
Project Proposal Form
PDF template
A comprehensive form for tribal water utility projects seeking funding, requiring detailed utility and project information.
See template
See template
LIVE AUCTION PROCUREMENT FORM
PDF template
A form for collecting donation details for a live auction fundraising event hosted by JDRF.
See template
See template
MAPS Membership Form
PDF template
Membership form for organizational and individual levels of support for MAPS with various membership tiers and pricing
See template
See template
Pinewood Internship Application Form
PDF template
Application form for Pinewood junior and senior students seeking internship opportunities.
See template
See template
PATRIOTS THEATER RENTAL APPLICATION
PDF template
Application form for renting the Patriots Theater in Trenton, New Jersey, used for various performance and event types.
See template
See template
City Of Syracuse Travel Training Audit
PDF template
An audit examining travel expenses and documentation for City of Syracuse departments during fiscal year 2013.
See template
See template
APPLICATION FOR FINANCIAL ASSISTANCE OF Rs. LAKH UNDER LOAN AGAINST MORTGAGE OF PROPERTY LAMP
PDF template
A comprehensive application form for obtaining financial assistance through a loan secured by property mortgage, requiring detailed applicant and promoter information.
See template
See template
Application For National Visa
PDF template
Official document for applying for a national visa, collecting detailed personal information from the applicant.
See template
See template
Volunteer Fellowship Application Form
PDF template
Application form for individuals interested in volunteering with Chinese-American Community organization in New York
See template
See template
Resident Assistant (RA) Application Packet
PDF template
Application guidelines and requirements for becoming a Resident Assistant at Cooper Union for the 2015-2016 academic year.
See template
See template
Travel And Other Business Expense Report
PDF template
A comprehensive form for documenting and obtaining reimbursement for travel and business expenses incurred by HHMI employees and other travelers.
See template
See template
Traveler Expense Reimbursement Form
PDF template
A form for documenting travel expenses, reimbursements, and account distribution for Howard Hughes Medical Institute (HHMI) travelers.
See template
See template
Graduation Application Guide
PDF template
Comprehensive guide for students applying for graduation, detailing requirements, process, and important steps to complete degree requirements.
See template
See template
Travel Expense Reimbursement Form
PDF template
Form for submitting travel expenses and reimbursement details for Howard Hughes Medical Institute employees and non-employees
See template
See template
Faculty Development Grant Application Form
PDF template
Application form for faculty members seeking travel or research grants at the American University of Beirut
See template
See template
Reply Form For The Discussion Paper On Benchmarks Regulation
PDF template
A consultation response form for stakeholders to provide feedback on European Securities and Markets Authority's Discussion Paper on Benchmarks Regulation.
See template
See template
Reply Form For The Discussion Paper On Benchmarks Regulation
PDF template
A consultation response form by the European Securities and Markets Authority (ESMA) for collecting stakeholder input on benchmarks regulation.
See template
See template
Quaker Grantmakers Common Grant Application Form
PDF template
A standardized grant application form for organizations seeking funding from Quaker-affiliated granting organizations.
See template
See template
Board Of County Commissioners Board Meeting
PDF template
Official meeting minutes documenting county commission agenda items, including project approvals and proclamations.
See template
See template
Arizona State Cowbelles, Inc. Expense Report
PDF template
Form for submitting travel and business expenses for reimbursement by Arizona State Cowbelles, Inc.
See template
See template
Volunteer Activities Form
PDF template
A form for individuals interested in volunteering with FFL, offering multiple opportunities for involvement in curriculum development and organizational activities.
See template
See template
2016 Summer Aid Application
PDF template
Guidelines for undergraduate, graduate, and law students seeking summer session financial aid and loan eligibility for Summer 2016.
See template
See template
Volunteer Application Form
PDF template
A comprehensive form for individuals interested in volunteering at the Shelton House, collecting personal information and volunteer preferences.
See template
See template
Field Of Interest Non Endowment Fund Agreement
PDF template
Agreement establishing a non-endowment charitable fund with The Alaska Community Foundation for philanthropic purposes.
See template
See template
Independent Researcher Agreement Application
PDF template
Application form for external researchers seeking to participate in research projects at CUNY universities
See template
See template
Annual Report To The California Children And Families Commission
PDF template
Annual financial and program report for Kern County's Children and Families Commission covering fiscal year 2017-2018
See template
See template
2017 Auction Donation Procurement Form
PDF template
Form for collecting donation items and donor information for a non-profit organization's annual auction fundraiser.
See template
See template
BUSINESS CREDIT APPLICATION FORM
PDF template
A comprehensive credit application form for businesses seeking to establish credit terms with a company
See template
See template
FSH SOCIETY, INC. RESEARCH AND POSTDOCTORAL FELLOWSHIP APPLICATION
PDF template
Application form for research and postdoctoral fellowship funding from the FSH Society, Inc.
See template
See template
IZAAK WALTON LEAGUE OF AMERICA ENDOWMENT GRANTLOAN APPLICATION
PDF template
A comprehensive form for applying for grants or loans through the Izaak Walton League of America Endowment program.
See template
See template
Neuroengineering IGERT Fellowship Application Form
PDF template
Comprehensive fellowship application form for graduate students applying to the Neuroengineering Integrative Graduate Education and Research Traineeship program.
See template
See template
Marwood Group Co. USA, LLC Internship Application Form
PDF template
Application form for internship opportunities at Marwood Group in healthcare and finance consulting with positions in New York and Washington D.C. offices.
See template
See template
Gateway Greening Volunteer Form
PDF template
Comprehensive form for individuals interested in volunteering with Gateway Greening, collecting personal and background information.
See template
See template
Membership Form
PDF template
Comprehensive membership form for the American Choral Directors Association with multiple membership categories and payment options.
See template
See template
GODDARD SKI CLUB MEMBERSHIP APPLICATION
PDF template
Application for membership to the Goddard Ski Club, including personal information, membership type, and liability waiver.
See template
See template
AAA School Safety Patrol Advancement Grant Application 2018 2019
PDF template
A grant application for schools with existing AAA School Safety Patrol programs to expand and enhance their student safety initiatives.
See template
See template
2018 2019 NC Pre K Child Application Submission Form
PDF template
A form for submitting child applications for the NC Pre-K program by a non-profit organization.
See template
See template
GRADUATE FELLOWSHIP APPLICATION FORM
PDF template
Application form for graduate students seeking fellowship stipend awards at the University of Nebraska
See template
See template
HOME REHABILITATION PROGRAM APPLICATION
PDF template
A comprehensive application form for individuals seeking home rehabilitation assistance, collecting applicant, co-applicant, and household information.
See template
See template
Austin Housing Coalition Membership FormInvoice
PDF template
A membership form for nonprofit organizations, businesses, and individuals interested in supporting affordable housing in Austin, Texas.
See template
See template
Northfield Christian Fellowship Midwest Church Camp Scholarship Form
PDF template
A scholarship program offering $150 to help families attend Midwest Camp for campers ages 6 through college age
See template
See template
2018 Membership Form
PDF template
Annual membership form for the Flora Community Club, allowing individuals and businesses to join local community activities and events.
See template
See template
Expense Reimbursement Form
PDF template
A form for submitting and requesting reimbursement for travel-related expenses for an ALI conference or meeting.
See template
See template
2018 Fellowship Application Form
PDF template
Application form for a fellowship with the J. Willard Marriott Library Special Collections at the University of Utah.
See template
See template
Sydney Dogs And Cats Home Event Ticket Purchase Form
PDF template
A ticket purchase and donation form for an event hosted by Sydney Dogs and Cats Home, allowing multiple payment options.
See template
See template
KENMORE MIDDLE SCHOOL FITNESS CLOTHES PURCHASE FORM
PDF template
A form for Kenmore Middle School students to purchase physical education clothing and accessories.
See template
See template
Membership Form
PDF template
Membership form for supporting a non-profit organization dedicated to preserving Nevada's mining history and heritage.
See template
See template
2018 MSA Internships Department Experience Application Form
PDF template
Application form for internship and department experience opportunities with the Monash Student Association (MSA) in 2018.
See template
See template
Outside (Non Central) Scholarship Form
PDF template
Form for students to report anticipated outside scholarships to Central College's Financial Aid Office for proper account application.
See template
See template
Regional Conservation Partnership Program Announcement
PDF template
Announcement for the USDA's Regional Conservation Partnership Program funding opportunity for Fiscal Year 2018.
See template
See template
Free Milkweed For Schools And NonProfits Application
PDF template
A program offering free milkweed plants to schools and non-profit organizations to support monarch butterfly and pollinator conservation efforts.
See template
See template
A Celebration In The Country Sponsorship Form
PDF template
Sponsorship form for a fundraising event with multiple sponsorship levels and benefits for supporting River Fields.
See template
See template
Volunteer Information Board Member Application Form
PDF template
Application form for individuals interested in volunteering or joining the board of the Rondout Valley Education Foundation
See template
See template
Central Billing Office Application
PDF template
Application form for healthcare providers to register with the Illinois Department of Human Services for billing purposes.
See template
See template
Brucebo Fine Art Summer Residency Application Form
PDF template
Application form for Concordia University's Fine Arts Summer Residency program at Brucebo, detailing submission requirements for artists.
See template
See template
Community Impact Arts Grant 2019 20 Invoice Form
PDF template
A form for requesting payment for services as a panelist in the Los Angeles County Arts Commission's Community Impact Arts Grant program.
See template
See template
Project ECHO Thrift Gift Shop Volunteer Information
PDF template
Form for collecting volunteer contact and availability information for a local thrift shop.
See template
See template
Donation Procurement Form
PDF template
Form for collecting and processing donations for the Impact on Education Gala event
See template
See template
Volunteer Application
PDF template
Comprehensive application form for individuals aged 15 and older interested in volunteering at Palm of Pasadena hospital.
See template
See template
2019 Sponsor Procurement Form
PDF template
Sponsorship and donation form for the 5th Annual Taking Flight Gala Dinner & Auction benefiting Edmonds Senior Center
See template
See template
Journey To Justice TahirihS 22nd Annual Gala Sponsorship Form
PDF template
Donation and registration form for Tahirih Justice Center's annual gala supporting women and girls fleeing violence
See template
See template
STATE OF MINNESOTA CHARITABLE ORGANIZATION ANNUAL REPORT FORM
PDF template
Annual report form for charitable organizations registered in Minnesota, detailing organizational information and financial contributions.
See template
See template
Washington County Local Share Account Application Information
PDF template
Application process for economic development grants funded by gaming revenues in Washington County, Pennsylvania
See template
See template
MARWOOD GROUP CO. USA, LLC INTERNSHIP APPLICATION FORM
PDF template
Application form for internship opportunities at Marwood Group in healthcare and financial consulting
See template
See template
YWCA High Point Membership Form
PDF template
Membership registration form for YWCA High Point with liability and photo release sections
See template
See template
Fee Invoice For NAFCC Accreditation
PDF template
Form for family child care programs to request funding and processing for NAFCC accreditation through Maine Roads to Quality Professional Development Network.
See template
See template
Wake Forest College Birthplace Society Membership Form
PDF template
Invitation to join and support the Wake Forest Historical Museum as a member, with various membership levels and donation options.
See template
See template
RENTAL APPLICATION LIHTC AFFORDABLE COMMUNITIES
PDF template
A rental application for an affordable housing property with specific instructions for applicants and non-discrimination policy.
See template
See template
Form 990 Return Of Organization Exempt From Income Tax
PDF template
Annual tax return for tax-exempt organizations reporting financial information to the Internal Revenue Service.
See template
See template
James Madison College 2019 Faculty Retreat
PDF template
A comprehensive overview of college administrative policies, staff assignments, travel procedures, and funding resources for faculty.
See template
See template
Sports In Schools Gala Auction Procurement Form
PDF template
A form for donors to provide details about their auction item donation for the Sports in Schools fundraising event.
See template
See template
Student Application Form
PDF template
Comprehensive application form for students seeking admission to Catholic schools in British Columbia, Canada.
See template
See template
STUDENT APPLICATION FORM
PDF template
Application form for students seeking admission to Island Catholic Schools in British Columbia, Canada.
See template
See template
Family Service Kent Volunteer Application
PDF template
Application form for individuals interested in volunteering at Family Service Kent, requiring personal information and criminal background check.
See template
See template
CRCOG Complete Streets Compliance Form
PDF template
A form for municipalities to document compliance or exceptions to Complete Streets design principles when seeking project funding.
See template
See template
Federal Register Vol. 85, No. 17
PDF template
Notice about cooperative agreements to assist US citizens and permanent residents who are victims of severe human trafficking.
See template
See template
Volunteer Time Off Policy
PDF template
A policy outlining guidelines for employees to take paid time off for volunteering with nonprofit organizations, with specific eligibility and usage rules.
See template
See template
Sponsored Research Activities And Procedures
PDF template
A document outlining key activities, forms, and procedures for managing sponsored research projects and grants.
See template
See template
General Volunteer Form
PDF template
A comprehensive form for individuals interested in volunteering at Ability360 Sports & Fitness Center, collecting personal information, availability, and preferences
See template
See template
Vital Strategies Healthy Food Policy Fellowship Application Form
PDF template
An application form for a fellowship program focused on contributing to healthier food environments in specific countries.
See template
See template
ChurchOrganization Loan Application Form
PDF template
A loan application form for churches seeking financial assistance from the Baptist Missionary Association of Mississippi's Revolving Loan Fund Department.
See template
See template
FY 2020 2021 Alamance County Outside Agency Funding Application
PDF template
Application for non-profit agencies seeking financial assistance from Alamance County for community programs and resources.
See template
See template
Outside Private Scholarship Guide
PDF template
A form for students to report outside private scholarships received or expected to receive for financial aid processing
See template
See template
Regina Pride Inc Membership Form
PDF template
Membership registration document for Regina Pride Inc during the 2020-2021 festival year, with optional fee waiver.
See template
See template
2020 2021 Membership Form
PDF template
Membership form for joining Women in Philanthropy & Leadership of Brunswick at Brunswick Community College Foundation.
See template
See template
Indiana Housing And Community Development Authority Donor Contribution Form
PDF template
A form for donors to claim tax credits for contributions to Neighborhood Assistance Program (NAP) organizations in Indiana.
See template
See template
Canada Germany Digital Media Incentive Guidelines
PDF template
A joint funding program between Canada Media Fund and Medienboard Berlin-Brandenburg to support co-development and co-production of digital media projects.
See template
See template
Volunteer Information
PDF template
Volunteer application form for collecting personal and availability information for potential volunteers at a thrift shop.
See template
See template
2020 Critical Language Scholarship Program Application Form
PDF template
Application form for the Critical Language Scholarship Program, designed for students seeking language study opportunities abroad.
See template
See template
OMEGA LOAN APPLICATION CHECKLIST
PDF template
Comprehensive checklist of documents and information required for submitting a loan application to OMEGA.
See template
See template
2020 COMMUNITY GRANT Application Form And Project Summary
PDF template
A grant opportunity for non-profit community groups in San Diego County to fund projects that enhance community awareness of landscape architecture and provide community benefits.
See template
See template
OMEGA EDA RLF CARES ACT LOAN APPLICATION CHECKLIST
PDF template
Comprehensive checklist for loan applicants seeking funding through OMEGA's Economic Development Administration RLF program under the CARES Act.
See template
See template
Application For Admission Elementary Educator Preparation Program
PDF template
Application and checklist for admission to the educator preparation program at Texas A&M University-Kingsville for elementary education candidates.
See template
See template
CIBA COVID 19 Grant Application
PDF template
A grant program providing $250 to California Indian basketweavers impacted by the COVID-19 pandemic, supported by the NDN Collective.
See template
See template
Final Report Form COVID 19 2020 21 Grant
PDF template
A reporting form for food shelf organizations to document how grant funds were spent during the pandemic period.
See template
See template
Credit Application
PDF template
A comprehensive credit application form for businesses seeking to establish a credit account with EDW C. Levy Co.
See template
See template
Form 433 F
PDF template
A detailed financial disclosure form used by the Internal Revenue Service to collect comprehensive financial information from taxpayers.
See template
See template
Membership Form
PDF template
A form for individuals and organizations to join or renew membership with the Edmonton Social Planning Council.
See template
See template
BUSINESS MEMBERSHIP FORM
PDF template
A membership form for businesses to support the protection and enhancement of Michaux State Forest's natural and cultural resources.
See template
See template
Medical Reimbursement Claim Form
PDF template
Form for employees to submit medical, dependent care, and other eligible healthcare expenses for reimbursement through employer benefit plans.
See template
See template
Procurement Form For In Kind Donations
PDF template
Form for collecting donation details for a fundraising dinner and auction event by the Kidney Auxiliary of Puget Sound & Puget Sound Kidney Centers Foundation.
See template
See template
Community Foundation Of Northwest Florida Grant Application Form
PDF template
A comprehensive grant application form for nonprofit organizations seeking funding from the Community Foundation of Northwest Florida for disaster relief and community programs.
See template
See template
VOSHA Review Board Special Meeting Minutes
PDF template
Minutes of a special meeting of the Vermont Occupational Safety and Health Review Board discussing budget, docket review, and procedural rules.
See template
See template
PATHFINDER SCHOLARSHIP APPLICANT INFORMATION
PDF template
Scholarship application form for a summer camp program with two session options and background information collection.
See template
See template
Navigating A NonprofitS Tax Obligations And Exemptions
PDF template
A comprehensive overview of tax obligations, exemptions, and maintaining 501(c)(3) status for nonprofit organizations in Ohio.
See template
See template
2020 Membership Form
PDF template
Annual membership form for the Oral History Association with options for membership levels, journal access, and optional donation.
See template
See template
Indiana Housing And Community Development Authority Donor Contribution Form
PDF template
Form for donors to claim tax credits for contributions to neighborhood assistance organizations in Indiana.
See template
See template
EFT Authorization Agreement
PDF template
A form for healthcare providers to set up or modify electronic Medicare payment deposits with required account and identification information.
See template
See template
Form 990 Return Of Organization Exempt From Income Tax
PDF template
Official tax return for tax-exempt organizations reporting annual financial information to the Internal Revenue Service.
See template
See template
NOW Reimbursement Guidelines
PDF template
Guidelines for meal and lodging reimbursement for board members during meetings, detailing daily allowances and specific conditions.
See template
See template
2020 Rental Application, Contract And Release
PDF template
Comprehensive rental application for facilities at Strawberry Recreation District, covering event details, facility selection, and usage parameters.
See template
See template
RESIDENCY APPLICATION FORM
PDF template
Application form for artists seeking a three-month residency at McCahon House Trust with multiple date options.
See template
See template
VOSHA Review Board Special Meeting Minutes
PDF template
Special meeting minutes documenting Review Board proceedings, budget discussions, and docket reviews.
See template
See template
SPECIAL EVENT AGREEMENT FORM
PDF template
A comprehensive form for applying to host a special event at National Trail Parks and Recreation District facilities.
See template
See template
Volunteer Application
PDF template
Application form for potential volunteers at the Funk Heritage Center of Reinhardt University, collecting personal information and volunteer interests.
See template
See template
VOLUNTEER FORM
PDF template
A comprehensive form for individuals interested in volunteering with Nevada Ballet Theatre, capturing personal details, skills, and area of interest.
See template
See template
Board Member Travel Policies, Procedures, And Per Diem
PDF template
Comprehensive policy outlining travel approval, reimbursement, and per diem regulations for board members.
See template
See template
Rental Application
PDF template
Comprehensive form for prospective tenants to provide personal, employment, and financial information for rental property consideration.
See template
See template
Equipment Inventory
PDF template
A form for documenting equipment purchased with federal grant funds that have a current fair market value of $5,000 or more.
See template
See template
CJCU Student Early Graduation Application Form
PDF template
Application form for students seeking early graduation from Chang Jung Christian University with specific academic performance criteria.
See template
See template
VOCA Notice Of Funding Opportunity Questions Answers
PDF template
Document providing clarification on funding distribution, regional allocations, and data sources for crime victim support grants in Missouri.
See template
See template
Inquiry Form For NSF Project Proposal Submission
PDF template
A form to help researchers determine the appropriate type of proposal for submitting a project to the National Science Foundation.
See template
See template
Application Checklist
PDF template
Comprehensive application requirements and documentation checklist for prospective students at Christ the King School in Atlanta, GA.
See template
See template
2021 Grant Application
PDF template
A grant application for community betterment projects in Dickinson County, offering funding for non-profit organizations and government units.
See template
See template
POGS Sickness Benefit Application Form
PDF template
Application form for members of the Philippine Obstetrical and Gynecological Society to claim sickness benefits
See template
See template
2021 Critical Language Scholarship Program Application Form
PDF template
Application form for the Critical Language Scholarship Program designed for students seeking language study and international experience.
See template
See template
WomenS Studio Workshop ArtistS Book Residency Application Shipping Form
PDF template
Application form for artists to submit shipping details and return preferences for mock-up submissions to Women's Studio Workshop residency programs.
See template
See template
Online Auction Fundraiser Procurement Form
PDF template
A form for collecting item donations for an online charity auction fundraiser
See template
See template
VHFA Form 805A Instructions To The Operating Budget Projection
PDF template
Comprehensive guide for completing the Vermont Housing Finance Agency's operating budget projection form for rental housing properties.
See template
See template
CREDIT APPLICATION FORM
PDF template
Credit application form for establishing business account and payment terms with Matthew Kibble Transport Ltd.
See template
See template
2020 2021 Endowed Scholarship Application
PDF template
Scholarship application for University of the Incarnate Word students seeking endowed scholarship opportunities for the 2020-2021 academic year.
See template
See template
2021 VOLUNTEER APPLICATION FORM
PDF template
Application form for individuals interested in volunteering at Idaho State Parks, designed for those planning to work more than 40 hours per month.
See template
See template
POLICY 2021 EXPENSES AND REIMBURSEMENTS
PDF template
Policy outlining expense allowances and reimbursement guidelines for school personnel and board members.
See template
See template
LHA Trust Funds Grant Application Form
PDF template
Grant application form for LHA Trust Funds members seeking funding for healthcare-related projects, with a maximum award of $25,000.
See template
See template
Monteagle Sunday School Assembly Housing Application
PDF template
Application form for housing at the Monteagle Sunday School Assembly, a Christian religious organization and community
See template
See template
Application For Membership
PDF template
Membership application for the Stanley M. Rowe Arboretum with multiple membership levels and benefits for individuals, families, and seniors.
See template
See template
FNA Grant Application Form
PDF template
A grant application form for community projects and programs in the Fulton neighborhood, offering funding between $500-$2,500.
See template
See template
Overwatch Contribution Form
PDF template
Contribution form for donating to the Helmets to Hardhats program supporting military service members' transition to civilian employment.
See template
See template
2021 HOLIDAY LOAN ADVANCE REQUEST
PDF template
Loan application form for obtaining a holiday-specific financial advance with contact and signature sections.
See template
See template
Student Organization Request For Reimbursement
PDF template
A form for student organizations to request reimbursement up to $200 for parade decoration expenses.
See template
See template
INTERNSHIP APPLICATION FORM
PDF template
An application form for students seeking internship opportunities at the Center for Italian Studies at Stony Brook University.
See template
See template
IN LIEU OF INVOICE FORM
PDF template
A form used to request payment when standard invoice documentation is not available, designed for creating a Payment Request in B2P system.
See template
See template
IN LIEU OF INVOICE FORM
PDF template
A form used to document payments when standard invoice documentation is not available, primarily for Harvard University administrative purposes.
See template
See template
Donation Or Membership Form
PDF template
Form for individual and organizational membership and donation to the ARCH National Respite Network, a nonprofit supporting respite care services.
See template
See template
2021 Membership Form
PDF template
Membership form for joining the Williamsville Community Foundation, allowing community participation and event involvement.
See template
See template
Volunteer Application Form
PDF template
Comprehensive form for potential volunteers to provide personal details, motivations, and background information for volunteering at Mount Pleasant Neighbourhood House.
See template
See template
Hunger And Homeless Grant Application Form
PDF template
A grant application form for non-profit organizations seeking funding to support programs addressing hunger and homelessness
See template
See template
St. Isidore Historical Plaza Event Application
PDF template
Application form for renting event spaces at St. Isidore Historical Plaza, including details about event type, capacity, and facility rules.
See template
See template
Residential Rental Application
PDF template
A comprehensive form for potential tenants to provide personal, residence, and employment information when applying to rent a property.
See template
See template
RNA Therapeutics Inclusivity Grant Application Form
PDF template
Grant application for underrepresented researchers in biomedical research to attend RNATx2021 conference with career development opportunities.
See template
See template
SPEAKER BOOKING FORM
PDF template
A comprehensive form for organizations to request speakers for events, including logistical and technical details.
See template
See template
State Conference Grant Application Form
PDF template
A grant application form for AAUP state conferences to request funding for special campaigns and projects.
See template
See template
Memorandum Of Agreement PFC Child Care Subsidy
PDF template
An agreement between Partnership for Children of Cumberland County and an Early Care & Education Facility for child care subsidies during fiscal year 2020/2021.
See template
See template
Volunteer Application Form
PDF template
Application form for potential library volunteers to provide contact information, availability, and commitment details.
See template
See template
Via West Participant Application
PDF template
Registration packet for participants with required forms for camp enrollment in 2021.
See template
See template
Virtual Sponsorship Form
PDF template
Sponsorship form for supporting the Tahirih Justice Center's virtual event to help immigrant survivors of violence.
See template
See template
Form CT 12 For Oregon Charities
PDF template
Annual reporting form for charitable organizations operating in Oregon, requiring financial and organizational details for regulatory compliance.
See template
See template
Young Lawyers Division Reimbursement Request Form
PDF template
A form for Florida Bar Young Lawyers Division members to request reimbursement for meeting-related expenses, with a maximum limit of $750.00.
See template
See template
YMCA OF FLORIDAS FIRST COAST NOTICE OF MEMBERSHIP CANCELLATION
PDF template
A form for YMCA members to cancel their membership and provide feedback about their experience.
See template
See template
Rental Application
PDF template
Comprehensive form for potential tenants to provide personal, employment, and financial information when applying to rent a property.
See template
See template
APPLICATION COVER SHEET AND INSTRUCTIONS
PDF template
A credit application document for Central Farm Service cooperative, providing details about the organization and application process.
See template
See template
NYSCA FY2023 Capital Projects Completing Your Long Form Budget
PDF template
Guidelines and instructions for completing budget forms for New York State Council on the Arts capital project grants in fiscal year 2023.
See template
See template
Credit Card Balance Transfer Request Form
PDF template
Form for requesting transfer of credit card balances from multiple creditors to a new account.
See template
See template
FY 2022 2023 Alamance County Outside Agency Funding Application
PDF template
A funding application for non-profit agencies seeking financial assistance from Alamance County for programs or resources not directly offered by the county.
See template
See template
2022 2023 Treaty Bison Hunt Application
PDF template
Application form for tribal members seeking to participate in the annual bison hunt on the Umatilla Indian Reservation.
See template
See template
2021 2022 GASCCP Batch Payroll Deduction Form
PDF template
A comprehensive resource toolkit for coordinators managing the Georgia State Charitable Contributions Program campaign materials and processes.
See template
See template
2022 2023 Membership Application
PDF template
Comprehensive membership application for youth program registration with detailed member and family information
See template
See template
Rental Application And Agreement
PDF template
A rental application form for reserving event spaces at Memorial Park in Houston, TX with detailed requirements and conditions.
See template
See template
2023 2024 PSEO Information For High School CounselorsContacts
PDF template
Comprehensive guide for high school counselors about the Postsecondary Enrollment Options (PSEO) application process for the 2023-2024 academic year.
See template
See template
2022 2024 GFWC Club Manual Community Impact Program Awards
PDF template
Guidelines and instructions for GFWC clubs to implement community projects and compete for program awards that create positive local community impact.
See template
See template
Christ The King School Application Checklist
PDF template
Comprehensive checklist for applying to Christ the King School, detailing required documents and submission process for prospective students.
See template
See template
Applicant Operational And Financial Management Survey
PDF template
A survey to assess an organization's operational and financial management capabilities for federal grant fund eligibility.
See template
See template
Grand Staircase Escalante National Monument 2022 Artist In Residence Application Form
PDF template
Application form for artists seeking a residency at Grand Staircase Escalante National Monument in partnership with Escalante Canyons Art Festival.
See template
See template
POGS MAP Sickness Benefit Application Form
PDF template
A form for members of the Philippine Obstetrical and Gynecological Society to apply for sickness benefits for medical and COVID-related conditions.
See template
See template
Knapp Properties Resident Selection Criteria Agreement
PDF template
Outlines the conditions and criteria for rental application approval by Knapp Properties, including reasons for potential application rejection.
See template
See template
BLUE JEANS BOOTS GALA AUCTION DONATION FORM
PDF template
Donation form for collecting auction items to support the EvergreenHealth Monroe Foundation fundraising event.
See template
See template
Caltech United Way Campaign 2022 One Time Contribution Form
PDF template
A form for making one-time charitable donations through the Caltech United Way Campaign for 2022, allowing contributors to allocate funds to various organizations.
See template
See template
Harold And Edna Bragg Healthcare Education Scholarship Application
PDF template
Scholarship application for healthcare education students in the Lake Chelan Valley, administered by the Lake Chelan Health & Wellness Foundation.
See template
See template
2022 Community Facilities Application
PDF template
Application for community development block grant funding for local facilities and services, including required forms and assurances.
See template
See template
Form AS 4.4.1 Budget Form
PDF template
A budget form documenting expenses for a social work academic program across three fiscal years.
See template
See template
Expense Report Form (Request For Reimbursement Of Team Oregon Fee)
PDF template
A form for requesting reimbursement for Team Oregon motorcycle training class expenses by A.B.A.T.E. of Oregon members.
See template
See template
John T. Gorman Fellowship Application Instructions
PDF template
Detailed instructions for applying to the John T. Gorman Fellowship program for nonprofit organizations.
See template
See template
Internship Application Form
PDF template
Comprehensive form for students to apply for and document an academic internship placement with required approvals and signatures.
See template
See template
The Common Place Scholarship 1 LLC Joinder Agreement
PDF template
A legal document for joining a scholarship fund limited liability company with provisions for capital contributions and school designations.
See template
See template
2022 Budget Summary
PDF template
A comprehensive overview of proposed budget expenditures and tax rates for various county funds for the fiscal year 2022.
See template
See template
2022 KAVLI NSI FELLOWSHIP APPLICATION FORM
PDF template
Application form for graduate students and postdocs seeking a fellowship at the Kavli Neural Systems Institute, collecting voluntary demographic data.
See template
See template
2022 LCC Nursing Application Community Service Volunteer Verification Form
PDF template
Form for verifying volunteer hours for applicants to Lane Community College Nursing Program using a supervised community service verification process.
See template
See template
Volunteer Application Form
PDF template
A comprehensive form for individuals interested in volunteering, collecting personal information, motivations, and background details.
See template
See template
MUSC Faculty Global Health Impact Grant Application Form
PDF template
A grant application form for faculty seeking funding for global health projects, focusing on various areas of global health intervention.
See template
See template
Hunger And Homeless Grant Application Form
PDF template
A grant application form for organizations seeking funding to support programs addressing hunger and homelessness.
See template
See template
2022 CEDS UPDATE Solicitation BBNA Economic Development Program Project Form
PDF template
A comprehensive form for documenting economic development project details, including project steps, partners, costs, and evaluation measures.
See template
See template
Pritchard Fellowship Application Form
PDF template
An application form for the Pritchard Fellowship, requiring a project plan, supervisory training plan, and collaboration plan.
See template
See template
Burton Elementary School PTA Check Requisition Form
PDF template
A form used by Burton Elementary School PTA members to request reimbursement or payment for school-related expenses and events.
See template
See template
IMPACT GRANT APPLICATION FORM
PDF template
A comprehensive form for submitting grant proposals at Ridge Meadows Hospital with detailed sections for applicant information, project summary, and departmental approvals.
See template
See template
RNA Therapeutics Inclusivity Grant Application Form
PDF template
Grant application for early career investigators from underrepresented groups in biomedical research to attend RNATx2022 conference.
See template
See template
Carroll Community College Volunteer Application 2022
PDF template
Application process for teenagers and young adults interested in volunteering at Carroll Community College's summer kids program
See template
See template
EXPENSE REIMBURSEMENT FORM
PDF template
A form for submitting travel and business-related expense reimbursements with detailed categories for meals, hotel, mileage, airfare, and miscellaneous expenses.
See template
See template
VOLUNTEER UNIFIED PARTNER PROFILE FORM
PDF template
Comprehensive form for volunteers and partners to provide personal and contact information for Special Olympics Georgia.
See template
See template
Student Application Form
PDF template
Application form for students seeking admission to Island Catholic Schools in British Columbia, Canada.
See template
See template
Application For Scholarship
PDF template
Comprehensive scholarship application form collecting personal, educational, and organizational membership details for potential scholarship recipients.
See template
See template
November NEPNA Board Meeting
PDF template
Meeting discussing NEPNA Fest 2024 planning and merger process with Beltrami Neighborhood Council
See template
See template
2023 2024 MEMBERSHIP FORM
PDF template
Membership registration form for nonprofit organization with multiple membership tiers and volunteer opportunities
See template
See template
Certification Of Cash Contribution To A Global Grant
PDF template
Document for Rotary Club presidents to certify cash contributions to Global Grant applications for District 5240.
See template
See template
2023 2024 LOW INCOME FAMILY BUDGET FORM
PDF template
A form for students to provide detailed household income and expense information to support financial aid eligibility assessment.
See template
See template
Graduate Fellowship Application Form
PDF template
Application form for graduate students seeking fellowship funding at the University of Nebraska with specific eligibility requirements.
See template
See template
The State Of Social Enterprise And The Law 2023 2024
PDF template
An annual publication examining legislative landscape and legal aspects of social entrepreneurship and impact investing.
See template
See template
2023 2024 Membership Application
PDF template
Application for youth membership program covering the period from July 2023 to June 2024, collecting comprehensive child and family information.
See template
See template
School District Budget Resolution
PDF template
Official budget document for a school district in Illinois, detailing fiscal year financial planning and resolution.
See template
See template
O.Henry Middle School PTA Check Request Form
PDF template
A form for PTA members and staff to request reimbursement or disbursement of expenses through the O.Henry Middle School PTA.
See template
See template
2023 2024 Regis University TEACH Grant Application
PDF template
Application for federal TEACH Grant funding for students pursuing teaching careers in high-needs subject areas.
See template
See template
United Way Of Ulster County Community Impact Fund Application 2023 2025
PDF template
Grant application for local non-profit organizations seeking funding to support human service programs in Ulster County, New York.
See template
See template
Supplemental Questions For Visa Applicants
PDF template
Federal notice describing supplemental information collection requirements for visa applicants by the Department of State.
See template
See template
2024 Application For Unrestricted Support
PDF template
A strategic plan focusing on improving mental health access and community support in rural White County through collaborative partnerships.
See template
See template
2023 Armenian Fellowship Application Form
PDF template
A comprehensive application form for individuals seeking fellowship funding from the H.Hovnanian Family Foundation for professional and academic development.
See template
See template
2023 Armenian Fellowship Application Form
PDF template
A comprehensive application form for individuals seeking fellowship grants from the H.Hovnanian Family Foundation to support academic and professional development.
See template
See template
2023 ARTS, CULTURE AND TOURISM GRANT APPLICATION
PDF template
Grant application form for local non-profit organizations seeking funding for arts, culture, and tourism initiatives in the Town of New Tecumseth.
See template
See template
ASCVTS Bundang Thoracic Fellowship Program Application Form
PDF template
Application form for medical professionals seeking a fellowship in cardiovascular and thoracic surgery with the Asian Society for Cardiovascular and Thoracic Surgery.
See template
See template
CAST Volunteer Form
PDF template
Comprehensive volunteer application form for CAST, collecting personal information, availability, skills, and interests.
See template
See template
2023 Luing Family Internship Program Coastal Conservation Research Program Internship Application Fo
PDF template
Application form for a 10-week coastal conservation research internship at The Wetlands Institute during summer 2023.
See template
See template
Classroom Grants Program 2023 Guidelines And Helpful Hints
PDF template
Guidelines for educators applying to the Snohomish Education Foundation's classroom grant program, providing funding for innovative educational projects.
See template
See template
The Waterfront Festival Vendor Application
PDF template
Application form for vendors interested in participating in the Waterfront Festival event on June 17th, 2023.
See template
See template
Donation Form
PDF template
A form for donors to submit item donations and sponsorship details for an event auction
See template
See template
2024 VOLUNTEER APPLICATION FORM
PDF template
Application form for individuals planning to volunteer more than 40 hours per month at Idaho State Parks and Recreation.
See template
See template
WaterFire FoodBeverage Vendor Inquiry Form
PDF template
Form for food and beverage vendors to apply for participation in the WaterFire Providence event season
See template
See template
GovernorS Office Of Constituent Affairs INTERNSHIP OVERVIEW APPLICATION
PDF template
An internship program overview and application for students interested in experiencing state government operations at the Governor's Office of Constituent Affairs in Illinois.
See template
See template
FY 2024 25 Corrections
PDF template
Fiscal analysis of the Michigan Department of Corrections budget for fiscal year 2024-25, detailing appropriations and funding sources.
See template
See template
FY 2024 25 CORRECTIONS Summary As Passed By The House
PDF template
Budget summary document for Michigan Department of Corrections fiscal year 2024-25, detailing appropriations and budget allocations.
See template
See template
2023 Legislative Session Member Requested Local Community Project Information Online Form
PDF template
An online form for requesting legislative funding for local community projects in Washington State, to be considered for capital budget appropriation.
See template
See template
YWCA High Point Membership Form
PDF template
Membership registration form for YWCA High Point that includes liability release, photo release, and membership terms.
See template
See template
Youth Advocacy Fund Diocesan Scholarship Request
PDF template
Application for financial assistance for teens attending the National Catholic Youth Conference in 2023
See template
See template
American Accounting Association Travel And Business Expense Report Form 2023
PDF template
Form for reporting and requesting reimbursement of business travel expenses for non-employees of the American Accounting Association.
See template
See template
2023 Pumpout Operations Maintenance Grant Worksheet
PDF template
A grant worksheet for marina operators to document pumpout operations expenses and request reimbursement from the Maryland Department of Natural Resources.
See template
See template
Rotary Club Of Monroe Annual Barn Dance Auction Donor Information Form
PDF template
A form for collecting item and gift certificate donations for the Rotary Club of Monroe's annual fundraising event
See template
See template
PY2023 Public Service Application Detailed Budget
PDF template
A comprehensive budget application form for the Community Development Block Grant (CDBG) program, detailing personnel, travel, operating costs, and funding sources.
See template
See template
PW Hong Memorial Fellowship Program Application Form
PDF template
Application form for medical professionals seeking a fellowship with the Asian Society for Cardiovascular and Thoracic Surgery
See template
See template
Raise Your Paw Auction Procurement Form
PDF template
Form for collecting donation details for a charitable auction fundraiser by the Humane Society for Tacoma & Pierce County.
See template
See template
Credit Application Form
PDF template
A comprehensive credit application form for businesses seeking credit with Raritan Group, requiring detailed company and financial information.
See template
See template
20232024 School Year Budget Form
PDF template
A comprehensive budget form for students to document their anticipated income, funding sources, living costs, and program expenses for the upcoming school year.
See template
See template
AGU Reimbursement Form
PDF template
A form for submitting travel-related expenses for reimbursement by the American Geophysical Union (AGU)
See template
See template
Royal Commission For The Exhibition Of 1851 Research Fellowships In Science Or Engineering
PDF template
Guidelines for early career scientists and engineers seeking research funding for exceptional research projects in physical and biological sciences, mathematics, applied science, or engineering.
See template
See template
Resiliency Loan Fund Application
PDF template
A loan application for small businesses and nonprofits impacted by COVID-19, offering up to $150,000 at 0% interest.
See template
See template
MembershipCity Of Hilliard Senior Center
PDF template
Registration form for membership at the City of Hilliard Senior Center, requiring personal and medical information.
See template
See template
EXPENSE REIMBURSEMENT FORM
PDF template
A form for submitting travel and business-related expense reimbursements, including meals, hotel, mileage, airfare, and miscellaneous expenses.
See template
See template
The Bronx Community Foundation Grant Application Form
PDF template
A grant application form for nonprofits and community-based organizations serving the Bronx community, offering grants up to $25,000.
See template
See template
Water Irrigation Efficiency Program Application
PDF template
Grant program to increase irrigation water efficiency by 20% for farmers, offering up to $1,500 per acre with a maximum reimbursement of $1,000,000.
See template
See template
Instructions For Preparing A Proposal Of Strategic Basic Research Programs ACT X
PDF template
Guidelines for submitting research proposals for Strategic Basic Research Programs in fiscal year 2023, with detailed submission instructions and requirements.
See template
See template
CVSO CG 2024 (Cycle I) Q A Addendum
PDF template
Application guide and instructions for Minnesota County Veterans Service Offices seeking grant funding for veteran programs and services in fiscal year 2024.
See template
See template
Direct Deposit Authorization Form
PDF template
Form for authorizing direct deposit of funds into a bank account by Cook Inlet Region, Inc. shareholders.
See template
See template
Volunteer Application Form
PDF template
A comprehensive application form for individuals seeking to volunteer at Minnesota Veterans Homes across multiple locations.
See template
See template
Membership Application
PDF template
Application form for joining the Formby Civic Society with membership options and terms of membership.
See template
See template
Credit Application Form
PDF template
A comprehensive form for businesses to apply for credit with detailed company and personal information requirements.
See template
See template
Scholarship Application Form
PDF template
A comprehensive scholarship application for artists seeking financial support for art classes, requiring detailed personal and artistic information.
See template
See template
2024 2025 Budget Request Instructions
PDF template
Comprehensive budget request form for student clubs outlining club information, event planning, and funding requirements.
See template
See template
Small Steps Nurturing Center Student Application
PDF template
Application form for children to enroll at Small Steps Nurturing Center, including family and income information for the 2024-2025 school year.
See template
See template
Grant Application For Educational And Nonprofit Charitable Organizations
PDF template
A grant application process for educational and nonprofit charitable organizations in the Greater Fresno Area, offering funding between $1,000-$10,000 for community impact projects.
See template
See template
InternshipField Experience Application
PDF template
Comprehensive form for students to apply for internship opportunities, documenting personal, academic, and internship details for approval.
See template
See template
Media Release Form
PDF template
A consent form allowing the Food Bank of Northeast Georgia to use interview content, photographs, and recordings for marketing purposes.
See template
See template
MISD Employee Giving Campaign Payroll Deduction Form
PDF template
Payroll deduction authorization form for employees to donate to the McKinney Education Foundation
See template
See template
2024 2025 Private Scholarship Confirmation Form
PDF template
Form for students to document external scholarships and grants received for the 2024-2025 academic year at Wisconsin Lutheran College.
See template
See template
O.Henry Middle School PTA Check Request Form
PDF template
A form for submitting expense reimbursement or disbursement requests for O.Henry Middle School PTA staff and parents
See template
See template
2024 25 Small Grants Fund (SGF) Application Form
PDF template
Grant application for community development initiatives addressing poverty-related issues in the Chalmers neighbourhood, offering up to $2,500 in funding.
See template
See template
APPLICATION FOR THE FRIENDS OF EASTMAN OPERA 2024 2025 SCHOOL YEAR TRAVEL GRANT
PDF template
Application for Eastman Opera students seeking financial support for auditions, master classes, or competitions during the 2024-2025 academic year.
See template
See template
IBA Experience And Exchange Grant Application Form
PDF template
Grant program supporting biologists and wildlife managers in bear conservation through international project exchanges and training opportunities.
See template
See template
INTERNSHIP APPLICATION FORM
PDF template
Comprehensive application form for individuals seeking internship opportunities at the Altadena Library District across various library service areas.
See template
See template
TEEN INTERNSHIP APPLICATION FORM
PDF template
Application form for students interested in internship opportunities at the Altadena Library District.
See template
See template
2024 Membership Form
PDF template
A membership form for allied organizations and local government entities to join the Coalition's efforts to address homelessness and housing justice.
See template
See template
The CBF Kimball R. Anderson And Karen Gatsis Anderson Public Interest Law Fellowship 2024 Applicatio
PDF template
An application form for lawyers seeking a public interest law fellowship, collecting professional and educational details.
See template
See template
International Artists In Residence Residency Application Form
PDF template
Application form for international artists seeking residency opportunities at Medalta for the 2023-2024 program year.
See template
See template
Application Form For International Experience In Energy, Environmental And Chemical Engineering
PDF template
Application for undergraduate students to participate in an international engineering experience class with summer travel to Indonesia.
See template
See template
2024 Clean Air Grants Marine Diesel Engine Repower Program
PDF template
Grant program for replacing old, high-polluting marine diesel engines with cleaner equipment to improve public health and reduce emissions.
See template
See template
Asian Pacific American Coalition Summer Internship Application Form
PDF template
Application form for summer internship with the Asian Pacific American Coalition, targeting students in San Diego, California.
See template
See template
Upper Delaware Council Award Nomination Form
PDF template
Annual nomination form for recognizing individuals and organizations in the Upper Delaware River Valley for their contributions and achievements.
See template
See template
2025 2026 Affiliated Fellowships Doctoral Competition Applicants In Social Sciences And Humanities
PDF template
Application form for doctoral students in social sciences and humanities at the University of British Columbia seeking fellowship funding for the 2025-2026 academic year.
See template
See template
2024 Local Development Grant Application Form
PDF template
A grant application form for local development funding, focused on addressing poverty through institutional change.
See template
See template
2024 Commercial Vendor Agreement
PDF template
Commercial vendor agreement for participating in the Orono Agricultural Society's annual fair with booth space and pricing details.
See template
See template
Application For 2024 Allocations
PDF template
Funding application for local programs addressing education, financial stability, and health needs in West Central Texas.
See template
See template
Board Member Confidentiality Agreement
PDF template
A confidentiality agreement defining terms of information protection for board members of United Way of Galveston.
See template
See template
Credit Card Authorization Form
PDF template
A form for processing credit card payments for the Nebraska State Fair using VISA or MasterCard.
See template
See template
Donor Advised Fund Policies Guidelines
PDF template
Detailed policy document explaining donor-advised fund management, minimum requirements, and investment options for The New York Community Trust.
See template
See template
Food Vendor Space Rental Application
PDF template
Application for food vendors to participate in the Lake Bemidji Dragon Boat Festival, detailing space, utility, and menu requirements.
See template
See template
2024 DUSHINSKE JAMISON WATER RESOURCES SCHOLARSHIP APPLICATION
PDF template
A scholarship application for students interested in water resources, offered by the North Dakota Water Education Foundation.
See template
See template
Auction Donation Form
PDF template
A form for donors to submit auction item donations and view sponsorship levels for a fundraising event.
See template
See template
2024 Old Time Music Festival Volunteer Application
PDF template
Application form for volunteers to assist with an old-time music festival in West Plains, Missouri.
See template
See template
FIDA Application Form
PDF template
Application form for submitting project proposals to the Fund for the International Development of Archives (FIDA), an initiative of the International Council on Archives (ICA).
See template
See template
Casco Bay Estuary Partnership Community Grant Application Form
PDF template
A comprehensive grant application form for community projects related to the Casco Bay region's environmental initiatives
See template
See template
Grant Application Form
PDF template
A comprehensive grant application form for nonprofit organizations seeking funding from the St. Dunstan's Foundation to support community-based projects aligned with their mission.
See template
See template
Community Violence Prevention Program 2024 2025 Application Form
PDF template
Application form for organizations seeking to implement community violence prevention projects in Newfoundland and Labrador for 2024-2025.
See template
See template
Montana DNRC Fire Meal Authorization Form Instructions
PDF template
Instructions for documenting and authorizing fire-related meal purchases by Montana Department of Natural Resources and Conservation employees.
See template
See template
Grant Inquiry Form
PDF template
Preliminary form for organizations seeking grant funding from York County Community Foundation in 2024.
See template
See template
2024 Grant Request Application Up To 5,000
PDF template
A grant application form for educational funding up to $5,000 from the Burbank Arts & Education Foundation for Burbank Unified School District educators.
See template
See template
2024 Volunteer Form
PDF template
Volunteer registration form for the TD Victoria International JazzFest, requiring minimum 3 shifts and offering performance ticket incentives.
See template
See template
YMCA CAMP HI ROCK 2024 Leader In Training Application Form
PDF template
Application form for teenagers interested in participating in the YMCA Camp Hi-Rock summer leadership training program
See template
See template
Grant Survey Form
PDF template
A form to collect demographic and income information for documenting beneficiaries of a Community Development Block Grant (CDBG)
See template
See template
MBPO INTERNSHIPFELLOWSHIP APPLICATION FORM
PDF template
Application form for students seeking an internship or fellowship opportunity with MBPO
See template
See template
2024 PROCUREMENT FORM
PDF template
A form for collecting donor and item details for procurement and donation purposes for Native Action Network.
See template
See template
National Recreation And Park Association CPRP And CPRE Grant Application Form
PDF template
A grant application form for professional certification in recreation and park management through CPRP and CPRE programs.
See template
See template
NETBACK EXPENSE REPORT FORM (NERF)
PDF template
A detailed form for reporting oil and gas product sales, expenses, and pricing for the 2024 assessment year.
See template
See template
American Accounting Association Travel And Business Expense Report Form 2024
PDF template
A comprehensive form for reporting and requesting reimbursement of business travel expenses for non-employees.
See template
See template
North Pacific Coast Lead Entity (WRIA 20) Salmon Recovery Funding Board 2024 Grant Round Application
PDF template
Application packet for salmon habitat restoration projects in the North Pacific Coast region, covering funding opportunities through Salmon Recovery Funding Board and Climate Commitment Act riparian projects.
See template
See template
NWIHA Youth Scholarship Application
PDF template
Scholarship application for youth members of NWIHA Voting Member tribes seeking educational support.
See template
See template
2024 Auction DonationProcurement Form
PDF template
Form for collecting item donations for the 12th Annual Celebrate! Gala fundraising auction.
See template
See template
Expense Report
PDF template
A comprehensive expense report form for travel and business-related expenses for the Society for Industrial and Applied Mathematics (SIAM).
See template
See template
2024 Parish Contact Form
PDF template
A comprehensive form for collecting contact details and leadership information for a parish organization.
See template
See template
ND Assistive Possibilities Grant Application
PDF template
A comprehensive grant application for individuals seeking funding for assistive technology devices and services for medical conditions or disabilities.
See template
See template
ARK Institute Of Learning Procurement Form
PDF template
A form for collecting donor information and details about donated items for a nonprofit organization
See template
See template
Declaration For Taxation Exemption 2025
PDF template
A municipal document for organizations seeking property tax exemption in the City of North Vancouver for the year 2025.
See template
See template
Purchase Order Request
PDF template
A form for requesting and processing vendor purchases for various school departments and locations.
See template
See template
2024 RESPONSIVE RESIDENCY APPLICATION FORM
PDF template
Application form for artists seeking a residency program, focused on New South Wales-connected artists with various demographic and professional backgrounds.
See template
See template
2024 RESPONSIVE RESIDENCY APPLICATION FORM
PDF template
Application form for artists seeking a residency opportunity connected to New South Wales, with demographic and professional details collection.
See template
See template
2024 Rotarian Foundation Of Livermore Community Grant Application
PDF template
A grant application form for local nonprofit organizations seeking funding from the Rotarian Foundation of Livermore for community projects.
See template
See template
Steubenville St. Louis Mid America 2024 Scholarship Form
PDF template
Scholarship application for teens to attend a youth ministry event with financial support based on need.
See template
See template
GSU MemberSpouse Scholarship Application Form
PDF template
A scholarship application form for members and spouses of the Grain and General Services Union seeking educational support.
See template
See template
Yorkton Exhibition Association Scholarship Application Form
PDF template
A scholarship application for students in the Parkland Region of Saskatchewan and Manitoba, with preference for students pursuing agriculture-related education.
See template
See template
SJB Volunteer Application Packet
PDF template
A comprehensive volunteer application form for St. John the Baptist Church in Wading River, including personal information and conduct guidelines.
See template
See template
VENDOR APPLICATION 2024 Summer Concert Series
PDF template
Application form for vendors interested in participating in the 2024 Summer Concert Series at Constitution Park in Camarillo, CA.
See template
See template
Pharmacist Licensure Instructions
PDF template
Comprehensive instructions for pharmacy graduates seeking initial licensure in Tennessee, including application process and requirements.
See template
See template
Conference RequestTravel Reimbursement Form
PDF template
Form for employees to request and document travel expenses and reimbursement for conference or training activities.
See template
See template
2024 Auction Procurement Form
PDF template
A form for collecting item, service, or cash donations for a fundraising auction event organized by Tacoma Youth Symphony Association.
See template
See template
UMF Development Fund Loan Application
PDF template
Comprehensive loan application for religious institutions seeking funding through the UMF Development Fund, requiring detailed institutional information and financial history.
See template
See template
2024 Donation Submission Form
PDF template
Form for submitting donations to support a fundraising walk event for the PKD Foundation.
See template
See template
Special Event Volunteer Application Form
PDF template
Application form for individuals interested in volunteering at Town of Penetanguishene special events, including volunteer policies and waiver.
See template
See template
FY2024 Instructions For Preparing A Proposal Of Strategic Basic Research Programs ACT X
PDF template
Guidelines for submitting research proposals for the FY2024 Strategic Basic Research Programs, providing detailed submission requirements and instructions.
See template
See template
YMCA CAMP HI ROCK 2025 Leader In Training Early Bird Application Form
PDF template
Application form for teenagers interested in joining the Leader-In-Training program at YMCA Camp Hi-Rock for summer 2025
See template
See template
State Of Kansas City 2025 Budget Summary
PDF template
Detailed budget document outlining proposed expenditures and tax rates for various city funds in the 2025 fiscal year.
See template
See template
Washington County Local Share Account Application
PDF template
Application for community and economic development grants funded by gaming revenues in Washington County, Pennsylvania.
See template
See template
2024 Poulsbo Tourism Grant Awardee Process
PDF template
Guidelines for tourism grant awardees in the City of Poulsbo, detailing reporting requirements and reimbursement process for lodging tax grants.
See template
See template
2025 Project Support Project Information Form
PDF template
Form for eligible 2024 grant recipients to apply for continued project support in 2025 through Cuyahoga Arts & Culture.
See template
See template
KEDDO FY 2025 REAP Schedule
PDF template
Annual schedule for the Kenton Economic Development District Organization's Rural Economic Assistance Program (REAP) application and funding process.
See template
See template
Community Development Workshops Registration Form
PDF template
Registration form for multiple community development workshops focusing on CDBG administration and applications in Illinois.
See template
See template
2025 Application Form SPARobert Lemelson Foundation Student Fellowship
PDF template
Fellowship application form for graduate students seeking funding for research projects from the Robert Lemelson Foundation.
See template
See template
2025 Saint Paul Winter Carnival Senior Royalty Application
PDF template
Application for seniors aged 55 and up to become goodwill ambassadors for the Saint Paul Winter Carnival
See template
See template
WHF Solventum Fellowship Application Form
PDF template
A comprehensive application form for research fellowship funding from WHF Solventum, requiring detailed academic and research background information.
See template
See template
2025 Summer Grant Information Packet
PDF template
A professional development grant program for faculty that supports scholarly and creative inquiry in alignment with the university's teacher-scholar model.
See template
See template
2025 Auction Procurement Form
PDF template
A form for collecting item, service, or cash donations for a fundraising auction event hosted by Tacoma Youth Symphony Association.
See template
See template
Form 8 K
PDF template
Securities and Exchange Commission filing documenting a current report for NextEra Energy, Inc.
See template
See template
Ministerial Loan Guarantee Application (Individual And Band) Instructions
PDF template
Comprehensive instructions for First Nations applying for a Ministerial Loan Guarantee from Indigenous Services Canada.
See template
See template
Application For Graduation
PDF template
Comprehensive form for students to apply for graduation, covering personal, financial, academic, and placement requirements.
See template
See template
CoC MEMBERSHIP Ctee Agenda 2021 Feb 9 DRAFT
PDF template
Draft agenda for the Continuum of Care Membership Committee meeting discussing membership, training, and committee activities.
See template
See template
Data Protection Consent Form
PDF template
Consent form for processing personal data related to the CSABOT project, outlining data collection, usage, and privacy rights.
See template
See template
School Board Member Compensation Expenses Policy
PDF template
Policy governing compensation, expense reimbursement, and travel expenses for school board members in North Boone Community Unit School District 200.
See template
See template
Board Member Expense Reimbursement Form
PDF template
A form for school board members to submit and document travel expenses for reimbursement
See template
See template
Board Member Estimated Expense Approval Form
PDF template
A form for school board members to request pre-approval of travel expenses and reimbursements for district-related or grant-related activities.
See template
See template
Board Member Estimated Expense Approval Form
PDF template
A form for school board members to request and document travel expense reimbursements and approvals.
See template
See template
School Board Exhibit Resolution To Regulate Expense Reimbursements
PDF template
A resolution establishing guidelines for travel, meal, and lodging expense reimbursements for school board members and district staff.
See template
See template
Board Member Compensation Expenses
PDF template
Policy governing expense reimbursement and compensation for school board members, including restrictions and approval processes.
See template
See template
Board Member Compensation Expenses Policy
PDF template
Policy governing compensation, expense reimbursement, and financial guidelines for school board members in Geneseo Community Unit School District 228.
See template
See template
2125 Board Member Compensation Expenses
PDF template
Policy governing compensation, reimbursement, and expense guidelines for school board members.
See template
See template
Property Loss And Damage Report Form
PDF template
A document for reporting property loss and damage incidents, used for documenting financial transactions and potential insurance claims.
See template
See template
Request For Verification Of Mortgage Or Deed Of Trust
PDF template
A document used to verify details of an existing mortgage or deed of trust, including financial information and payment status.
See template
See template
Rental Application Form
PDF template
Comprehensive rental application process for obtaining an apartment in Ottawa, detailing required documents and submission guidelines.
See template
See template
UMass Boston Pre Authorization Form For Domestic And International Travel
PDF template
Official form for pre-approving and documenting university-affiliated travel expenses and details for domestic and international trips.
See template
See template
FORM 8 K CURRENT REPORT
PDF template
Official SEC filing for AMREP Corporation detailing current business report as of August 15, 2022
See template
See template
GFWC Membership Grant Application Form
PDF template
A grant application form for GFWC clubs to receive funding for membership recruitment activities.
See template
See template
Instruction Letter For Completion Of ADHP Application Process
PDF template
Detailed instructions for completing an Alabama Dental Hygiene Practitioner (ADHP) application with specific requirements and submission guidelines.
See template
See template
2022 23 Budget Form LC 2 Instructions
PDF template
Instructions for completing the Nebraska school district budget lid computation form to verify budget compliance with state regulations.
See template
See template
Monthly Grant Funding (MGF) Payment Inquiry Form
PDF template
Form for community partner clinics to inquire about missing grant funding payments for enrolled participants.
See template
See template
Form 8 K
PDF template
Securities and Exchange Commission current report filing by Red Trail Energy, LLC providing current business information
See template
See template
BOARD NOMINATION FORM
PDF template
Form for nominating new board members to the Utah Domestic Violence Coalition (UDVC), capturing nominee's background and qualifications.
See template
See template
Wateridge Village Rental Application Form
PDF template
A comprehensive rental application form for potential tenants to provide personal, employment, and reference information.
See template
See template
2023 2024 Alternative Loan Budget Form
PDF template
A financial aid form for students to provide information for loan and scholarship eligibility at the University of Houston-Downtown.
See template
See template
2023 2024 Budget Increase Request Form
PDF template
A form for students to request an increase in their financial aid budget based on additional educational expenses.
See template
See template
2023 24 Budget Form LC 2 Instructions
PDF template
Guidance for school districts in Nebraska to complete the Lid Computation Form LC-2, which verifies budget compliance with state regulations.
See template
See template
2023 24 Federal TEACH Grant Application Process
PDF template
Application for the Teacher Education Assistance for College and Higher Education (TEACH) Grant for students pursuing teaching careers in high-need fields.
See template
See template
Application For The 2023 2024 Federal TEACH Grant
PDF template
Application for federal funding for students pursuing teaching careers in high-need fields at low-income schools.
See template
See template
APWA Emerging Leaders Academy Agreement Form
PDF template
Agreement form for applicants seeking participation in the APWA Emerging Leaders Academy program for Class XVII.
See template
See template
Technical Assistance Center (TAC) Cost Proposal RFP 24 017a
PDF template
A detailed budget proposal template for a technical assistance center project, outlining costs for salaries, services, supplies, travel, and employee benefits.
See template
See template
Budget Workshop Upload Authorization Form
PDF template
A form delegating authority to the Indiana Department of Local Government Finance to upload budget-related financial documents through the Gateway Budget Application.
See template
See template
Review Of Proposed Lease For A 1,000 Bed Shelter At Kettner And Vine Site
PDF template
Independent Budget Analyst report evaluating the financial implications of a proposed long-term lease for a 1,000-bed emergency shelter in San Diego.
See template
See template
2024 2025 Alternative Loan Budget Form
PDF template
A financial aid form for students to provide information for loan budget calculation and eligibility assessment for the 2024-2025 academic year.
See template
See template
Cost Of Attendance Adjustment Form
PDF template
A form for students to request budget review for unusual financial expenses not included in standard financial aid calculations.
See template
See template
GRANT AID Cancellation Request
PDF template
A form allowing students to voluntarily cancel their federal grant awards for the 2024-2025 academic year at North Central State College.
See template
See template
2024 2025 Independent Verification Worksheet
PDF template
A form for students to verify financial information for federal student aid applications by providing tax and household details.
See template
See template
RSCNCL) Resource Cancellation FormOther Financial Assistance
PDF template
A form for students to report and modify additional financial resources for the 2024-2025 academic year at the University of South Florida.
See template
See template
2024 25 Federal TEACH Grant Application Process
PDF template
Application for students pursuing teaching careers who agree to serve as full-time teachers in low-income schools after graduation.
See template
See template
Trustee Resignation Letter Sample
PDF template
A guide and template for writing a professional resignation letter when stepping down from a charity board or trustee position.
See template
See template
Form 8 K
PDF template
Securities and Exchange Commission filing by Expedia Group providing current financial and operational information.
See template
See template
2024 Nomination Form
PDF template
A comprehensive nomination form for an award, requiring detailed nominee information and supporting documentation.
See template
See template
Travel Expense Report Form (ER)
PDF template
A form for documenting and submitting travel-related expenses for reimbursement, including conference costs, transportation, and miscellaneous expenses.
See template
See template
4 H Scholarship Form Tips
PDF template
Guidance document providing instructions and evaluation criteria for completing 4-H scholarship application forms with detailed scoring breakdown.
See template
See template
Invoice Check List
PDF template
A comprehensive checklist for submitting grant reimbursement documentation with detailed requirements for different expense categories.
See template
See template
Connecticut Forms Of Organization
PDF template
Comprehensive overview of different organizational forms for businesses and nonprofits in Connecticut, detailing formation requirements, management, liability, and tax considerations.
See template
See template
FP 421B HotelMotel Income Expense Report
PDF template
Annual tax reporting form for hotel and motel property owners in Washington, DC, covering income and expense details for the tax year.
See template
See template
Rental Application Form California Association Of Realtors
PDF template
A standardized rental application form designed by the California Association of Realtors to help real estate professionals screen potential tenants while complying with fair housing regulations.
See template
See template
Common Confidential Student Evaluation Form (2nd 8th Grade Applicants)
PDF template
A confidential evaluation form for students applying to independent schools in the San Francisco Bay Area, covering grades 2-8.
See template
See template
Hazard Mitigation Programs Reimbursement Form
PDF template
A form for documenting and requesting reimbursement for hazard mitigation project costs and expenses.
See template
See template
Form 8 K
PDF template
Securities and Exchange Commission current report filing by SilverSun Technologies, providing current company information and disclosures.
See template
See template
APPENDIX A Policy On Travel And Expense Reimbursement
PDF template
Policy detailing guidelines for travel expenses, reimbursement, and authorized expenditures for Pajaro Valley Water Management Agency officials and employees.
See template
See template
Francophone Community Grants Program (FCGP) Guidelines 2024 25
PDF template
Guidelines for the Ministry of Francophone Affairs grant program for economic development projects serving francophone communities in Ontario.
See template
See template
Form 8 K
PDF template
SEC filing providing current report for JetBlue Airways Corporation as of March 1, 2024
See template
See template
CLAIM FORM FOR HEALTH DEPENDENT CARE EXPENSES
PDF template
A form for employees to request reimbursement for health and dependent care expenses through their Flexible Spending Account (FSA)
See template
See template
Initial Interview Form
PDF template
A comprehensive form for veterans or their family members to collect information needed to apply for veterans' benefits.
See template
See template
REGION VI WIOAITA INVOICE
PDF template
Invoice form for training providers under the Workforce Innovation and Opportunity Act (WIOA) program for adult or dislocated worker training.
See template
See template
NICR 2021 Request For Proposals
PDF template
A research funding request from a university transportation consortium seeking proposals for congestion reduction research across three key transportation topics.
See template
See template
Direct DepositInformation And Instructions
PDF template
A form for setting up electronic payments from Wespath Benefits and Investments for retirement distributions and protection plan payments.
See template
See template
Excel Capital Expenditure Request Form Template
PDF template
A template form for requesting and documenting capital expenditure projects with multi-year financial analysis.
See template
See template
3359 31 05 Travel On Behalf Of The University
PDF template
Policy governing travel procedures, expenses, and reimbursement for University of Akron employees and students during university business travel.
See template
See template
FCC 314 Application For Consent To Assignment Of Broadcast Station Construction Permit Or License
PDF template
Instructions for filing an application to assign a broadcast station construction permit or license with the Federal Communications Commission.
See template
See template
IRIS Travel Policy And Procedures
PDF template
Comprehensive guidelines and procedures for travel by IRIS employees, covering authorization, costs, transportation, lodging, and reimbursement.
See template
See template
BOARD OF TRUSTEES OF COMMUNITY COLLEGE DISTRICT NO. 508 AGREEMENTS APPROVED
PDF template
Monthly report of rental, service, and professional agreements approved by college presidents and chancellor
See template
See template
Orchard Bridge Apartments Rental Application Form
PDF template
Comprehensive rental application for prospective tenants seeking to lease an apartment at Orchard Bridge Apartments in Manassas, VA.
See template
See template
Form 8 K
PDF template
Securities and Exchange Commission filing providing current report for The Chemours Company
See template
See template
UCPATH DIRECT RETRO REQUEST
PDF template
A form for processing salary expense transfers for UC employees, replacing the previous UCCE Salary Expense Transfer Request form.
See template
See template
Rental Application Form
PDF template
Comprehensive form for potential tenants to provide personal, employment, and rental history information to a property management company.
See template
See template
Pension Application Form
PDF template
Comprehensive application form for pension insurance covering employer and employee details for individual or group policies.
See template
See template
Budget Form 1 Guidelines For Preparation Of Budget Forms
PDF template
Comprehensive instructions for preparing budget forms for a grant proposal, detailing required documentation and form completion process.
See template
See template
Schedule G Executory Contracts And Unexpired Leases
PDF template
A legal document listing all executory contracts and unexpired leases for a bankruptcy filing by Peregrine Financial Group, Inc.
See template
See template
3352 7 07 Travel
PDF template
Comprehensive policy governing travel expenses, reimbursement guidelines, and documentation requirements for university personnel
See template
See template
Feedback Forms Comment Summary
PDF template
Summary of investor comments and feedback on a relationship summary document, analyzing responses from 93 individuals.
See template
See template
City Of Longview Revolving Loan Fund Application Procedure
PDF template
Application process for obtaining a business loan through the City of Longview's revolving loan program, detailing required documentation and review stages.
See template
See template
Volunteer Application
PDF template
A comprehensive volunteer application form for the Catholic Diocese of Gallup, designed to help secure a safe environment for community members.
See template
See template
Dam Removal Grant Program Application Form 3500 106
PDF template
Instructions for municipalities, lake districts, private dam owners, and state agencies to apply for dam removal grants under Wisconsin Administrative Code NR 336.
See template
See template
Standardized Application For Pathology Fellowships
PDF template
Comprehensive application form for physicians seeking pathology fellowship training at the University of Texas Southwestern Medical Center.
See template
See template
IMM 5257 Application For Temporary Resident Visa
PDF template
Canadian immigration form used for applying for a temporary resident visa by foreign nationals seeking to enter Canada.
See template
See template
Preliminary Capital Request (PCR) Policy
PDF template
Defines the process for submitting capital building modifications for funding and approval at College of the Holy Cross, covering projects over $2,500.
See template
See template
Camelot Woods Rental Application Checklist
PDF template
Comprehensive checklist of documents and fees required for rental application to Camelot Woods manufactured housing community.
See template
See template
Expenditure Authorization Request
PDF template
Document requesting approval for various municipal expenditures over $75,000 for fiscal years 2024-2026, covering technology upgrades, memberships, and government relations services.
See template
See template
Donor Advised Funds Additional Contribution Form
PDF template
A form for making additional contributions to an existing Donor-Advised Fund Account, detailing contribution methods including checks, wire transfers, and securities.
See template
See template
UC Master Gardener Volunteer Application Form
PDF template
Application form for individuals interested in becoming a UC Master Gardener volunteer in California, requiring background check and demographic information.
See template
See template
4 H Property Inventory Report Form
PDF template
A form for documenting tangible assets owned by 4-H clubs and organizations with specific inventory categories and guidelines.
See template
See template
ACH VENDORMISCELLANEOUS PAYMENT ENROLLMENT FORM
PDF template
A form used for enrolling in Automated Clearing House (ACH) electronic payments through the Vendor Express Program.
See template
See template
Advanced College Experience (ACE) Application
PDF template
Application form for high school students participating in the Community College of Philadelphia's Advanced College Experience summer program
See template
See template
ARTH 395 Internship Application Form
PDF template
Application form for students seeking an internship through the Art Department at their academic institution.
See template
See template
Devolved Formula Capital (DFC) Schools Project Form
PDF template
A comprehensive form for schools to propose and document capital improvement projects funded through Devolved Formula Capital (DFC)
See template
See template
United NationsJapan Long Term Fellowship Programme Nomination Form
PDF template
Nomination form for post-graduate study fellowship program on nano-satellite technologies sponsored by United Nations and Japan.
See template
See template
3rd Party Event Approval Form
PDF template
Form for requesting and obtaining approval for third-party events supporting Homeward Pet Adoption Center
See template
See template
WVUF Request For Payment
PDF template
A form used by West Virginia University employees to request vendor payments and document business expenses.
See template
See template
SBIF APPLICATION FORM
PDF template
Application form for businesses and property owners seeking funding through the Small Business Improvement Fund (SBIF) program.
See template
See template
GENERAL ADMISSIONS
PDF template
Guidelines for admitting students into college programs, evaluating transcripts, and course placement.
See template
See template
Residential Claim For Moving And Related Expenses
PDF template
A federal form for claiming residential moving and related expenses under the Uniform Relocation Assistance and Real Property Acquisition Policies Act of 1970.
See template
See template
South Coast Air Quality Management District Form 400 A
PDF template
Official form for applying for equipment or process permits with the South Coast Air Quality Management District.
See template
See template
Cat Adoption Interest Application
PDF template
A comprehensive form for individuals interested in adopting a cat, requiring detailed personal and household information.
See template
See template
Official Form 410 Proof Of Claim
PDF template
A standardized form used to file a claim for payment in a bankruptcy case, detailing creditor information and claim specifics.
See template
See template
Grant Files Inventory Form
PDF template
A comprehensive inventory guide for documenting and organizing grant-related files and documents across various categories.
See template
See template
KirschsteinNRSA Individual Fellowship Application Checklist
PDF template
Comprehensive application form for National Research Service Award (NRSA) individual fellowship from the Public Health Service (PHS)
See template
See template
MIP Invoice Template
PDF template
Detailed instructions for completing and submitting quarterly invoices for grant deliverables and reimbursements.
See template
See template
Grant Application Detailed Budget
PDF template
Comprehensive budget form for documenting grant expenses across multiple categories and funding sources for a housing and urban development project.
See template
See template
Internship Application
PDF template
A comprehensive form for students seeking an internship at Wednesday Journal Publications, capturing personal details, availability, and career aspirations.
See template
See template
Statement Of Reaffirmation Of Tax Exemption (Form 451A)
PDF template
A form for qualifying organizations to maintain property tax exemption status by confirming property use has not changed.
See template
See template
DS 11 Passport Form
PDF template
Comprehensive guide for completing the DS-11 passport application form, including printing and filling out requirements.
See template
See template
Student User Guide For Internship Application Via Digital Platform
PDF template
A comprehensive guide for students to apply for internships using the OASIS digital platform, including login, application, and approval processes.
See template
See template
Implementation Guidelines For Authorizing Payment Of Travel Expenses For Candidates Pre Employment I
PDF template
Guidelines for payment of travel expenses for job candidates' interviews and new appointees' relocation costs at USAID.
See template
See template
Form 480.80 Fiduciary Income Tax Return (Estate Or Trust)
PDF template
Tax return form for estates and trusts in Puerto Rico, used to report income and tax liability for fiduciary entities
See template
See template
SI 2047 Your Disability Benefit Claim
PDF template
Comprehensive guide and forms for applying for disability insurance benefits, including instructions for claim submission and potential benefit reductions.
See template
See template
Multi Purpose Loan Application Form (MPLAF)
PDF template
A comprehensive loan application form for Pag-IBIG members seeking housing or non-housing related loans.
See template
See template
Personal Data Record
PDF template
A comprehensive reference document helping job seekers compile and organize personal information for employment applications.
See template
See template
All About Me Form Template
PDF template
A compilation of various form templates including registration, job application, and personal information forms.
See template
See template
MOGO Albania Assignment Agreement
PDF template
A comprehensive legal document outlining the terms and conditions for loan assignment between a loan originator and an assignee through the Mintos platform.
See template
See template
AP 3C3A(B) Claim For AbsenceTravel Reimbursement
PDF template
Guidelines and process for obtaining reimbursement for authorized travel expenses within the Kern Community College District.
See template
See template
Four Corners Dressage And Combined Training Association Membership Application Form
PDF template
Membership application form for Four Corners Dressage and Combined Training Association with various membership levels and waivers.
See template
See template
UCIAA Chapter Contact Form
PDF template
Application form for potential leadership members of a UCI Alumni Association chapter, outlining expectations and contact information collection.
See template
See template
Loan Information Form Regarding A Consumer Credit
PDF template
Detailed form providing loan terms and conditions for a cash loan from Ducatos Sp. z o.o.
See template
See template
4 H Club Individual Reimbursement Form
PDF template
Form for 4-H Club members to request reimbursement for personal expenses incurred for club activities.
See template
See template
4 H Annual Financial Statement
PDF template
Annual financial reporting form for 4-H clubs and committees to document income, expenses, and account balance for the fiscal year.
See template
See template
4 H Volunteer Application Process
PDF template
Comprehensive guide for individuals interested in becoming a 4-H volunteer, outlining the application steps and requirements.
See template
See template
4 H Youth Development Volunteer Application Form
PDF template
A comprehensive application form for potential volunteers with New Mexico State University 4-H Youth Development program, including background disclosure and contact information.
See template
See template
Research Grant Application Checklist
PDF template
A comprehensive checklist for submitting a Public Health Service (PHS) research grant application with various application type options and administrative details.
See template
See template
Application For Theater School Property Tax Exemption
PDF template
Form for claiming property tax exemption for corporations operating dramatic arts schools in Texas under specific qualifying conditions.
See template
See template
Business Survey Form
PDF template
A comprehensive survey form for collecting business and owner information for a potential loan application or financing request.
See template
See template
NCTC Event Application
PDF template
Application form for scheduling and managing events at the U.S. Fish and Wildlife Service National Conservation Training Center.
See template
See template
Disability Claim Application Forms
PDF template
Comprehensive documentation requirements for submitting a disability insurance claim with multiple form and document submission instructions.
See template
See template
Minnesota State Colleges And Universities System Procedures Travel Management
PDF template
Comprehensive guidelines for travel authorization, approval, and reimbursement for employees, trustees, and students within the Minnesota State Colleges and Universities system.
See template
See template
Minnesota State Colleges And Universities System Procedures Chapter 5 Administration
PDF template
Procedures for managing special expenses and expense allowances for system employees in the Minnesota State Colleges and Universities system.
See template
See template
Form To Be Filled By Appointee On Stipendiary Assignments Of DJST
PDF template
Application form for candidates seeking stipendiary assignments at Seth G.S. Medical College & K.E.M. Hospital Diamond Jubilee Society Trust
See template
See template
Form 4 Statement Of Changes In Beneficial Ownership Of Securities
PDF template
Official SEC form documenting changes in beneficial ownership of securities for a reporting individual.
See template
See template
Annual Contributions Contract HUD 53012 (ACC)
PDF template
A grant agreement between HUD and Housing Agencies establishing terms and conditions for public housing programs.
See template
See template
Chronic Illness Benefit Application Form 2013
PDF template
Medical application form for registering chronic illness benefits with Discovery Health Medical Scheme for the year 2013
See template
See template
Canva Pro For Non Profits Application Instructions
PDF template
Step-by-step instructions for non-profit organizations to apply for Canva Pro at no cost through their dedicated non-profit program.
See template
See template
T S IRWMA Project Submission Form
PDF template
A form for submitting projects for potential grant funding within the T-S IRWM Watershed Advisory Committee region.
See template
See template
Petty Cash Procedure 5.5P
PDF template
Guidelines for reimbursing petty cash expenses with a maximum limit of $100 per transaction.
See template
See template
Expenses
PDF template
Policy governing travel, meal, and lodging expense reimbursement for employees of Sterling Public Schools CUSD #5.
See template
See template
Employee Estimated Expense Approval Form
PDF template
A form for employees to request approval and reimbursement for estimated travel and business expenses.
See template
See template
560 Expenses
PDF template
Policy governing employee expense reimbursement, travel costs, and advancement procedures for the Kenilworth School District.
See template
See template
Expenses Policy
PDF template
Policy defining expense reimbursement guidelines and procedures for school district employees and administrators.
See template
See template
General Personnel Expenses
PDF template
Policy governing employee expense reimbursements, advancements, and documentation requirements for official business expenses.
See template
See template
Form 8 K
PDF template
Securities and Exchange Commission filing by Ingevity Corporation providing current business report information.
See template
See template
UNHCR Internship Scheme Application Form
PDF template
Application form for internship opportunities with the United Nations High Commissioner for Refugees (UNHCR)
See template
See template
Fund Contribution Form
PDF template
A form for making financial contributions to a fund through the Community Foundation of Greater Des Moines.
See template
See template
Convocation 2011 Application For Graduation
PDF template
Official notice for students to apply for graduation by submitting required documents and forms to Eastern West University.
See template
See template
ToR CHAT Mobile Game App Improvement
PDF template
A consultancy contract for improving CARE's Sexual Reproductive Health mobile game application to enhance accessibility and user engagement for factory workers.
See template
See template
F.249 (6 18) Funds Transfer Request Form
PDF template
A form for requesting fund transfers by commercial, non-commercial, and third-party organizations through the United Nations payment system.
See template
See template
Financial Assessment Form
PDF template
A comprehensive form for collecting personal and parental financial information, typically used for student financial aid or scholarship applications.
See template
See template
Reimbursement For Expenses Procedures
PDF template
Comprehensive procedure detailing travel expense reimbursement guidelines for Northwest Educational Service District 189 employees.
See template
See template
Underwriting Agreement
PDF template
Underwriting agreement for the issuance of First Mortgage Bonds by Commonwealth Edison Company in two series with specific terms and conditions.
See template
See template
Application For Graduation 22nd Convocation 2023
PDF template
Official document providing instructions for students to apply for graduation at East West University for the 22nd Convocation in 2023.
See template
See template
Visa Application Form For Bangladesh
PDF template
Comprehensive visa application form for individuals seeking entry into Bangladesh, covering personal, professional, and travel details.
See template
See template
Credit Application Form
PDF template
A comprehensive form for businesses seeking credit terms and establishing a financial relationship with a vendor or service provider.
See template
See template
Carl Moyer Diesel Emissions Reduction Program Annual Report
PDF template
Guidelines for annual reporting requirements for diesel emissions reduction grant recipients covering operational data and compliance verification.
See template
See template
Administrative Internship Application Form
PDF template
A comprehensive application form for individuals seeking an administrative internship in an educational setting.
See template
See template
Credit Application Form
PDF template
A comprehensive form for businesses to apply for credit with financial details and references.
See template
See template
Reimbursement For Travel Related Expenditures
PDF template
Policy outlining guidelines for travel expense reimbursement for faculty, staff, administrators, students, and non-employees traveling on behalf of the College.
See template
See template
Form A DIP 1 (Rev)
PDF template
Official form for passport application for persons above 12 years, collecting personal and demographic information.
See template
See template
Purchase Form
PDF template
Form for investors to request additional unit purchases in the Circle Fund, including details about the source of investment funds.
See template
See template
Children With Disabilities Community Services Program (CDCS) Application
PDF template
Detailed guidelines for application and eligibility determination for children with disabilities community services program in West Virginia.
See template
See template
IMM 5257 E Application For Temporary Resident Visa
PDF template
Official Canadian visa application form for temporary visitors, detailing the application process and requirements for entering Canada.
See template
See template
Gibraltar Residency Application
PDF template
A comprehensive overview of letters of intent for residency applications, explaining their purpose, benefits, and strategic writing approach.
See template
See template
N 400 Citizenship Application Form
PDF template
Official form for individuals applying for U.S. citizenship, detailing online and paper filing options for the naturalization process.
See template
See template
Rental Application Form BC
PDF template
Official document for prospective tenants to apply for rental housing in British Columbia, containing tenancy-related forms and guidelines.
See template
See template
Interest Only Loan Agreement Template
PDF template
A concise, single-page legal document outlining the terms and conditions of a loan between two parties.
See template
See template
Ontario Rental Application Form 410
PDF template
A standard rental application form used by landlords in Ontario to screen potential tenants and gather essential applicant information.
See template
See template
Ontario Rental Application Form 410
PDF template
A legal document used by tenants to outline their intent to lease a property, containing crucial details about rental terms, rent, and deposits.
See template
See template
California Rental Application Form
PDF template
A legal document for landlords to collect personal and employment information from potential tenants with specific fee regulations in California.
See template
See template
66 R 4 Student Senate Resolution In Support Of The Student Organization Commission Segregated Fee Bu
PDF template
A student senate resolution supporting a change in the segregated funding budget form used by the Student Organization Commission at UW-Eau Claire.
See template
See template
Form DS 11
PDF template
Instructions for applying for a U.S. passport using Form DS-11, including online application process and special circumstance forms.
See template
See template
California Rental Application Form
PDF template
A form used by landlords to screen potential tenants, collecting personal and work information with permission for a credit check.
See template
See template
Uniform Residential Loan Application (URLA) Form 1003
PDF template
A standardized form used by lenders to collect borrower information for mortgage loan applications, ensuring fair lending practices.
See template
See template
Form 8 K
PDF template
Securities and Exchange Commission filing providing a current report for QuidelOrtho Corporation as of April 25, 2024.
See template
See template
Child And Adult Care Food Program Site Application
PDF template
Application form for sites participating in the Child and Adult Care Food Program (CACFP) to provide nutritional services.
See template
See template
Tier 2 Retirement Checklist
PDF template
Comprehensive checklist for Tier 2 retirement application process, detailing required forms and documentation for pension and benefits
See template
See template
Travel Expenses Policy
PDF template
Policy governing travel expenses, reimbursement, and authorization for university business travel.
See template
See template
Special Power Of Attorney
PDF template
A legal document allowing appointment of an attorney-in-fact to make retirement-related decisions for a CalPERS member.
See template
See template
Form 4 Statement Of Changes In Beneficial Ownership
PDF template
United States Securities and Exchange Commission form documenting changes in beneficial ownership of securities for a corporate director
See template
See template
PTA Annual AuditFinancial Review Form
PDF template
A comprehensive financial audit form for PTA organizations to document their annual financial review and compliance with bylaws.
See template
See template
Form 8 K
PDF template
Securities and Exchange Commission filing by Premier, Inc. reporting current financial and business events
See template
See template
Form Of Acceptance And Transfer For Offer Shares (FAT)
PDF template
A form for shareholders to accept a voluntary conditional general offer for shares in Singapore Medical Group Limited, with options for cash or share consideration.
See template
See template
Procedures Purchasing, Procurement And Reimbursements
PDF template
Comprehensive guide detailing procedures for purchasing and procurement within an organization, outlining purchase categories, approval processes, and responsible parties.
See template
See template
STATE OF FLORIDA DEPARTMENT OF TRANSPORTATION PUBLIC TRANSPORTATION GRANT AGREEMENT
PDF template
A grant agreement between the Florida Department of Transportation and a recipient agency for public transportation funding and project support.
See template
See template
DCTC Procedure 7.3.3.1 Purchasing Cards
PDF template
Policy governing the issuance and use of purchasing cards by Dakota County Technical College employees for institutional expenses.
See template
See template
Form 8 K Current Report
PDF template
Securities and Exchange Commission current report filing by Arrow Electronics, providing mandatory financial disclosure information.
See template
See template
Sample Form Application For Assistance
PDF template
A comprehensive form for individuals seeking housing assistance, collecting personal, income, and household information.
See template
See template
Section 74(B) Clean Bus Energy Grant
PDF template
A grant program to replace diesel school buses with electric, propane, and compressed natural gas buses to reduce emissions and improve air quality.
See template
See template
NEH Budget Form
PDF template
Budget form for documenting project costs and funding from the National Endowment for the Humanities for an educational project.
See template
See template
National Endowment For The Humanities Budget Form
PDF template
Budget form for a project involving Anne Arundel County Public Schools and Maryland State Archives, detailing project costs and funding sources.
See template
See template
Venture SE Minnesota Diversification Loan Fund Amendment
PDF template
Legislative amendment establishing a revolving loan program for businesses in southeastern Minnesota, focusing on specific industries and economic development.
See template
See template
Smedley Fund Contribution Form
PDF template
A donation form for contributing to the Toastmasters International Smedley Fund with multiple contribution options and payment methods.
See template
See template
Montana Judicial Branch Administrative Policies Judicial Branch Travel
PDF template
Policy governing travel requirements, reimbursement, and guidelines for Montana Judicial Branch officials and employees.
See template
See template
Application Form 1 Certification Of Application Information
PDF template
A grant application form for graduate medical education expansion funding from the Texas Higher Education Coordinating Board with application certification requirements.
See template
See template
IT Spend And Infrastructure Breakdown
PDF template
Annual financial report detailing technology infrastructure spending across hardware, software, and IT services for two consecutive fiscal years.
See template
See template
Financial Assessment Form
PDF template
A comprehensive form for documenting personal monthly income, expenses, assets, and liabilities.
See template
See template
Form 802General Information (Periodic Report Nonprofit Corporation)
PDF template
A statutory filing form for nonprofit corporations to report director and officer information to the Texas Secretary of State.
See template
See template
Purchasing Policy 803.1
PDF template
Comprehensive policy for purchasing commodities and services at Bismarck State College, outlining procurement requirements based on purchase price thresholds.
See template
See template
Taipei Medical University Graduation Application Form
PDF template
A form for Taipei Medical University students to apply for graduation and submit required thesis documentation.
See template
See template
U Of N Application For Graduation Form
PDF template
Official form for students to apply for graduation at the University of Nations, documenting academic history and degree completion requirements.
See template
See template
Residential Lease Application
PDF template
A comprehensive form for individuals seeking to rent a residential property, collecting personal details and rental preferences.
See template
See template
Common Report Form Cover Sheet
PDF template
A standard reporting form for nonprofit organizations to document grant details, results, and financial information for Philanthropy Network Greater Philadelphia.
See template
See template
Mileage Reimbursement Procedure
PDF template
Procedure for requesting reimbursement for personal vehicle use on county business, detailing submission requirements and documentation process.
See template
See template
Visiting Student Audit Form
PDF template
Application form for non-current Rice University students seeking to register or audit courses.
See template
See template
City Of Ketchikan Grant Application Form
PDF template
A form for non-profit humanitarian agencies to apply for annual operational funding from the City of Ketchikan and Ketchikan Public Utilities.
See template
See template
Security Incident Report
PDF template
Official form for documenting security incidents at the Mississippi State Department of Health's Office of Health Informatics.
See template
See template
Schengen Visa Application Form
PDF template
Comprehensive guide for completing the Schengen visa application form for travelers visiting multiple European countries within the Schengen Area.
See template
See template
OneSIPP BeneficiaryS Drawdown Pension Application Form
PDF template
Application form for inheriting pension funds and establishing beneficiary drawdown or transferring existing dependent's pension benefits.
See template
See template
Surface Water Grant Application (Form 8700 284)
PDF template
Detailed guide for organizations seeking surface water grant funding in Wisconsin, outlining application process, eligibility, and key deadlines.
See template
See template
Leyden Community High School District 212 Regular Board Of Education Meeting Agenda
PDF template
Agenda for the regular meeting of Leyden Community High School District 212 Board of Education, including budget hearing and policy approvals.
See template
See template
Joint Federal And State Application Form For Activities Affecting Waters Of The United States Or Cri
PDF template
A joint federal and state permit application for activities affecting navigable waters and critical areas in South Carolina.
See template
See template
Bank Of Industry Loan Application Form
PDF template
A comprehensive loan application form for small and medium enterprises seeking financial support from the Bank of Industry in Nigeria.
See template
See template
Form 8 K
PDF template
Securities and Exchange Commission filing providing a current report for Burlington Northern Santa Fe, LLC as of June 7, 2022
See template
See template
Form 8 K
PDF template
A Securities and Exchange Commission current report filing by AT&T providing mandatory corporate disclosure.
See template
See template
NFA Registration Application
PDF template
Comprehensive registration application for individuals or entities seeking to register with the National Futures Association, with detailed instructions and disclosure requirements.
See template
See template
Administrative Policy And Procedures Manual 901 REIMBURSABLE BUSINESS RELATED EXPENSES
PDF template
Policy outlining the Judicial Branch's guidelines for employee reimbursement of job-related expenses and travel.
See template
See template
Grantee Budget Form
PDF template
Detailed budget form for documenting research grant expenses and personnel allocations across various cost categories.
See template
See template
Contracts And Grants Policy
PDF template
Policy governing the management of sponsored funds, award administration, and expenditure guidelines for university grants and contracts.
See template
See template
Directive 9.12 Travel
PDF template
Guidelines and procedures for Columbus Police Division personnel traveling on official city business, including reimbursement and expense policies.
See template
See template
Malawi Passport Application Form
PDF template
Official document for applying for a passport in Malawi, with guidance on digital application and signature processes.
See template
See template
HUD 92403 CA Requisition For Disbursement Of Funds
PDF template
Official U.S. Department of Housing and Urban Development form for requesting disbursement of capital advance funds for housing projects.
See template
See template
HUD 92403 CA Requisition For Disbursement Of Funds
PDF template
Official U.S. Department of Housing and Urban Development form for requesting disbursement of capital advance funds for housing projects.
See template
See template
Joint Committee Meeting Agenda
PDF template
Agenda for a multi-committee meeting discussing budget, contracts, and operational matters for a local government or organization.
See template
See template
SUPPLEMENTAL APPLICATION FORM
PDF template
A comprehensive form for businesses to provide detailed ownership, licensing, and contact information for state registration purposes.
See template
See template
Community Advisory Group Application For Membership
PDF template
Application for local residents to join a community advisory group for Wolverine World Wide contamination sites cleanup process.
See template
See template
Form 8 K
PDF template
Securities and Exchange Commission filing providing current information about the company's status and activities.
See template
See template
FORM 10 Q
PDF template
Quarterly financial report filed with the U.S. Securities and Exchange Commission for the period ended March 31, 2024.
See template
See template
990 Tax Form
PDF template
Document providing contact information for requesting the organization's 990 tax form
See template
See template
Rental Application Form
PDF template
A comprehensive rental application for housing at the University of Texas Southwestern Medical Center's apartment complex for medical professionals and students.
See template
See template
Input Sheet For City1.XLS Budget Form
PDF template
Budget input form for a city, capturing financial details, fund names, tax levies, and expenditure information for the fiscal year 2014.
See template
See template
Questions And Answers About Virginia HousingS PDC Housing Development Grant
PDF template
A document providing clarification and guidance on the usage of Virginia Housing's PDC Housing Development Grant for affordable housing projects.
See template
See template
Charter Schools Division (CSD) Summary Of Kubiak Melton Associates, Auditors, Report
PDF template
Audit summary highlighting financial irregularities and compliance issues for The Great Academy and its Foundation from 2016 to 2022.
See template
See template
Conference And Travel RequestExpense Claim Form
PDF template
A comprehensive form for requesting and claiming conference and travel expenses for district employees.
See template
See template
U.S. Coast Guard Auxiliary 9CR Claim For Reimbursement Travel Form
PDF template
Official form for Coast Guard Auxiliary members to claim out-of-pocket travel expenses for reimbursement.
See template
See template
Application For A Visa Republic Of Namibia
PDF template
Official document providing instructions and information for obtaining a visa to enter the Republic of Namibia.
See template
See template
Volunteer Service Request Form
PDF template
Comprehensive form for individuals seeking to volunteer in church ministries, gathering personal information, background details, and availability.
See template
See template
GASLINI INTERNATIONAL PEDIATRIC FELLOWSHIP PROGRAM APPLICATION FORM
PDF template
Application form for medical professionals seeking a fellowship at IRCCS Istituto Giannina Gaslini's pediatric program.
See template
See template
Retail License Application Instructions
PDF template
Comprehensive instructions for applying for a retail alcohol license from the Virginia Alcoholic Beverage Control Authority (ABC)
See template
See template
Non Member Volunteer Application
PDF template
Application form for non-member volunteers interested in various roles within Girl Guides of Canada, requiring screening and potential police records check.
See template
See template
A8.930 Service Orders To The Research Corporation Of The University Of Hawaii
PDF template
Administrative procedure outlining guidelines for service orders to the Research Corporation of the University of Hawaii for extramural and intramural funded projects.
See template
See template
AZA Standardized Research Application Form
PDF template
A comprehensive form for facilitating research proposal submissions by AZA accredited zoos and aquariums, designed to streamline the application and review process.
See template
See template
FORM 10 KA (Amendment No. 1)
PDF template
Annual report amendment filing by Synacor, Inc. with the United States Securities and Exchange Commission
See template
See template
BOARD OF DIRECTORS AND EXECUTIVE COMMITTEE TRAVEL OTHER EXPENSE POLICY, PROCEDURES, AND LIMITATIONS
PDF template
Policy detailing travel expense reimbursement guidelines for Board of Directors and Executive Committee members of an organization.
See template
See template
BOARD OF DIRECTORS AND EXECUTIVE COMMITTEE TRAVEL OTHER EXPENSE POLICY, PROCEDURES, AND LIMITATIONS
PDF template
Policy outlining travel expense reimbursement guidelines for Board of Directors and Executive Committee members of the Academy.
See template
See template
THE AAFFABER YOUNG CONDUCTORS FELLOWSHIP APPLICATION FORM 2024
PDF template
Application form for the AAF Young Conductors Fellowship program for emerging conductors born in 1994 or later.
See template
See template
A Agreement Form
PDF template
A document outlining eligibility rules and requirements for students receiving A+ educational funding benefits at East Central College.
See template
See template
Grant Request Budget Form
PDF template
Budget form for administrative grant funding for courthouse lactation room installations under AB196.
See template
See template
A Basic Guide To Grants, Program Design, Grant Writing For Grant Seekers
PDF template
A comprehensive guide to understanding grant types, funding sources, program design, and grant writing for higher education institutions.
See template
See template
Application Form For Board Certification As A Specialist Child Language
PDF template
Application form for professionals seeking board certification in child language specialization from the American Board of Child Language and Language Disorders.
See template
See template
Contribution Form
PDF template
A form for making financial contributions to an ABLE (Achieving a Better Life Experience) United account for individuals with disabilities.
See template
See template
Single Submission Form
PDF template
A common document for submitting bond and note issuance applications to regulatory, listing, and registration authorities in ASEAN+3 participating markets.
See template
See template
Ronald McDonald House Charities Grant Application Form
PDF template
A comprehensive grant application form for organizations seeking funding from Ronald McDonald House Charities
See template
See template
Annual Budget Plan
PDF template
Detailed budget plan for special education funding and expenditures for fiscal year 2019-20 by the California Department of Education.
See template
See template
Accelerated Bachelor Of Science In Nursing (ABSN) Checklist Form
PDF template
A comprehensive application checklist for students applying to an Accelerated Bachelor of Science in Nursing program with detailed submission requirements.
See template
See template
FORM DBPR ABT 6033 QUOTA BEVERAGE LICENSE DRAWING ENTRY FORM
PDF template
Form for entering the annual quota beverage license drawing to establish priority for license applications in a specific Florida county.
See template
See template
ACA SS PD Committee Guidelines
PDF template
Guidelines for managing professional development funds and activities for academic faculty, detailing eligible expenses and funding allocation.
See template
See template
Supplemental Academic Employment Application Form
PDF template
Employment application form for academic positions at California State Polytechnic University, Pomona with consent for background verification.
See template
See template
AccelerateTT Fund Invitation For Submission Of Proposals
PDF template
An invitation by the Hellenic Development Bank of Investments to participate in venture capital funds supporting technology transfer, research, innovation, and start-ups.
See template
See template
VolunteerIntern Application Form
PDF template
Comprehensive application form for individuals seeking volunteer or internship opportunities with ACCEPT organization in Reno, Nevada.
See template
See template
Grant Application Form
PDF template
A grant application for Canadian charities seeking funding to improve healthcare access for marginalized populations, with a focus on Ontario communities.
See template
See template
RESEARCH GRANT APPICATION FORM
PDF template
Guidelines and application procedures for research grants at Cameron University for faculty, staff, and faculty-sponsored students.
See template
See template
ERAIDER REQUEST FORM
PDF template
Form for non-TTUHSC employees to request an eRaider account, specifying access requirements and responsibilities.
See template
See template
AMERICAN CERAMIC CIRCLE RESEARCH GRANT APPLICATION FORM
PDF template
A comprehensive application form for research grants offered by the American Ceramic Circle to support scholarly research projects.
See template
See template
Credit Application Form
PDF template
A credit application form for businesses seeking to establish a credit account with Guhring Pty Ltd, including contact and payment terms information.
See template
See template
SITECH Credit Application Form
PDF template
A comprehensive credit application form for businesses seeking to establish a trade credit account with SITECH Construction Systems Pty Ltd.
See template
See template
Cash Transfer Request
PDF template
A form used to transfer cash between funds within an organization, limited to local funds only.
See template
See template
Multi Location Travel Expense Reimbursement Request
PDF template
A comprehensive form for employees and students to request reimbursement for travel-related expenses at North Dakota State University.
See template
See template
Travel Expense Reimbursement Request
PDF template
A form for employees and students to request reimbursement for travel-related expenses at North Dakota State University.
See template
See template
ACE Austin Alumni Scholarship Form
PDF template
A one-time $2,500 scholarship for former ACE Austin students pursuing higher education in related fields, with specific eligibility requirements.
See template
See template
Accelerated BSN Program Essay, Checklist Prerequisite Completion Form
PDF template
Application form for Southern CT State University's Accelerated Bachelor of Science in Nursing (BSN) program, detailing prerequisites and application requirements.
See template
See template
Surface Water Grant AIS Small Scale Population Management
PDF template
Grant award for a 3-year aquatic invasive species control project for Golden Lake covering the period from 2024-2026.
See template
See template
ACF Performance Progress Report
PDF template
A federal grant reporting form used by recipients to document performance and activities for grant-funded projects.
See template
See template
Albany Center Gallery Internship Application Form
PDF template
Application form for internship opportunities at Albany Center Gallery, targeting students interested in art and gallery operations.
See template
See template
Request To Cancel Automated Clearing House (ACH) Origination
PDF template
A form to request cancellation of automated clearing house transactions at Intrepid Credit Union
See template
See template
Retirement Contribution Form
PDF template
A form for employers to set up electronic fund transfer (EFT) contributions to employee retirement accounts, specifically 403(b) and other retirement plans.
See template
See template
ACH VendorMiscellaneous Payment Enrollment Form
PDF template
Official form for enrolling in Automated Clearing House (ACH) electronic payment processing with payment-related information submission.
See template
See template
ACH VENDORMISCELLANEOUS PAYMENT ENROLLMENT FORM
PDF template
A form used for setting up automated electronic payments through the Vendor Express Program with payment details and financial institution information.
See template
See template
MEMBERSHIP FORM
PDF template
A form for individuals and organizations to apply for membership in the ACMi community organization.
See template
See template
ACORD 66 MA
PDF template
Insurance application form for property coverage with detailed submission instructions and legal notices.
See template
See template
ACORD 131
PDF template
Standard insurance policy application form for capturing liability and policy details across multiple insurance categories.
See template
See template
Insurance Application Form
PDF template
Comprehensive insurance application form for property coverage with multiple sections for property details, coverage options, and risk assessment.
See template
See template
ACRO Police Certificate Application Guidance Notes
PDF template
Instructions for obtaining a police certificate for visa applications to specific countries, including payment and processing details.
See template
See template
Confidential Credit Application
PDF template
A credit application form for businesses seeking credit facilities with the Acrow Group of Companies.
See template
See template
Confidential Credit Application
PDF template
A comprehensive credit application form for businesses seeking credit facilities with Acrow Group of Companies.
See template
See template
ACSA Santa Clara County Region 8 Expense Voucher
PDF template
A reimbursement form for expense claims by members of the Association of California School Administrators in Santa Clara County Region 8.
See template
See template
Volunteer Application Form
PDF template
Application form for individuals interested in volunteering with Ancaster Community Services, covering personal details and volunteer preferences.
See template
See template
Actor Internship Application Form
PDF template
Comprehensive application form for actors seeking an internship with Saltmine Trust, requiring personal, background, spiritual, and educational information.
See template
See template
Credit Application
PDF template
A comprehensive credit application form for businesses seeking to establish a business account with Activation Laboratories Ltd.
See template
See template
Actual Expense Transfer Request Form
PDF template
Form for correcting, allocating, and transferring actual expense posted transactions within an organization.
See template
See template
Employee Application For Reimbursement Of Expenses Incurred Upon Sale Or Purchase (Or Both) Of Resid
PDF template
Government form for employees to claim reimbursement for relocation-related real estate expenses when changing official work station.
See template
See template
Reimbursement Or Advance Of Funds Agreement
PDF template
A government form for documenting financial agreements between agencies for service reimbursement or funds advancement.
See template
See template
Ukrpozyka Assignment Agreement
PDF template
A legal document outlining the terms and conditions for transferring a loan claim between a loan originator and an assignee.
See template
See template
Americans With Disabilities Act (ADA) Paratransit Application
PDF template
Application for individuals with disabilities seeking paratransit transportation services in Broward County, Florida.
See template
See template
Guide To Sponsored Projects Development
PDF template
A comprehensive guide for faculty and staff on university research policies, grant funding procedures, and proposal management at Youngstown State University.
See template
See template
Guide To Sponsored Projects Development
PDF template
A comprehensive guide for faculty and staff on research grant funding, proposal development, and award management at Youngstown State University.
See template
See template
Business Loan Application Checklist
PDF template
Comprehensive checklist and fee structure for business loan applications at the African Development Center in Minnesota.
See template
See template
Reimbursement Of Travel Expenses For AdCom Members
PDF template
Policy detailing travel expense reimbursement guidelines for AdCom members, including maximum allowable amounts and submission requirements.
See template
See template
Addendum Number 1 To Coordinating Institution Transfer Agreement
PDF template
An addendum modifying a previous transfer agreement between the Organization of American States and Fundao O Boticrio for biodiversity network activities.
See template
See template
Additional Particulars Form Indian Visa
PDF template
A form for providing supplementary personal details required for visa application to India for foreign travelers.
See template
See template
Request For Proposals National Mortgage Settlement Funds
PDF template
Detailed budget proposal form for applicants seeking funds from the National Mortgage Settlement program, requiring comprehensive financial documentation.
See template
See template
Adjustment Of Encumbrance
PDF template
A government form for adjusting financial encumbrances within the current fiscal year for transactions and purchase orders.
See template
See template
Analytical And Diagnostics Laboratory (ADL) Application For Small Grants To Cover User Fees
PDF template
Grant application for faculty research support to cover user fees at the Analytical and Diagnostics Laboratory, offering up to $2,500 for research-related expenses.
See template
See template
Volunteer Application And Commitment
PDF template
Comprehensive application for individuals seeking to volunteer with an organization, collecting personal, contact, and availability information.
See template
See template
ADM.FRM.1.001, FACT Travel Expense Reimbursement Form
PDF template
A form for submitting and documenting travel-related expenses for reimbursement by FACT organization.
See template
See template
Summer Internship Application Form
PDF template
Application form for students seeking a summer internship at AdminaHealth, requiring candidates to be 18+ and submit a complete application package.
See template
See template
Admission Information Cuyamaca College 2024 2025
PDF template
Comprehensive guide detailing steps for applying and enrolling at Cuyamaca College, including online application process and account creation.
See template
See template
Nonprofit Licensing Overview Adobe Creative Cloud
PDF template
A comprehensive guide to Adobe Creative Cloud licensing options for nonprofit organizations, detailing software access, benefits, and deployment strategies.
See template
See template
COMMON SHORT CODE APPLICATION FORM
PDF template
Application form for requesting short code registration with Canadian wireless telecommunications carriers.
See template
See template
Common Short Code Application Form
PDF template
Application form for requesting common short codes for mobile messaging services from Canadian Wireless Telecommunications Association (CWTA).
See template
See template
AdobeCC ETLA
PDF template
Guidelines for students to apply for Adobe Creative Cloud license under the Enterprise Term License Agreement at Daitemae Gakuen.
See template
See template
AdobeCC ETLA
PDF template
Guidelines for students to apply for Adobe Creative Cloud license under the Enterprise Term License Agreement at Daitemae Gakuen.
See template
See template
Adoption Approval Form
PDF template
A comprehensive form for prospective adopters seeking to adopt an off-track Thoroughbred horse from CANTER Michigan.
See template
See template
Adoption Agreement
PDF template
A comprehensive adoption agreement for pet adoption, outlining medical information, fees, and adoption terms.
See template
See template
Adoption Expenses Reimbursement Form For Lifesong For Orphans
PDF template
A form for submitting and tracking adoption-related expenses for reimbursement by Lifesong for Orphans.
See template
See template
Adoption Assistance Reimbursement Form
PDF template
Form for employees to request reimbursement for qualified adoption expenses through the university's adoption assistance program.
See template
See template
Adoption Benefit Financial Reimbursement Form
PDF template
A form for employees to request financial reimbursement for eligible adoption-related expenses up to $5,000 per child.
See template
See template
Hospice Volunteer Application Form
PDF template
A comprehensive application form for individuals interested in becoming hospice volunteers, collecting personal, contact, and background information.
See template
See template
Cooper University Hospital Volunteer Program Adult Volunteer Application Form
PDF template
Application form for adults interested in volunteering at Cooper University Hospital, capturing personal details, skills, and volunteer preferences.
See template
See template
Adult License Application
PDF template
Application for obtaining an adult entertainment business license in the City of New Port Richey, Florida.
See template
See template
VOLUNTEER APPLICATION FORM
PDF template
A comprehensive form for individuals seeking to volunteer, collecting personal, employment, educational, and legal background information.
See template
See template
18 Volunteer Form
PDF template
Volunteer registration form for individuals 18 and older, including background check authorization and liability waiver for Miracle League of Corpus Christi.
See template
See template
Volunteer Processing Information
PDF template
Detailed guide for becoming a volunteer with First Tee, outlining application steps and opportunities for community youth engagement.
See template
See template
Volunteer Application Form
PDF template
Comprehensive form for individuals seeking to volunteer at Cape Fear Valley Health System medical facilities.
See template
See template
Eden Mill Nature Center Adult Volunteer Application Form
PDF template
An application form for adults interested in volunteering at Eden Mill Nature Center with various volunteer opportunities and a code of conduct.
See template
See template
4 H Volunteer Application Form
PDF template
A comprehensive form for potential 4-H volunteers to provide personal, demographic, and background information for volunteer consideration.
See template
See template
Adult Volunteer Application
PDF template
Application for adults interested in volunteering at the Westland Public Library in various capacities.
See template
See template
ONE YEAR ADVANCED ENDOSCOPY FELLOWSHIP APPLICATION
PDF template
Comprehensive application form for medical professionals seeking a one-year advanced endoscopy fellowship at the University of Missouri's Division of Gastroenterology & Hepatology.
See template
See template
Advanced Illness Benefit Application Form
PDF template
Application form for palliative care through the Advanced Illness Benefit for advanced cancer/oncology care by BEMAS medical aid scheme.
See template
See template
Palliative Care Application Form
PDF template
Application form for palliative care through the Advanced Illness Benefit for cancer or non-oncology conditions.
See template
See template
ADVANCE TRAVELREGISTRATION REQUEST FORM
PDF template
A form for employees to request and obtain approval for official state business travel and conference registration.
See template
See template
Professional Activity Advance Travel Request
PDF template
A form for requesting and obtaining approval for professional development activities and associated travel expenses.
See template
See template
Family Leader Evaluation Form
PDF template
A survey form for evaluating the grant proposal review process and providing feedback on scientific proposals.
See template
See template
College Advisory Board Undergraduate Grant Application Form
PDF template
A grant application for undergraduate students in the Dorothy F. Schmidt College of Arts and Letters to support research and creative projects.
See template
See template
Budget Adjustment
PDF template
Comprehensive guide for increasing, decreasing, and transferring funds across budget categories, projects, and tasks.
See template
See template
2022 2025 Investment Management Agreement
PDF template
A three-year investment framework agreement describing performance metrics and funding conditions for Athabasca University's Base Operating Grant.
See template
See template
Pension Application Form
PDF template
Application form for pension benefits through the Australian Expatriate Superannuation Fund, designed for expatriate superannuation members.
See template
See template
Rotary District 5000 Youth Programs Volunteer Affidavit
PDF template
Confidential volunteer background check and affidavit for Rotary International District 5000 youth program volunteers.
See template
See template
2022 Organization Affiliation And Payment Form
PDF template
A form for organizations to affiliate with the California Alliance for Retired Americans (CARA) and pay membership fees based on organization size.
See template
See template
Islamic Republic Of Afghanistan Visa Application Form
PDF template
Comprehensive visa application form for individuals seeking entry into Afghanistan, collecting personal, employment, and travel details.
See template
See template
M0272B Flexible Spending Account Claim Form
PDF template
Form for requesting reimbursement from a Flexible Spending Account for medical and dependent care expenses.
See template
See template
Large Alcohol Fuel Plant Information
PDF template
Instructions and required forms for obtaining a permit as a large alcohol fuel producer from the Alcohol and Tobacco Tax and Trade Bureau.
See template
See template
Armed Forces Retirement Home Volunteer Services Community Volunteer Application
PDF template
Application for individuals interested in volunteering at the Armed Forces Retirement Home, covering personal details and volunteer preferences.
See template
See template
PERSONAL LOAN APPLICATION FORM
PDF template
A comprehensive loan application form for collecting personal and financial information from potential borrowers.
See template
See template
Departmental Pre Travel Form
PDF template
Form for documenting and requesting reimbursement for university-related travel expenses, including domestic and international trips.
See template
See template
RV F1308401
PDF template
Form for agricultural entities to apply for tax exemption by demonstrating farming activities or land ownership.
See template
See template
Agency Account Balance Inquiry Request Form
PDF template
A form for requesting the current balance of an agency account for Middle Georgia State University.
See template
See template
Agency Agreement
PDF template
A template legal document outlining the relationship and responsibilities between a charity and its appointed agent for specific projects.
See template
See template
Form A Monthly Survey Form
PDF template
Monthly reporting form for partner agencies detailing client service information and food distribution statistics.
See template
See template
Purchasing Exception Report FY 2019
PDF template
Report detailing purchasing exceptions for scientific equipment during May-July 2019 fiscal period.
See template
See template
Agent Application Form
PDF template
A comprehensive form for international education agents seeking to represent and refer students to an educational institution or program.
See template
See template
Charitable Organization Annual Report Form
PDF template
Instructions for charitable organizations to file annual reports with the Minnesota Attorney General's Charities Division.
See template
See template
Mutual Cooperation And Support Agreement Between The City Of Palo Alto And Pets In Need
PDF template
An agreement between the City of Palo Alto and Pets in Need for animal care services and collaboration
See template
See template
SubcontractConsultant Invoice Approval Form
PDF template
A form used to approve and verify subcontractor or consultant invoices for research projects, requiring Principal Investigator certification and review.
See template
See template
STATE CENTER COMMUNITY COLLEGE DISTRICT CONTRACTAGREEMENTGRANT APPROVAL COVER SHEET
PDF template
A cover sheet for documenting and approving contracts, agreements, or grants within the State Center Community College District.
See template
See template
AHE Chapter Annual Report Form
PDF template
Annual reporting form for AHE chapter officers to submit organizational details and contact information by January 31st each year.
See template
See template
Instructions For Completion Of Application For Specified Service Authority Allied Health Professiona
PDF template
Detailed guidelines for completing an application for medical staff service authority for allied health professionals at Eaton Rapids Medical Center.
See template
See template
AIGA Minnesota Program Improvement Grant Application
PDF template
A grant application form for funding targeted investments in chapter programming improvements and expansion.
See template
See template
International Artists In Residence Residency Application Form
PDF template
Application form for artists seeking residency at Medalta International Artists in Residence program with multiple session options.
See template
See template
Credit Application Form
PDF template
A comprehensive form for businesses applying for a credit account with AirBench Ltd, requiring company and bank details.
See template
See template
Estimated Project Budget Form
PDF template
A budget estimation form for cultural affairs projects with line items for various project expenses and donations.
See template
See template
Guide For Community Advocates On The Opioid Settlement Alabama
PDF template
A comprehensive guide detailing Alabama's approach to opioid settlement funds, including allocation mechanisms and key settlement details.
See template
See template
Alcon EFCU December 2023 Loan Skip A Payment Request Form
PDF template
A form allowing credit union members to defer a loan payment for one month with specific terms and conditions.
See template
See template
Alexandria Library Foundation Contribution Form
PDF template
A donation form for contributing financial support to the Alexandria Library Foundation with various contribution level options.
See template
See template
Volunteer Application Form
PDF template
Application form for volunteer literacy program at Kankakee Community College
See template
See template
UO Moss Street ChildrenS Center Academic Year 2020 21 Child Care Application
PDF template
Application form for child care services at the University of Oregon Moss Street Children's Center for the 2020-2021 academic year.
See template
See template
Vendor Application 2023 Alliance Farmers Market
PDF template
Application form for vendors interested in participating in the Alliance Farmers Market in Bridgeport, CT, with criteria for selection and product details.
See template
See template
NSERC Alliance Grants
PDF template
Funding program encouraging university researchers to collaborate with partner organizations across private, public, and not-for-profit sectors to generate new knowledge and create benefits for Canada.
See template
See template
Allied, Therapeutic And Psychology Extender Benefit Application Form For 2024
PDF template
Application form for healthcare benefit coverage under the Retail Medical Scheme's Essential Plus Option for allied, therapeutic, and psychology services.
See template
See template
REVISED BUDGET FORM
PDF template
A form for documenting and revising budget line items for a fiscal year grant project.
See template
See template
Bethel Alumni Association Faculty Grant Information
PDF template
Guidelines for Bethel University faculty members applying for alumni association research and professional development grants for the 2023-2024 academic year.
See template
See template
Amahoro Coalition Offline Fellowship Application Form
PDF template
Application form for a 12-month fellowship program targeting entrepreneurs, social change leaders, and forcibly displaced persons.
See template
See template
Graduate Certificate Application Form
PDF template
Application form for graduate students seeking a certificate in behavioral, health, and social science methodologies.
See template
See template
Graduate Certificate Application Form Advanced Methodologies In The Behavioral, Health, And Social
PDF template
Application form for graduate students seeking a certificate in advanced research methodologies across behavioral, health, and social science disciplines.
See template
See template
Amaravati Landless Poor Pension Application
PDF template
Government application form for landless poor individuals seeking pension benefits in Amaravati region.
See template
See template
MultiCare Auburn Medical Center PGY1 Pharmacy Residency Application Information
PDF template
Application instructions and requirements for PGY1 pharmacy residency at MultiCare Auburn Medical Center
See template
See template
AME Reimbursement Request Form
PDF template
A form for University of Arizona employees and students to request reimbursement for expenses with detailed payee and receipt information.
See template
See template
PCARD PURCHASE FORM
PDF template
A form for documenting and authorizing purchases made using a university procurement card with tax exemption and expense tracking details.
See template
See template
Annuity Service Request Form
PDF template
A form for making changes to annuity contract information including name, address, age, and identification details.
See template
See template
AmeriCorps Member Application
PDF template
Application for individuals seeking to join AmeriCorps national service programs, including State and National, VISTA, NCCC, and FEMA Corps.
See template
See template
SDSU American Indian Studies Student Employment Application
PDF template
Employment application form for students seeking positions within the SDSU American Indian Studies department
See template
See template
AMS Simons Travel Grant Program Mentor Pre Authorization Form
PDF template
Form for mentors to pre-authorize travel expenses for AMS-Simons grant recipients
See template
See template
AMS Simons Travel Grant Program Mentor Trip Approval Pre Authorization Form
PDF template
Form for mentors to pre-authorize travel funding and approve research-related travel for AMS-Simons grant recipients.
See template
See template
MAR Research Project Award
PDF template
A research funding opportunity for MAR members to pursue studies advancing clinical, professional, or disciplinary knowledge with grants up to $2,000.
See template
See template
AMUSEMENT TAX EXEMPTION REGISTRATION FORM
PDF template
Registration form for tax-exempt organizations seeking exemption from amusement tax in the Town of Bloomsburg, Pennsylvania.
See template
See template
ANC 2F Grant Application Form
PDF template
A comprehensive grant application form for local community organizations seeking funding for various project types in the ANC 2F area.
See template
See template
Anchor Membership Form
PDF template
Registration form for new and returning members of the Anchor Club, a youth service organization affiliated with Pilot International.
See template
See template
Authorize.Net Payment Gateway Merchant Service Agreement
PDF template
Legal contract defining terms for using Authorize.Net's payment gateway transaction services for merchants in North America.
See template
See template
VOLUNTEER APPLICATION
PDF template
Application form for individuals seeking to volunteer at the Albuquerque Animal Welfare Department, requiring personal information and background consent.
See template
See template
MAD Artists Residency Application Form
PDF template
Application form for artists seeking residency at MAD studio space for January-March 2024 period.
See template
See template
Grant By The British Council (Long Form)
PDF template
Standard terms and interpretations for a grant agreement by the British Council, defining key legal and operational terminology.
See template
See template
Application For Visa
PDF template
Official document for individuals applying for a visa, collecting personal and travel details.
See template
See template
Fellowship Application Form
PDF template
A comprehensive application form for fellowship candidates at the NATO Maritime Security Centre of Excellence, collecting personal, educational, and professional details.
See template
See template
Phi Delta Theta Annual Budget Form
PDF template
Annual budget form for tracking Phi Delta Theta fraternity chapter expenses and income for an academic term.
See template
See template
Annual Chapter Audit
PDF template
A financial audit document for TOPS Club chapters to record income, expenses, and fund balances for annual review.
See template
See template
North Carolina Department Of The Secretary Of State Annual Financial Report Form
PDF template
A comprehensive financial reporting form for charitable and sponsor organizations in North Carolina, requiring detailed financial disclosure.
See template
See template
Restore Or Retreat Annual Meeting Attendance Form
PDF template
Registration form for nonprofit annual meeting with multiple sponsorship levels for Restore Or Retreat organization
See template
See template
Annual Membership Form
PDF template
A membership form for joining the Pioneer Trails Regional Museum with multiple membership levels and interest areas.
See template
See template
Carl Moyer AndOr FARMER Funding Agreement Annual Report
PDF template
Annual reporting form for tracking equipment usage and status under Carl Moyer or FARMER funding agreements.
See template
See template
Annual Report Form
PDF template
A comprehensive survey capturing organizational details, membership information, activities, and financial overview for an association
See template
See template
Annual Scholarship Form
PDF template
A form for donors to establish and define scholarship parameters at Santa Monica College, including funding details and student eligibility criteria.
See template
See template
I.B.E.W. LOCAL UNION 363 MONEY PURCHASE PENSION PLAN Annuity Benefit Application Form
PDF template
A comprehensive form for members of I.B.E.W. Local Union #363 to apply for pension or annuity benefits, collecting personal, marital, and employment information.
See template
See template
Wenner Gren Foundation For Anthropological Research Dissertation Fieldwork Grant Application
PDF template
An application for research funding focusing on Indigenous sovereignty and self-governance in British Columbia, Canada.
See template
See template
Administrative Order No. 6 1 Travel On County Business
PDF template
Guidelines for travel authorization and reimbursement for Miami-Dade County officials and employees while conducting official business.
See template
See template
AO Alliance (AOA) ORP Fellowship Application Form
PDF template
Application form for medical professionals seeking a fellowship with the AO Alliance in orthopedic and trauma surgery
See template
See template
APPLICATION FORM FOR PROSPECTIVE VOLUNTEERS
PDF template
A comprehensive volunteer application form for AOET-Uganda seeking detailed personal and availability information from potential volunteers.
See template
See template
2020 AOSIS Climate Change Fellowship Application Form
PDF template
Application form for a fellowship program focused on climate change, targeting government representatives from AOSIS member countries.
See template
See template
Texas Application For Exemption Federal And All Others
PDF template
Application for obtaining tax exemptions from sales, franchise, and hotel taxes for qualifying organizations in Texas.
See template
See template
Reimbursement Of Expenses Procedure
PDF template
Procedure establishing the process for reimbursing business-related expenses for board members, employees, students, and volunteers at Western Nebraska Community College.
See template
See template
AP 3C3A(B) Claim For AbsenceTravel Reimbursement
PDF template
Procedures and guidelines for submitting travel expense claims and reimbursement for Kern Community College District employees.
See template
See template
AP4 Planning Grant Application
PDF template
Guidelines for academic and nonprofit institutions to apply for a competitive one-year planning grant to explore establishing an AP4 cancer research center.
See template
See template
Administrative Procedure AP 7400 Travel
PDF template
A comprehensive administrative procedure outlining travel policies, expenses, and guidelines for district faculty, staff, board members, and other affiliated persons.
See template
See template
Application For Credit
PDF template
A comprehensive credit application form for businesses seeking credit from Westcon International Limited, collecting company and key personnel details.
See template
See template
African Presidential Center Internship Application Form
PDF template
Application form for internship candidates at the African Presidential Center in Boston, MA.
See template
See template
AP Course Audit Syllabus Self Evaluation Checklist
PDF template
A comprehensive checklist for educators preparing and reviewing AP course syllabi to ensure compliance with College Board requirements.
See template
See template
Alexandria Police And Fire Civil Service Board Application Requirements
PDF template
Detailed requirements and documentation needed for applying to competitive examinations for the Alexandria Police Academy.
See template
See template
Employee Expense Direct Deposit Form
PDF template
Form for employees to set up or modify bank account information for expense reimbursement direct deposits at Carnegie Mellon University.
See template
See template
Expense Report Procedures
PDF template
Comprehensive procedures for completing and submitting corporate expense reports for Royal American Management, Inc. and affiliated companies.
See template
See template
Administrative Form AP F002 STAFF TRAVEL EXPENSE CLAIM FORM
PDF template
A form for employees to document and request reimbursement for travel-related expenses including meals, transportation, and other costs.
See template
See template
Volunteer Application Form
PDF template
A comprehensive application form for individuals interested in volunteering with an organization supporting Disabled Veterans and Special Needs populations.
See template
See template
Volunteer Community Service Request Form
PDF template
A form for individuals seeking to complete community service hours through the City of Austin's volunteer program, with specific age and eligibility requirements.
See template
See template
Application For A ConsumerS Certificate Of Exemption
PDF template
Instructions for nonprofit organizations and governmental entities to obtain a sales and use tax exemption certificate in Florida.
See template
See template
WORK ORDER REQUEST FORM
PDF template
A form used to establish or revise work orders, detailing project scope, budget, and contractor information.
See template
See template
CGMS Certificate Application Form
PDF template
A comprehensive application form for admission to CGMS, requiring an undergraduate degree or equivalent and demonstrating English language proficiency.
See template
See template
Quarterly Audit Form
PDF template
A form used to document and record quarterly library audit details, including findings, attendees, and board review.
See template
See template
Complaint Resolution Form
PDF template
A form for members of Biggar & District Credit Union to submit and resolve complaints through a two-step process involving internal and external ombudsman.
See template
See template
Appendix A Solarize Philly Contractor Response Form
PDF template
A comprehensive form for solar contractors to provide business and demographic information for potential participation in the Solarize Philly program.
See template
See template
CPO
PDF template
A detailed document for tracking consultant hours, tasks, and project costs for MaineDOT.
See template
See template
DEQ Nonpoint Source Grant Cycle For FY2024 Round 2
PDF template
Detailed instructions and timeline for submitting grant applications to the Department of Environmental Quality for nonpoint source pollution reduction funding.
See template
See template
SF 270 Request For Advance Or Reimbursement
PDF template
Instructions for completing the Standard Form 270 to request grant funds through advance or reimbursement.
See template
See template
Business Growth Accelerator (BGA) Proposed Program Budget Form
PDF template
A detailed budget form for program income, funding sources, and expenditures for the Business Growth Accelerator program.
See template
See template
Appendix E Grant Disbursement And Compliance Form
PDF template
A form for grantees to submit compliance reporting data and documentation to receive grant funds from MEDC.
See template
See template
MPERS Expense Report
PDF template
A detailed form for tracking and reporting travel-related expenses including mileage, transportation, meals, and other incidental costs.
See template
See template
RAMAPO COLLEGE OF NEW JERSEY COMMON APPLICATION FORM
PDF template
Application form for faculty members seeking internal funding for professional development, sabbatical, or scholarship support at Ramapo College.
See template
See template
Instructions For Cost Reimbursement Budget Form And Budget Narrative
PDF template
Detailed guidelines for First 5 LA grantees on completing budget forms and budget narrative documentation for cost reimbursement agreements.
See template
See template
Concordia University Part Time Teaching Application Form
PDF template
Official application form for part-time teaching positions at Concordia University, specifying eligibility and application requirements.
See template
See template
Concordia University Part Time Teaching Application Form
PDF template
An application form for part-time teaching positions at Concordia University for the 2019-2020 academic year.
See template
See template
Concordia University Part Time Teaching Application Form
PDF template
Application form for part-time teaching positions at Concordia University, specifying application requirements and eligibility details.
See template
See template
Rental Application
PDF template
Comprehensive rental application form for housing at Hidden Valley Village, collecting household composition and student status details.
See template
See template
Application For New Grants Under The Education Innovation And Research
PDF template
A grant application document from the U.S. Department of Education for the Education Innovation and Research program for fiscal year 2023.
See template
See template
ICMCTF Graduate Student Award Student Application Form
PDF template
Application form for graduate students seeking an award from ICMCTF, collecting personal, academic, and advisor recommendation information.
See template
See template
Applicant Contact Form
PDF template
A form for collecting personal and documentation information from applicants for an unspecified application process.
See template
See template
Applicant Interview Expense Report
PDF template
A form for job applicants to report and request reimbursement for interview-related expenses at Micron Technology.
See template
See template
Applicant Mentor Information Agreement Form
PDF template
A form for research project applicants to provide personal and academic details, along with mentor/faculty advisor certification and approval.
See template
See template
11F ApplicantS Waiver Form (Collegiate Only)
PDF template
A form for collegiate applicants to waive providing information to their parents/guardians during the sorority membership intake process.
See template
See template
VISA APPLICATION FORM TO ENTER JAPAN
PDF template
Official form for individuals seeking entry into Japan, collecting personal, travel, and identification details for visa processing.
See template
See template
Application For Residency
PDF template
A comprehensive rental application form and procedure for prospective tenants seeking to rent a residential unit through Saskatoon Real Estate Services.
See template
See template
CINTAS Fellowship Application Form 2021 2022
PDF template
A comprehensive application form for artists seeking a fellowship, requiring personal, professional, and artistic details.
See template
See template
Application For Admission
PDF template
Admission application for Executive MBA, Executive Diploma, and Executive CAS programs at the Institute of International Management and Technology (IIMT).
See template
See template
Wellness Center Employment Application
PDF template
Application form for student employment positions at university wellness center with multiple job role options.
See template
See template
Affidavit Of Qualifications For Wisconsin Technical College District Board Membership
PDF template
Official document outlining requirements and process for applying to serve on Wisconsin Technical College District Boards.
See template
See template
Affidavit Of Qualifications For Wisconsin Technical College District Board Membership
PDF template
Official document outlining requirements and process for applying to serve on a Wisconsin Technical College district board.
See template
See template
Statewide Local Share Account Grant Program Application Disclosure Forms
PDF template
Guidelines for non-profit organizations in Cumberland, Dauphin, and Perry Counties seeking Local Share Account grant funding through the Capital Region Economic Development Corporation.
See template
See template
Application And Lending Plan Evaluation Form
PDF template
A comprehensive scoring form for evaluating applicants' financial ability, lending plan capacity, and execution potential for investment consideration.
See template
See template
Application Checklist
PDF template
Comprehensive checklist of required documents for kindergarten and preschool program applications for children aged 3-5.
See template
See template
Essex County Fairgrounds Task Force Application Checklist
PDF template
Comprehensive checklist for rental application and requirements for using Essex County Fairgrounds facilities.
See template
See template
Student Information Form
PDF template
Multilingual student enrollment form for Le Lyce international school with campuses in San Francisco and Sausalito.
See template
See template
Eddings Opportunity Grant Application Form
PDF template
Application form for students seeking funding for academic projects or activities through the Eddings Opportunity Grant.
See template
See template
Charitable Trust Of The Auckland Faculty Royal New Zealand College Of General Practitioners Applicat
PDF template
Comprehensive assessment form for evaluating research grant applications from general practitioners in New Zealand.
See template
See template
CLAT 2025 Notification And Disability Certificate
PDF template
Notification extending the application deadline for CLAT 2025 and providing a disability certification template for candidates requiring writing assistance.
See template
See template
Application Fee Waiver Form
PDF template
A form to request waiver of application fees for applicants with income at or below 200% of federal poverty guidelines.
See template
See template
United Way Of Abilene Application For 2022 Community Impact Funds
PDF template
Application for funding cycle from January to December 2022 by United Way of Abilene for community programs in education, financial stability, and health.
See template
See template
Artist In Residency Application Form
PDF template
Application form for artists seeking residency opportunity with Project Ability, detailing personal and professional information.
See template
See template
Application For A Visa For A Long Stay In Greece
PDF template
Official document for non-Greek nationals applying for a long-term visa to enter and reside in Greece.
See template
See template
Request For Funds (CARES RR Grant)
PDF template
Application form for households seeking financial assistance through the CARES funding program during the COVID-19 pandemic.
See template
See template
APPLICATION FOR COMMERCIAL CREDIT LOW VALUE
PDF template
A form for businesses to apply for a low-value commercial credit account with credit terms and trading conditions.
See template
See template
Application For Cost Sharing Award (CSA) To Use LLU Basic Sciences Core Facilities
PDF template
A form for researchers to request cost-sharing support for research facility usage and explain potential research impact.
See template
See template
Cross Credit Application Form
PDF template
A form for students to apply for cross credits from previous tertiary studies at Unitec or other institutions.
See template
See template
Application For Issue Of Migration Certificate
PDF template
A form used by students to request a migration certificate from their educational institution for transferring academic records between universities.
See template
See template
INTERNATIONAL RESEARCH INTERNSHIP APPLICATION FORM
PDF template
Application form for an international research internship at UWI School of Nursing, requiring multiple supporting documents for submission.
See template
See template
2024 ProvostS Teaching Learning Grant Application Form Innovative Course Module Design Grant
PDF template
A grant program supporting faculty in experimenting with new pedagogical strategies and course module innovations with funding up to $2,000.
See template
See template
2024 ProvostS Teaching Learning Grant Application Form Interdisciplinary Teaching Initiatives
PDF template
A grant application form for faculty to propose collaborative, innovative teaching initiatives across different departments or schools with potential funding up to $20,000.
See template
See template
Caselberg Trust Margaret Egan Cities Of Literature Writers Residency Application Form For 2023
PDF template
An application form for writers seeking a residency through the Caselberg Trust Margaret Egan Cities of Literature program in 2023.
See template
See template
Volunteer Application Form
PDF template
Comprehensive application form for individuals seeking to volunteer at Stanford Blood Center, collecting personal, educational, and availability information.
See template
See template
ARTIST RESIDENCY APPLICATION FORM
PDF template
Application form for artists seeking residency opportunities at coGalleries in Berlin, Nairobi, or Beijing.
See template
See template
Application For Posts Of EAAP Commission Officers (2023)
PDF template
Application form for individual members to apply for vacant leadership positions in the EAAP Commission.
See template
See template
Application For Open Positions Of EAAP Commission Officers (2022)
PDF template
Application form for individuals seeking officer positions in the EAAP Commission with specific election procedures and requirements.
See template
See template
Harmonised Application Form For Schengen Visa
PDF template
Standardized application form for obtaining a Schengen visa, used for travel across multiple European countries.
See template
See template
Grant Application Form For Associations, Foundations, Private Companies And Individuals, Etc.
PDF template
A comprehensive grant application form for various types of organizations seeking funding from a government agency.
See template
See template
Application Form For Extra Increase Single Pensioners
PDF template
A form for single pensioners in the Caribbean Netherlands to apply for an additional pension increase based on specific eligibility criteria.
See template
See template
FHNO Institutional Fellowship Application Form
PDF template
Application form for fellowship in Head and Neck Oncology/Reconstructive Surgery with comprehensive applicant details collection.
See template
See template
Grant Application Form For Municipalities, Regions And Combinations Of These
PDF template
A comprehensive application form for municipalities and regions seeking government grants, detailing project information, funding, and budget requirements.
See template
See template
Application Form For Non Disclosure Agreement
PDF template
Application form for submitting a Non-Disclosure Agreement to Sony, with specific guidelines for legal entities in English or Japanese.
See template
See template
UCLS Affiliate Application System A User Guide
PDF template
A step-by-step guide for completing the online application process for UCL's Affiliate Application System.
See template
See template
Inpho Venture Summit Application Form
PDF template
Application form for technology companies seeking selection to present at the Inpho Venture Summit business sessions.
See template
See template
INTERNSHIP APPLICATION FORM
PDF template
Official application form for internship opportunities at the African Court on Human and Peoples' Rights in Arusha, Tanzania.
See template
See template
RENTAL APPLICATION FORM
PDF template
Comprehensive application form for potential tenants to apply for rental property with detailed personal and rental history information.
See template
See template
Pension Application Form
PDF template
Comprehensive form for individuals applying for pension benefits, collecting personal, marital, and employment information.
See template
See template
Request For New Certificate Of Suitability
PDF template
Official application form for obtaining a new Certificate of Suitability for substances according to European Pharmacopoeia standards.
See template
See template
Internship Application Form
PDF template
A form for architecture students to apply for mandatory internship placement in corporations or work sites.
See template
See template
John R. Justice (JRJ) Grant Program FY 2019 Application Packet
PDF template
Grant application packet for the John R. Justice Program administered by the Nebraska Crime Commission for legal professionals
See template
See template
Professional Education Program Undergraduate Application Form
PDF template
Application form for undergraduate students seeking admission to professional education programs at a university.
See template
See template
Application Form The Russell Wood Award
PDF template
Application form for students seeking the Russell-Wood Award, focused on Portuguese language proficiency and academic support.
See template
See template
Squamish Nation Training Trades Centre (TTC) Intake Package
PDF template
Comprehensive guide outlining application requirements and steps for potential trainees at Squamish Nation Training & Trades Centre.
See template
See template
Chulabhorn Research Institute Fellowship Application Form
PDF template
A comprehensive application form for fellowship candidates at Chulabhorn Research Institute in Thailand, collecting personal, educational, and professional details.
See template
See template
Almucar International School Application Enrolment Form
PDF template
Comprehensive form for student enrollment at Almucar International School, collecting detailed student and parental information.
See template
See template
Fellowship Application Form
PDF template
Application form for becoming a fellow of the Royal Asiatic Society with various fellowship types and contact information collection.
See template
See template
Carl Moyer Memorial Air Standards Attainment Program OFF ROAD REPOWERRETROFIT INSTRUCTIONS AND ELIGI
PDF template
Instructions and eligibility criteria for the Carl Moyer Memorial Air Standards Attainment Program's off-road repower and retrofit funding application.
See template
See template
APPLICATION FOR RESIDENCY
PDF template
Comprehensive application form for potential residents to apply for housing in a mobile home community, requiring personal information, identification, and background details.
See template
See template
APPLICATION FOR RESIDENCY
PDF template
Application form for potential residents seeking to purchase or lease a mobile home lot, requiring background checks and supporting documentation.
See template
See template
Application For School Transport
PDF template
Official form for requesting school transportation services in Ceredigion County, Wales for primary and secondary students.
See template
See template
APPLICATION FOR SERVICE REQUEST
PDF template
Application for electric service from Vineland Municipal Utilities requiring customer information and service connection details.
See template
See template
Application For Success
PDF template
A comprehensive loan application document that guides clients through a multi-step process for loan consideration or modification.
See template
See template
Tennessee 4 H Junior High Academic Conference Application Form
PDF template
Application form for 4-H members to attend the Tennessee Junior High Academic Conference, requiring project details and participation rationale.
See template
See template
Application For Graduation Instructions
PDF template
Comprehensive instructions for students applying to graduate, including payment process, commencement details, and submission procedures.
See template
See template
LCR High Growth Innovation Fund Applicant Guidance
PDF template
Guidance document for innovative SMEs applying to receive funding through the High Growth Innovation Fund, an extension of the Future Innovation Funding pilot program.
See template
See template
PurchaseRentalResidency Application Instructions
PDF template
Comprehensive instructions for owners selling, leasing, or adding new occupants to their condominium units at Village Plaza, including application process and requirements.
See template
See template
Hunter R3 Grant Application (Form 8700 348)
PDF template
Comprehensive guide for submitting a grant application for the Hunter R3 Grant Program, including submission methods and application completion steps.
See template
See template
Application Submission Instructions
PDF template
Instructions for filling out and submitting a digital application form using various web browsers and methods.
See template
See template
PROJECT APPLICATION FORM
PDF template
A comprehensive project application form for church-based mission projects, requiring financial review and construction details.
See template
See template
Training Application
PDF template
Comprehensive application form for prospective residents requiring personal information, meditation experience, and reference details.
See template
See template
Application Form And Education Planning Form Submittal Process
PDF template
Detailed workflow for submitting application and education planning forms through Smartsheet, involving multiple steps and document attachments.
See template
See template
REMAP Grant Application Form
PDF template
A comprehensive grant application form for municipalities seeking technical assistance and support for racial equity initiatives.
See template
See template
Service Request Form
PDF template
A form for submitting and tracking information technology service requests within an organization.
See template
See template
Visegrad Artist Residency Application Form
PDF template
An application form for artists seeking residency support through the International Visegrad Fund's artist residency program.
See template
See template
Application For Residency
PDF template
A comprehensive rental application form for potential tenants seeking to rent a residential unit in Saskatoon, Saskatchewan.
See template
See template
Checklist For A Complete Application Form (ACDR) Submittal
PDF template
Instructions for completing the Application for Construction Design Release (ACDR) form and ensuring a complete submittal.
See template
See template
Tower School Admission Application
PDF template
A comprehensive application form for prospective students seeking enrollment at Tower School in Marblehead, Massachusetts.
See template
See template
UBFilms Internship Program Application
PDF template
Application package and guidelines for students seeking internship placement through the UBFilms Internship Program at the Department of Media Study.
See template
See template
Tropical Forest Landscapes Online Certificate ProgramManaging Your Completed Application
PDF template
Instructional document explaining how to view and manage an application status for the Tropical Forest Landscapes Online Certificate Program.
See template
See template
Application For Volunteer Placement Senior Center
PDF template
A comprehensive application form for individuals interested in volunteering at a local senior center, collecting personal information and volunteer preferences.
See template
See template
Application Form
PDF template
Comprehensive application form for prospective students seeking undergraduate degree programs or courses.
See template
See template
International Programs Office WorkstudyCampus Employment Application
PDF template
Application form for students seeking work-study or campus employment positions at the International Programs Office
See template
See template
Company Loan Application Form PROPERTY LOAN (With Corporate Account Project Account)
PDF template
Comprehensive loan application form for companies seeking property financing through corporate or project accounts.
See template
See template
Post Doctoral Position Application Form
PDF template
Application form for post-doctoral positions at the Indian Institute of Science, covering personal and professional details.
See template
See template
How To Apply For An SVF Plan Retirement Benefit Or Survivor Benefit
PDF template
Detailed instructions for volunteer firefighters applying for retirement or survivor benefits through the PERA Statewide Volunteer Firefighter Plan.
See template
See template
Applying For A J 1 Visa
PDF template
Comprehensive step-by-step instructions for international students applying for a J-1 exchange visitor visa to the United States.
See template
See template
APPOINTMENT APPLICATION FORM
PDF template
Comprehensive form for individuals seeking appointment to state boards or commissions in California.
See template
See template
APPLICATION REQUIREMENTS FOR A ZAMBIAN PASSPORT OR TRAVEL DOCUMENT OF IDENTITY
PDF template
Comprehensive guide detailing requirements and procedures for applying for a Zambian passport or travel document for applicants over 16 years old.
See template
See template
City Of Spokane Apprenticeship Incentive Grant Application Form
PDF template
Grant application to support employers and workforce groups in establishing or expanding pre-apprenticeship programs targeting underrepresented groups.
See template
See template
APPROVAL FORM FOR EMPLOYEE REIMBURSEMENT
PDF template
A form used by supervisors to approve and document employee expense reimbursements.
See template
See template
Arkansas Access To Justice Foundation Grant Application
PDF template
Guidelines and application process for grants supporting civil legal aid and justice initiatives in Arkansas.
See template
See template
PARTNERSHIP AGREEMENTS STATE ARTS AGENCIES And REGIONAL ARTS ORGANIZATIONS FINAL DESCRIPTIVE REPORT
PDF template
Comprehensive reporting template for state and regional arts organizations to document grant activities, project locations, and financial details.
See template
See template
APPLICATIONS Service Request Form
PDF template
Internal form for requesting IT service and system modifications within an organization's technology infrastructure.
See template
See template
Teacher Program Agreement Media Release Form
PDF template
A document for teachers participating in UCLA's AP Readiness Program, including program commitment and media release consent.
See template
See template
Documentation And Approval Of Spousal And Family Travel Form
PDF template
A form for documenting and obtaining approval for travel expenses for spouses and family members accompanying an employee on a business trip.
See template
See template
APTA Technology Terms And Conditions White Paper
PDF template
A white paper discussing technology-related terms and conditions for IT procurement contracts in public transit agencies.
See template
See template
Travel Expense Statement
PDF template
A form for documenting and requesting reimbursement for travel-related expenses for Centenary College employees.
See template
See template
Guidelines For Filing Applications For Dry Cleaning Facilities
PDF template
Official guidelines from Westchester County Department of Health for submitting permit applications for dry cleaning facilities, including requirements and documentation needed.
See template
See template
Aqua Art Miami ApplicationContract
PDF template
Application and contract for participating in the Aqua Art Miami contemporary art exhibition, detailing room selection and pricing for gallery spaces.
See template
See template
Aqua Art Miami ApplicationContract
PDF template
Application and contract for participating in the Aqua Art Miami contemporary art exhibition at the Aqua Hotel in Miami Beach.
See template
See template
Project Form
PDF template
A comprehensive form for submitting project details, including general information, project plan, sustainability assessment, and location details.
See template
See template
Arboretum Foundation Virtual Fundraising Gala Procurement Form
PDF template
A form for collecting item donations for a virtual fundraising gala hosted by the Arboretum Foundation.
See template
See template
Friends Of The Landscape Arboretum At Winona State University Volunteer Application
PDF template
A comprehensive volunteer application form for individuals interested in supporting the Landscape Arboretum at Winona State University.
See template
See template
Belmont Forum Registration Form
PDF template
Registration form for research project proposals under the Belmont Forum ARC 2024 initiative, covering project details and submission guidelines.
See template
See template
Application For Architects And Engineers Professional Liability Insurance
PDF template
Insurance application for architecture and engineering firms seeking professional liability coverage with detailed firm information and financial reporting requirements.
See template
See template
Draft Round 6 Proposal Form
PDF template
Official proposal form for the Sixth Call for Proposals by the Global Fund to Fight AIDS, Tuberculosis and Malaria, outlining guidelines for grant funding submissions.
See template
See template
Application For Agriculture Resource Development Loan (ARDL)
PDF template
Loan application for agricultural conservation projects in Utah, covering various resource development and conservation initiatives.
See template
See template
Area Committee Expense Report Form
PDF template
A detailed form for tracking and reporting travel, organizational, and miscellaneous expenses for reimbursement.
See template
See template
RichCollins Community Leadership And Impact Fellowship Final Grant Report
PDF template
A detailed report of health screening events conducted in Waltham using the Family Van mobile health clinic and trained Brandeis volunteers.
See template
See template
ARKADIA SELF PARK MONTHLY PARKING APPLICATION
PDF template
Application form for obtaining monthly parking privileges at Arkadia Self Park in Chicago, including details about fees, terms, and vehicle information.
See template
See template
Synchrony Bank Credit Card Application Information
PDF template
Document detailing credit card promotional options and application steps for a Synchrony Bank credit card
See template
See template
Rental Application Form Apartment
PDF template
Comprehensive rental application form for potential tenants to provide personal and financial information for a rental property.
See template
See template
ARPA Artist Grant
PDF template
Grant program for Montana-based individual artists and artist collectives to support artistic projects funded through the American Rescue Plan Act.
See template
See template
ARPA Water Sewer Infrastructure Grant Program COUNTY MAG TRANSFER REQUEST FORM
PDF template
A form for cities or towns to request transfer or addition of Minimum Allocation Grant funds for water and sewer infrastructure projects.
See template
See template
ARPA E Financial Assistance Funding Opportunity Announcement
PDF template
Document describing funding opportunity for advanced energy technology research and development by the Advanced Research Projects Agency Energy (ARPA-E)
See template
See template
AMERICAN RESCUE PLAN ACT GRANT APPLICATION FORM
PDF template
Grant application form for organizations seeking funding through Kennebec County's American Rescue Plan Act allocation of $23 million.
See template
See template
Trial Court Improvement ARPA Subgrant Policies And Guidelines
PDF template
Provides requirements and guidelines for Nevada trial courts seeking up to $200,000 in grant funding for court improvement projects.
See template
See template
Airport Rescue Grant Request For Reimbursement Form (ARPA)
PDF template
A form for Texas airports to request reimbursement for operational, maintenance, and debt service expenses under ARPA funding.
See template
See template
Internship Application Form
PDF template
A form for students to apply for an internship, collecting personal, educational, and professional information.
See template
See template
How To Arrange And Pay For Interview Candidate Travel
PDF template
Guidelines for arranging and paying travel expenses for job interview candidates at the University of Wisconsin system
See template
See template
Arrow Electronics Credit Application Policy And Procedure
PDF template
A comprehensive policy and procedure document outlining credit application and management processes for Arrow Electronics.
See template
See template
Sponsor Invoicing
PDF template
Document describing types of sponsor invoices and their generation process in Oracle Grants Management module.
See template
See template
Project Art Residency Guidelines
PDF template
Guidelines for an artist residency program focused on ceramic artists, providing studio space and facilities for creating artwork.
See template
See template
Internship Application Form
PDF template
Comprehensive application form for potential interns, including personal information, educational background, work experience, and ministry-related questions.
See template
See template
ArtPlace Arts And Culture Temporium Grant Application
PDF template
A grant application form for arts and culture projects focused on utilizing vacant properties in specific Washington DC neighborhoods
See template
See template
Art Service Scholarship Form
PDF template
Scholarship application for students pursuing art as a major at ECCC with specific service requirements and academic criteria.
See template
See template
Art Service Scholarship Form
PDF template
A scholarship application form for students interested in pursuing art as a major at E.C.C.C. with specific eligibility and service requirements.
See template
See template
ASABC Membership Form
PDF template
A membership form for joining the Adaptive Sailing Association of British Columbia with annual fee and membership benefits.
See template
See template
ASAP Budget Form
PDF template
A comprehensive budget form for tracking operational costs, programming, and strategic planning expenses across multiple categories.
See template
See template
Economic Development Administration Automated Standard Application For Payments (ASAP) Enrollment Fo
PDF template
Form for organizations to enroll in the Economic Development Administration's payment system with organizational and contact details.
See template
See template
SCHOLARSHIPNEW ACCOUNT FORM
PDF template
A form for establishing a new scholarship account, detailing requirements, approvals, and account opening procedures for student scholarships.
See template
See template
ASB REIMBURSEMENT REQUEST FORM
PDF template
A form for students to request reimbursement for school-related expenses with itemized receipts and signatures.
See template
See template
ASE Membership Application Form
PDF template
Organizational membership application form for joining or renewing membership in the American Society of Echocardiography with various membership categories and pricing.
See template
See template
ASES Membership Form
PDF template
Comprehensive membership registration form for various membership levels at the American Solar Energy Society (ASES)
See template
See template
ASI Travel Policy
PDF template
Policy document governing travel guidelines for ASI staff and student employees at California State University San Marcos.
See template
See template
ASMS Parent Club Reimbursement Request Form
PDF template
A form for requesting financial reimbursement from the ASMS Parent Club for approved expenses.
See template
See template
2018 Letter Of Inquiry Form
PDF template
A grant application form for organizations seeking funding from the ASPCA for animal welfare projects
See template
See template
Campus Assemblies Reimbursement Request
PDF template
A form for submitting reimbursement requests for campus assembly expenses with detailed financial tracking.
See template
See template
Asset Declaration Form
PDF template
A comprehensive form for taxpayers to declare personal assets, business assets, liabilities, and financial holdings in Fiji.
See template
See template
A.S.S.I.S.T. Referral Form
PDF template
A comprehensive intake form for collecting client demographic and service referral information for social assistance programs.
See template
See template
Reimbursement Guidelines For Funded Attendees
PDF template
Guidelines for travel expense reimbursement for funded attendees, including transportation, meals, and lodging expenses.
See template
See template
ATA Local 60 Education Student Scholarship Application
PDF template
A scholarship application for graduating high school students in the Red Deer Public School District to support their post-secondary education.
See template
See template
ATA Local 60 Education Student Scholarship Application
PDF template
Scholarship application for graduating high school students entering the Faculty of Education in Red Deer Public School District
See template
See template
Charitable Organization Annual Report Form
PDF template
Official form for charitable organizations to file annual reports with the Minnesota Attorney General's Charities Division as required by state law.
See template
See template
ATHLETICS PURCHASE ORDER REQUEST FORM
PDF template
A form used to request purchases for athletic department activities, requiring approval from advisors and athletic directors.
See template
See template
CHECK LIST FOR FILLING OUT ATHLETIC TRAVEL REIMBURSEMENT FORM
PDF template
A comprehensive checklist for completing and submitting an athletic travel reimbursement form with detailed instructions for expense documentation.
See template
See template
ATHLETICS TRAVEL REIMBURSEMENT FORM
PDF template
A form for documenting and seeking reimbursement for travel expenses related to athletic team or recruiting activities.
See template
See template
Accessible Technology Purchase Form
PDF template
Form for requesting electronic and information technology purchases to ensure accessibility for students and users in academic settings.
See template
See template
Spending Plan
PDF template
A comprehensive financial worksheet for tracking monthly income, expenses, and financial obligations.
See template
See template
FY 2023 Earmark Repurposing Process
PDF template
Guidance for states to request repurposing of federal highway earmark funds with specific procedural steps and deadlines.
See template
See template
WIOA Title I Local Budget Instructions
PDF template
Instructions for submitting local budget documentation for WIOA Title I funding, including required spreadsheets, narratives, and submission process.
See template
See template
Credit Application Form
PDF template
A credit application form for establishing credit facilities with the Bunbury-Harvey Regional Council, detailing payment terms and conditions.
See template
See template
RH RFA 2020 001 Grant Application Form
PDF template
A comprehensive form for submitting a grant application with requirements for organizational details, program description, and implementation plan.
See template
See template
School Training Attendance Record
PDF template
Document for tracking school attendance, childcare, housing, and transportation expenses for workforce training participants.
See template
See template
Attachment H Budget Form Instructions
PDF template
Detailed step-by-step instructions for completing a multi-year budget form and narrative in Excel.
See template
See template
ITEMIZED SCHEDULE OF TRAVEL EXPENSES
PDF template
Official state form for documenting and requesting reimbursement for travel expenses by government employees or board/commission members.
See template
See template
APPLICATION FOR LICENSING AND ENROLLMENT IN AN ATV INSTRUCTOR PREPARATION COURSE
PDF template
Application form for individuals seeking to become licensed ATV instructors, requiring personal and employment information.
See template
See template
2017 ASF Auction ItemWine Donation Information
PDF template
Instructions for donating items and wine to the Adaptive Sports Foundation's annual fundraising gala and auction supporting individuals with disabilities.
See template
See template
WCA Benefit Auction Procurement Form
PDF template
A form for collecting donation details for Wake Christian Academy's benefit auction, used to document and catalog donated items.
See template
See template
Auction Procurement Form
PDF template
A form for collecting item donations for a nonprofit dance organization's charity auction supporting cancer research.
See template
See template
Club Audit Form And Instructions
PDF template
Comprehensive guide for conducting an annual financial audit for an investment club, detailing seven key audit steps and required documentation.
See template
See template
4 H ClubAffiliate Audit Procedures
PDF template
Detailed procedures for conducting financial audits for 4-H clubs and affiliates to ensure financial transparency and compliance with nonprofit standards.
See template
See template
PTA Audit Report
PDF template
A comprehensive financial audit document for tracking and verifying Parent-Teacher Association financial records and transactions
See template
See template
PTA Audit Report
PDF template
A comprehensive financial audit report form for Parent-Teacher Association units to document fiscal review and financial status.
See template
See template
Audit Report
PDF template
A financial audit report form for PTA/PTSA units to document and verify financial records and transactions.
See template
See template
California State PTA Toolkit Audit Report
PDF template
A comprehensive financial audit form for tracking and verifying PTA unit financial records, receipts, and disbursements.
See template
See template
315 Audit Report
PDF template
Comprehensive financial audit document for tracking a PTA/PTSA unit's financial records, receipts, disbursements, and bank reconciliation.
See template
See template
Audit Report
PDF template
A comprehensive financial audit document for tracking and verifying a PTA or PTSA unit's financial records and bank account reconciliation.
See template
See template
Graduation Application Form
PDF template
Instructions and deadline details for Masters degree candidates applying to graduate in August 2009 from the University of Pennsylvania School of Medicine.
See template
See template
Newsletter
PDF template
Newsletter from FSCS providing updates on pension application forms, document processing, and customer service changes.
See template
See template
AU REQUISITION FORM
PDF template
Internal form for submitting purchase requests and obtaining procurement approvals at Alfred University.
See template
See template
Auto Debit Cancellation Form
PDF template
A form to cancel an existing automatic debit transfer between bank accounts.
See template
See template
Auto Incident Report Form
PDF template
A comprehensive form for documenting details of an auto collision involving a nonprofit organization's vehicle.
See template
See template
Exeter Cathedral Autumn Fair 2024 Stallholder Application Form
PDF template
Application form for vendors to participate in the Exeter Cathedral Autumn Fair in October 2024, seeking details about stallholders and their products.
See template
See template
Sample Auxiliary Audit Form Instructions
PDF template
Detailed instructions for completing a financial audit form for Veterans of Foreign Wars (VFW) Auxiliary chapters.
See template
See template
VFW Auxiliary Post Distribution Of Receipts, Disbursements, And Cash Balance By Fund
PDF template
A detailed financial reporting document tracking cash balances, receipts, and disbursements across multiple fund categories for a Veterans of Foreign Wars (VFW) Auxiliary Post.
See template
See template
VFW Auxiliary Distribution Of Receipts, Disbursements, And Cash Balance By Fund
PDF template
A financial reporting document for tracking funds, receipts, disbursements, and cash balances for a Veterans of Foreign Wars (VFW) Auxiliary organization
See template
See template
VFW Auxiliary Report Form
PDF template
Annual reporting form for Veterans of Foreign Wars (VFW) Auxiliary detailing program activities, projects, and member participation.
See template
See template
Aventri Refund Request
PDF template
Form for requesting refunds for event registrations processed through Aventri registration system at Berkeley Law.
See template
See template
Credit Application
PDF template
A credit application form for business credit with Atlantic Window & Door, outlining credit terms, payment conditions, and authorization for credit investigation.
See template
See template
Anchor West Properties RENTAL APPLICATION
PDF template
Comprehensive rental application form collecting personal, rental, and employment history for potential tenants.
See template
See template
AWSC Club Event Submission Form For AWSC Website
PDF template
A form for submitting club events to the AWSC and WSN websites with event details and contact information.
See template
See template
Medical Expense Claim Form
PDF template
A form for employees to claim medical expenses through a Flexible Spending Account with detailed submission instructions.
See template
See template
Non Retirement Account Distribution Request
PDF template
A form for requesting distribution of assets from a non-retirement account with various distribution method options.
See template
See template
Credit Application Form
PDF template
Business credit application form for establishing commercial credit with Aztec Products in Montgomeryville, PA.
See template
See template
Copley Hospital, Inc. FY2019 Proposed Budget Salary Information
PDF template
Detailed salary range analysis for Copley Hospital staff, including compensation data and benchmarking information for fiscal year 2019.
See template
See template
Preliminary Agenda Meeting
PDF template
Local government meeting agenda covering budget, elections, grants, and administrative matters for December 13, 2022.
See template
See template
Credit Application Form
PDF template
A comprehensive form for businesses to apply for credit by providing company, contact, and financial information.
See template
See template
Securing Waivers Of Liability From Volunteers Of Nonprofit Organizations
PDF template
A comprehensive guide for nonprofit organizations on obtaining and using liability waivers to protect against potential legal claims from volunteers.
See template
See template
Form 8 K
PDF template
Securities and Exchange Commission filing by Premier, Inc. providing current report information
See template
See template
Form 8 K Current Report
PDF template
Securities and Exchange Commission current report filing by Spirit AeroSystems Holdings, Inc.
See template
See template
Application Form
PDF template
A comprehensive application form for students seeking enrollment at Baylake Academy in Virginia, requiring detailed student and parent/guardian information.
See template
See template
Build America, Buy America Act (BABAA) Domestic Content Procurement Preference Requirements Waiver
PDF template
A form for requesting a waiver from the Build America, Buy America Act domestic content procurement preference requirements for U.S. Department of Education grants.
See template
See template
Breakfast After The Bell Equipment Grant Application Form
PDF template
A grant application for School Food Authorities to request funding for breakfast equipment up to $5,000 per eligible school.
See template
See template
UCCS BACJ Internship Application
PDF template
An application form for students seeking internships in the Criminal Justice program at the University of Colorado Colorado Springs.
See template
See template
OP 95 5 02 Backward Deferred Retirement Option Plan (Back DROP)
PDF template
Operational policy detailing the process for Fire and Police Pension Plan members to apply for retirement using the Backward Deferred Retirement Option Plan.
See template
See template
CoachS Application Form
PDF template
Application form for individuals seeking to coach children at Southeast Sports Outreach, including background check authorization
See template
See template
Volunteer Application Form
PDF template
A comprehensive volunteer application form for Extension program volunteers requiring personal information and criminal background check consent.
See template
See template
Background Check Consent Form
PDF template
A consent form allowing criminal history record disclosure for a non-profit organization's application process.
See template
See template
2nd 8th Grade Common Student Evaluation Form
PDF template
Confidential evaluation form for student applicants to independent schools in the San Francisco Bay Area for grades 2-8
See template
See template
GRANT APPLICATION FORM
PDF template
A comprehensive grant application form for non-profit organizations seeking funding from the Sidney R. Baer, Jr. Foundation.
See template
See template
Grant Application Form
PDF template
A comprehensive form for non-profit organizations seeking grant funding from the Sidney R. Baer, Jr. Foundation, detailing submission requirements and application process.
See template
See template
Business Affairs Funding Request Form
PDF template
Internal form for requesting non-position-related funding for special projects, contracts, or emergencies.
See template
See template
Volunteer Information Sheet
PDF template
A form for potential volunteers to provide personal information and volunteer interests for the Baker County Council on Aging.
See template
See template
Balance Transfer Request
PDF template
A form for transferring credit card balances to a Senate Visa Card through the United States Senate Federal Credit Union.
See template
See template
Volunteer Form Ballard NW Senior Center
PDF template
Comprehensive volunteer application form for collecting personal information, volunteer interests, and background details for Ballard NW Senior Center.
See template
See template
Bank Affidavit
PDF template
A form for international students to verify financial sponsorship and bank account details for college admission purposes.
See template
See template
Bank Draft Cancellation Form
PDF template
A form used to request cancellation of an existing bank draft payment for a specific account.
See template
See template
BANNER UNIX ACCOUNT APPLICATION FOR EMPLOYEES
PDF template
Form for employees to request access to various Banner modules and Unix accounts at Texas Southern University
See template
See template
BANNER UNIX ACCOUNT APPLICATION FOR EMPLOYEES
PDF template
Form for requesting access to Banner and Unix system modules for Texas Southern University employees
See template
See template
BANNER BUDGETS Quick Reference Guide
PDF template
A reference document for navigating budget management systems and accessing financial information in the Banner system.
See template
See template
Banner Graduation Lab
PDF template
A training document for learning how to process student graduation applications in the Banner system for university administrators.
See template
See template
CREDIT APPLICATION SALES AGREEMENT
PDF template
A comprehensive credit application form for businesses seeking to establish a credit account with Barnsco, Inc.
See template
See template
SoTL Grant Application Form (2018 2019)
PDF template
A grant application form for the Scholarship of Teaching and Learning (SoTL) research project focused on language learning assessment methodologies.
See template
See template
CREDIT APPLICATION SALES AGREEMENT
PDF template
A comprehensive credit application form for businesses seeking to establish a credit account with Barton Supply.
See template
See template
Basic Budget Form
PDF template
A financial document for breaking down project costs, requesting funds, and detailing matching funds sources.
See template
See template
BASIC PENSION APPLICATION
PDF template
A comprehensive pension application form for members of the Southern California Pipe Trades Retirement Fund seeking to apply for retirement benefits.
See template
See template
Rental Application (Sample)
PDF template
Comprehensive form for potential tenants to provide personal, employment, and financial information when applying to rent a property.
See template
See template
Rental Application Bates Court Apartments
PDF template
Rental application document for two-bedroom, one-bathroom apartments in McKinleyville, California, with details about application requirements and unit specifications.
See template
See template
VolunteerParental Consent Form
PDF template
Legal document outlining volunteer responsibilities, liability waivers, and consent for volunteering at Bernie's Book Bank, including provisions for minor volunteers.
See template
See template
Loan Application Form
PDF template
A comprehensive loan application form for collecting personal financial and employment information from prospective loan applicants.
See template
See template
BBSRC Standard Research Grant
PDF template
Research funding opportunity for UK-based researchers in higher education, research institutes, and approved independent research organizations offering grants up to 2 million.
See template
See template
Wisconsin Department Of Financial Institutions Complaint Form
PDF template
A form for consumers to file complaints against businesses with the Wisconsin Department of Financial Institutions.
See template
See template
BCCA Membership Application Form
PDF template
Comprehensive membership application form for businesses seeking to join a business chamber, with details about company information, UK relations, and membership tiers.
See template
See template
Frequently Asked Questions FY 2018 2019 Funding Opportunity Announcement (FOA)
PDF template
Detailed guidance on budget, costs, and financial requirements for research grant programs in Florida.
See template
See template
BCMOS Membership Form
PDF template
A membership form for joining the British Columbia Mobility Opportunities Society with annual fee and membership benefits.
See template
See template
Volunteer Application Form
PDF template
Application form for individuals interested in volunteering at Boys' Club of New York locations, covering personal information and volunteer preferences.
See template
See template
Border County Program (BCP) Bank Affidavit Form
PDF template
A form for authorizing release of bank account information for the Border County Program at UTSA
See template
See template
Credit Account Application Form
PDF template
A comprehensive form for businesses to apply for a credit account with Britanic Cabling Production.
See template
See template
BCS Fellow (FBCS) Application Guidance For OMs
PDF template
Comprehensive guidance for professionals applying to become a BCS Fellow, detailing application requirements and criteria.
See template
See template
FamilyAdult Only Membership Application
PDF template
Application form for families and adults to join community programs and services offered by Boston Centers for Youth & Families.
See template
See template
BDIAP Glasgow 2020 Educational Fellowship Application Form B
PDF template
Application form for medical or scientific professionals seeking an educational fellowship with the British Division of the IAP in Glasgow
See template
See template
Iowa Architectural Foundation Be A Volunteer Form
PDF template
A form for individuals interested in volunteering with the Iowa Architectural Foundation, covering various volunteer opportunities and skills.
See template
See template
BEDC BUSINESS CONTINUITY MICRO LOAN PROGRAMME APPLICATION FORM
PDF template
A comprehensive loan application form for businesses seeking micro-loans through the Bermuda Economic Development Corporation (BEDC)
See template
See template
COVID 19 BUSINESS SUSTAINABILITY CONTINUITY FUNDING PROGRAMME APPLICATION FORM
PDF template
Application form for small and medium businesses seeking financial support during the COVID-19 pandemic through direct micro loans and grants.
See template
See template
Credit Application And Agreement
PDF template
Comprehensive fuel and oil service credit application form for business customers seeking fuel delivery and cardlock services.
See template
See template
Implementation Budget Transfer Request Attestation Transfer Request Form
PDF template
A form for requesting customer-to-customer transfer of Implementation Budget funds with specific transfer and attestation requirements.
See template
See template
SBA 504 Loan Application
PDF template
Comprehensive loan application form for small businesses seeking SBA 504 program financing, capturing business details, ownership, and project information.
See template
See template
Authorization To Access Plan Information
PDF template
A form for plan sponsors to authorize third-party firms to access institutional plan information at TIAA.
See template
See template
Beltane Public Engagement Fellowships Application Form
PDF template
Application form for researchers seeking public engagement fellowship opportunities with the Beltane Network in Edinburgh.
See template
See template
Presidential Estates Rental Application
PDF template
Comprehensive rental application form for potential tenants to provide personal, employment, and reference information for apartment leasing.
See template
See template
Housing Benefit AndOr Council Tax Support Application Form
PDF template
An application form for residents seeking housing benefits and council tax support from Tandridge District Council.
See template
See template
BENEFIT APPLICATION FORM
PDF template
Application form for pension fund withdrawal with personal and employment details
See template
See template
Benefit Application Form
PDF template
A form for youth members of the Sipekne'katik First Nation to apply for benefits from their trust.
See template
See template
Benefit Cost Analysis For Grant Applications
PDF template
A comprehensive form for evaluating and documenting grant proposal details, benefits, costs, and funding parameters.
See template
See template
Teaching Application Form
PDF template
A comprehensive guide for completing a teaching job application form with detailed instructions and requirements for applicants.
See template
See template
Berger Book Bag Grant Application Form
PDF template
Financial assistance grant for Moraine Park Technical College students to help purchase required books and academic supplies.
See template
See template
2021 Better Connections Grant Application Form
PDF template
Grant application form for transportation and community development projects in Vermont, focusing on multi-modal transportation and economic revitalization.
See template
See template
Bachelor Of Fine Arts Application Form
PDF template
Application form for students seeking admission to the Bachelor of Fine Arts program at the University of Nevada, Reno.
See template
See template
Bachelor Of Fine Arts (BFA) Application Form
PDF template
Application form for students seeking admission to the Bachelor of Fine Arts degree program with concentration selection and approval process.
See template
See template
Bachelor Of Fine Arts Application Form
PDF template
A comprehensive guide for students applying to the Bachelor of Fine Arts program, detailing admission requirements, application process, and program expectations.
See template
See template
Health Savings Account Transfer Request Form
PDF template
A form for transferring health savings account assets from a previous trustee/custodian to Benefitfocus Account Services HSA.
See template
See template
Volunteer Form
PDF template
A comprehensive form for potential volunteers to provide personal details, interests, and availability for volunteering at Bethlehem House.
See template
See template
Rezoning And Provisional Use Permit Application Requirements
PDF template
Comprehensive guide detailing required documentation and process for rezoning, conditional rezoning, and provisional use permit applications in Henrico County.
See template
See template
APPLICATION FOR TEMPORARY RESIDENCE PERMIT
PDF template
Official government form for applying for various categories of temporary residence permits in South Africa, including work, study, and exchange programs.
See template
See template
Guyana Immigration Service Visa Application Form
PDF template
Official form for individuals seeking entry into Guyana, capturing personal, passport, and visit details.
See template
See template
Customer Credit Application Form
PDF template
Credit application form for businesses seeking trade discounts and credit terms with Brennan Industries.
See template
See template
Credit Application And Sales Agreement
PDF template
A comprehensive credit application form for businesses seeking credit terms with Barreveld International and/or DK Living.
See template
See template
Biodiversity Investment Fund (BIF) Stage 2 Application Help Notes
PDF template
Guidance document for completing the Stage 2 application for the Biodiversity Investment Fund, providing instructions and application process details.
See template
See template
Tanzania Visa Application Form
PDF template
Online visa application platform for travelers seeking a Tanzania visa from the United Kingdom with digital processing and expert assistance.
See template
See template
Grant In Aid Billing Form
PDF template
Form for trail clubs to request reimbursement for trail maintenance and equipment expenses from state grant funds.
See template
See template
Billing FormResearch
PDF template
Form for requesting payment and invoicing for research-related expenses from a funding organization.
See template
See template
Billing Inquiry Form
PDF template
A form for cardholders to dispute or inquire about charges on their credit card statement within 60 days of billing.
See template
See template
BIMA Bash Auction Procurement Form 2023
PDF template
A form for artists to donate artwork or experiences for the Bainbridge Island Museum of Art's 10th Anniversary fundraising auction.
See template
See template
Reimbursement Form
PDF template
Comprehensive instructions for submitting travel and expense reimbursement requests for the Fischell Department of Bioengineering.
See template
See template
Reimbursement Form
PDF template
Comprehensive instructions for submitting travel and expense reimbursement requests for University of Maryland personnel and travelers.
See template
See template
APPLICATION FOR ENROLLMENT IN BIOLOGY INTERNSHIP
PDF template
Form for students seeking to enroll in biology internship credits at State University of New York at Binghamton
See template
See template
Petty Cash Reimbursement Form
PDF template
A form for employees to request reimbursement for small business expenses not exceeding $50 per day.
See template
See template
New York State ComptrollerS Office Office Of Unclaimed Funds Claim Form
PDF template
A form for claiming unclaimed funds held by the New York State Office of Unclaimed Funds, requiring claimant and owner information.
See template
See template
Donor Contribution Form
PDF template
A form for documenting donor contributions to the Neighborhood Assistance Program, including tax credit computation details.
See template
See template
Grant Application Form
PDF template
Application form for organizations seeking grants from Texas Pride Impact Funds focused on supporting LGBTQ+ communities.
See template
See template
EXEMPT ORGANIZATION DECLARATION OF SALES TAX EXEMPTION
PDF template
A form for tax-exempt organizations to document purchases of tax-free items over $200 under Pennsylvania sales tax law.
See template
See template
BLL Volunteer Form
PDF template
Form for individuals interested in volunteering with Brooklyn Lifelong Learning's various committees and programs.
See template
See template
Belize National Teachers Union Loan Application Form
PDF template
A comprehensive loan application form for teachers in Belize, covering personal details, employment information, and loan purpose
See template
See template
Board Action Item Approval Form
PDF template
A form used by the Grant Compliance Office to review and approve board action items involving contracted services or goods funded by federal dollars.
See template
See template
BOARD OF DIRECTORS TRAVEL FORM Board Meetings Authorization And Advance Request
PDF template
A form for NAESP board members to request travel authorization, advance funds, and provide trip details for board meetings.
See template
See template
Bod Buck Refund Request Form
PDF template
Form for students to request a refund of Bod Bucks balance with processing fees and account reconciliation.
See template
See template
Board Of Directors Shareholders EXPENSE REPORT FORM
PDF template
A form for board members and shareholders to submit expenses for reimbursement, detailing travel and per diem costs.
See template
See template
Boller Worcester Travel Grant Application Form
PDF template
Application form for graduate students seeking funding for academic travel, conferences, research, or job interviews.
See template
See template
PRE EMPLOYMENT INQUIRY FORM FOR POSITION OF DEPUTY SHERIFF
PDF template
Pre-employment application form for the position of Deputy Sheriff in Bond County, Illinois with qualification screening questions.
See template
See template
CDFI BGP Bond Purchase Agreement
PDF template
A bond purchase agreement between the Federal Financing Bank, a Qualified Issuer, the Secretary of the Treasury, and the CDFI Fund for bond guarantees.
See template
See template
Volunteer Application Form
PDF template
Comprehensive application form for individuals interested in volunteering with a Home Health & Hospice organization, collecting personal, contact, and volunteer preference information.
See template
See template
Rental Application Form
PDF template
Comprehensive rental application form for potential tenants seeking to lease a property within the Bonita Landing community.
See template
See template
Center For The Book Membership Form
PDF template
Membership form for supporting books and reading through the Center for the Book at the New Hampshire State Library
See template
See template
BOOKING APPLICATION FORM
PDF template
Comprehensive application form for booking an apartment, capturing applicant details, property information, and personal background.
See template
See template
Sponsorship Booking Form
PDF template
A form for organizations to provide financial sponsorship for an EMBL event, including sponsorship details, payment terms, and logo usage rights.
See template
See template
Replication Application Evaluation Criteria
PDF template
Comprehensive guide for evaluating charter school replication applications, providing detailed criteria and rating methodology for authorizers.
See template
See template
Residential Rental Operating License Application
PDF template
A municipal application form for property owners to obtain a residential rental operating license in Eddystone Borough.
See template
See template
Lower Gwynedd Township Board Of Supervisors Regular Meeting Minutes
PDF template
Minutes documenting a regular meeting of the Lower Gwynedd Township Board of Supervisors discussing grant funding opportunities and local governance matters.
See template
See template
Scholarship Request Form
PDF template
A form for families seeking financial assistance to participate in Boys & Girls Club programs by requesting program scholarships.
See template
See template
Pension Plan Benefit Application Form
PDF template
A comprehensive form for union members to apply for pension benefits, covering member information, reason for benefit request, and required certifications.
See template
See template
Application For Grant Funding
PDF template
A grant funding application for non-profit organizations, schools, or teams seeking financial support from the Bridgeport Field of Dreams Foundation.
See template
See template
Bay Path University Enrollment Form
PDF template
Application form for students enrolling at Bay Path University, capturing personal information, contact details, and enrollment preferences.
See template
See template
VISA APPLICATION FORM
PDF template
Comprehensive visa application form for individuals seeking entry into Brazil, issued by the Brazilian Ministry of Foreign Relations.
See template
See template
Bright Directions Payroll Deduction Form
PDF template
Form for initiating, changing, or stopping payroll deductions for Bright Directions College Savings Program accounts.
See template
See template
Indiana Housing And Community Development Authority Donor Contribution Form
PDF template
A form for contributors to donate to a qualified Neighborhood Assistance Organization and claim tax credits for their contribution.
See template
See template
Visa Application Form
PDF template
Official immigration form for applying for a visa to enter Brunei Darussalam, requiring comprehensive personal and travel information.
See template
See template
BSA Approved Facilities Use Agreement Form
PDF template
A legal agreement between a Diocese/Parish/School, Boy Scouts of America, and a Scouting Unit for facility usage and permissions.
See template
See template
ODESSA COLLEGE RN TO BSN APPLICATION FORM
PDF template
Comprehensive application form for registered nurses seeking to complete their Bachelor of Science in Nursing degree at Odessa College.
See template
See template
BSW Professional Core Application Form
PDF template
Application form for students seeking admission to the BSW Program's Professional Practice Core courses and field internships.
See template
See template
Bucknell Travel Policy
PDF template
Comprehensive policy guide for travel expenses, reimbursement, and special travel situations for university employees and affiliates.
See template
See template
Budget 101 Workshop
PDF template
A comprehensive workshop detailing the budget development process, fund types, and financial management for a university.
See template
See template
Budget Adjustment
PDF template
Document describing procedures for modifying budgets through fund transfers, increases, and decreases across projects and categories.
See template
See template
Budget Billing Form
PDF template
A utility billing program that averages monthly utility charges to provide consistent monthly payments for residential customers.
See template
See template
NEA Application
PDF template
A detailed budget application form for requesting funds from the National Endowment for the Arts, documenting project income and expenses.
See template
See template
Budget Expense Transfer Request Form
PDF template
A form for transferring budgets or expenses within an educational institution's financial system.
See template
See template
ORIGINALNEW BUDGET
PDF template
A form for establishing original or newly awarded budgets across multiple expense categories with multiple signature approvals.
See template
See template
Budget Form 1 Guidelines For Preparation Of Budget Forms
PDF template
Comprehensive guidelines for preparing and completing a set of budget forms for grant proposal submissions.
See template
See template
Stafford Loan Budget Form 2020 2021
PDF template
A financial aid form for students to document academic expenses and funding sources for potential student loan borrowing.
See template
See template
Individual Budget Form For The Year 2022
PDF template
A budget form for individual financial contributions with guidance from religious leadership about charitable giving and spiritual accountability.
See template
See template
NOAA Sea Grant Program Budget Form
PDF template
Budget form for National Oceanic and Atmospheric Administration (NOAA) Sea Grant program research project funding
See template
See template
Walter And Constance Burke Research Initiation Award Budget Form
PDF template
A comprehensive budget form for research funding that breaks down expenses across multiple categories including hardware, software, supplies, travel, and other expenses.
See template
See template
Budget Revision Request
PDF template
A form for requesting budget transfers, increases, or revisions within Bowie State University's financial system.
See template
See template
CCA GRANT APPLICATION BUDGET FORM
PDF template
A comprehensive financial form for grant applicants to detail project income, expenses, and funding request from CCA.
See template
See template
Budget Form Instructions
PDF template
Detailed instructions for completing a budget form for grant applications from Maryland Humanities, including eligible and ineligible expenses and matching fund requirements.
See template
See template
Activity Budget
PDF template
A financial form for tracking school activity fund receipts and expenditures for a specific sport or activity
See template
See template
Monthly Budget
PDF template
A comprehensive worksheet for tracking personal income, expenses, and financial planning across various spending categories.
See template
See template
Budget Form Training To Competence Externship
PDF template
A budget form for applicants seeking funding for an externship program, requiring detailed expense documentation and submission at least one month prior to start date.
See template
See template
F. BUDGET FORM
PDF template
Budget form detailing income and expenses for a teen mentoring program, including funding request from the Sisters of Charity Foundation.
See template
See template
Potomac College Proposed Budget
PDF template
Budget proposal for Potomac College's Title I Perkins Grant for fiscal year 2018, detailing proposed expenditures across various categories.
See template
See template
GRADUATE ASSISTANCE IN AREAS OF NATIONAL NEED (GAANN) FELLOWSHIP PROGRAM
PDF template
A federal funding form for graduate fellowship program budgeting in chemistry, detailing federal and institutional financial contributions.
See template
See template
National Historical Publications And Records Commission Budget Form
PDF template
A comprehensive budget form for submitting project costs to the National Historical Publications and Records Commission.
See template
See template
Budget Form Reproductive Health Externship Clinical Abortion Observation
PDF template
A form for medical students to document and request funding for expenses related to a reproductive health externship or clinical abortion observation program.
See template
See template
SAMHSA Budget Guidance
PDF template
Comprehensive budget guidance document providing detailed instructions for budget preparation and cost management for SAMHSA funding recipients.
See template
See template
UC Merced IncomeExpense Budget Form Financial Independence
PDF template
A form for undergraduate students under 24 to document financial independence for tuition purposes at UC Merced.
See template
See template
Budget Information And Instructions
PDF template
Comprehensive guide for preparing budget documentation for National Endowment for the Humanities (NEH) grant applications.
See template
See template
Columbia Kootenay Cultural Alliance Application Package 6 Major Projects Arts Culture Project Appl
PDF template
Budget application form for cultural projects seeking funding from the Columbia Kootenay Cultural Alliance (CKCA)
See template
See template
Columbia Kootenay Cultural Alliance Application Package 2 Minor Capital Arts Project Application Fo
PDF template
Budget application form for arts project funding from the Columbia Kootenay Cultural Alliance, detailing project revenues and expenses.
See template
See template
Northwestern University InvestigatorS Budget Form
PDF template
A comprehensive budget form for research project direct costs and budget period details.
See template
See template
Initial Budget Form
PDF template
A comprehensive budget form for research project funding allocations across various expense categories.
See template
See template
Budget And Expense Transfer Request Form
PDF template
A form for transferring budgets, expenses, or revenues between different accounts or departments within an organization.
See template
See template
INITIAL BUDGET FORM
PDF template
A form for modifying budget allocations for grant or contract awards at Southern University and A&M College.
See template
See template
Budget Revision Instructions
PDF template
A comprehensive guide for preparing and submitting budget revisions, detailing requirements, instructions, and accounting procedures.
See template
See template
Scholarship Budget Form For Upcoming Academic Year
PDF template
A comprehensive financial planning form for students to track resources, expenses, and potential budget shortfalls for an academic year.
See template
See template
Fund Transfer Request
PDF template
A document for requesting internal fund transfers between accounts within the university's financial system.
See template
See template
Budget Transfer Request Form
PDF template
A form used to request the transfer of funds between different budget categories within a specific resource.
See template
See template
Budget Transfer Request Form
PDF template
A form used to transfer funds within an organization, requiring multiple approvals and detailing account transfers.
See template
See template
BUDGET TRANSFER REQUEST FORM
PDF template
A form used to request and document financial budget transfers between different fund, organization, account, and program (FOAP) codes.
See template
See template
Budget Transfer Request Form
PDF template
A form for transferring funds between accounts within the same fund and organization at Western University of Health Sciences.
See template
See template
Budget Transfer Request Form
PDF template
A form for requesting and documenting internal budget transfers between accounts with required signatures and justification.
See template
See template
Budget Transfer Request
PDF template
A financial form for transferring funds between different account lines and tracking organizational expenses.
See template
See template
UIC InvestigatorS Budget Form
PDF template
A comprehensive budget form for documenting research project direct costs and personnel expenses.
See template
See template
Resolution Adopting The Budget
PDF template
Budget resolution for the fiscal year 2021-2022 by the Umpqua Public Transportation District, detailing fund allocations and total budget.
See template
See template
Budget Development
PDF template
A guide for preparing research grant proposals with tips on budget preparation, documentation, and submission process for the UW-L Office of Research & Sponsored Programs.
See template
See template
R. Merrill, Inc. Application Instructions
PDF template
Comprehensive guide for completing a rental application with specific income and documentation requirements for R. Merrill, Inc. properties.
See template
See template
Burton Elementary School PTA Check Requisition Form
PDF template
A form used by the Burton Elementary School PTA to request and document check payments for school events and expenses.
See template
See template
HR 10 Volunteer Application Checklist
PDF template
Comprehensive checklist and guidelines for volunteer applicants in the Berryessa Union School District, including tuberculosis screening and fingerprinting requirements.
See template
See template
BUSF 2.09 Inter Departmental Transfers (Between State Agencies)
PDF template
Policy governing financial transfers between state agencies for goods and services exceeding $999.99 through the State Comptroller General's Office.
See template
See template
Business Credit Application Agreement
PDF template
A comprehensive credit application form for businesses seeking to establish a credit account with Commercial Tire.
See template
See template
Madrid Campus Application
PDF template
Application form for students seeking a Bachelor of Science degree in Business School majors at Madrid Campus of Saint Louis University.
See template
See template
Application For Entry Visa Business Visa
PDF template
Official application form for obtaining an entry or business visa to enter Myanmar issued by the Ministry of Immigration and Population.
See template
See template
HSS Business Expense Reimbursement Request
PDF template
Form for requesting reimbursement of business-related expenses including meals and general costs for university personnel.
See template
See template
GLENVILLE STATE COLLEGE REQUISITION FORM
PDF template
A comprehensive form for requesting expenditures, events, and travel at Glenville State College.
See template
See template
EXPENSE REIMBURSEMENT FORM
PDF template
Procedure for submitting and processing expense reimbursement requests for employees and trustees of County College of Morris.
See template
See template
Business FoodMeal Purchase Authorization
PDF template
Official form for authorizing food and meal purchases at Northern Arizona University, detailing business purpose and compliance requirements.
See template
See template
Business Meal Reimbursement Form
PDF template
Form for requesting reimbursement for business meals at the University of Houston, with specific documentation requirements.
See template
See template
Business Travel Leave Request Form
PDF template
A form for employees to request and document business travel, including trip details, expenses, and required approvals.
See template
See template
Business License Application Worksheet
PDF template
Comprehensive worksheet for obtaining a business license, requiring detailed business and owner information.
See template
See template
Narrative Design Star Strategy Alignment Worksheet
PDF template
A collaborative worksheet for refining narrative design elements and ensuring strategic alignment in narrative projects.
See template
See template
Reimbursement Certification And Approval Form
PDF template
A document for certifying and approving expense reimbursements at Miami University.
See template
See template
Application For Residency
PDF template
A formal application process for obtaining residency approval in the Bay Reach Condominium Association, including required documentation and approval procedures.
See template
See template
B.Y.R.D. House Inc. Volunteer Application Form
PDF template
A comprehensive form for individuals interested in volunteering with B.Y.R.D. House Inc., collecting personal information and volunteer preferences.
See template
See template
Charitable Organization Initial Registration Form
PDF template
Form for registering charitable organizations in Minnesota, detailing filing requirements and guidelines for solicitation of contributions.
See template
See template
MATERIALS ANDOR SUPPLIES REIMBURSEMENT FORM
PDF template
A form for employees to request reimbursement for materials and supplies purchased for school or departmental use.
See template
See template
Utah Code 77 38a 204 Financial Declaration By Defendant
PDF template
Legal form requiring defendants to disclose comprehensive financial details for potential restitution purposes.
See template
See template
Project Application Instructions
PDF template
Comprehensive instructions for completing the HUD CoC Project Application, including preparation steps and key requirements for funding applicants.
See template
See template
Clover Area Assistance Center (CAAC) Volunteer Application Form
PDF template
A comprehensive volunteer application form for potential volunteers at the Clover Area Assistance Center, collecting personal, professional, and skills information.
See template
See template
Domestic Travel Request Form
PDF template
A form for requesting and documenting domestic travel arrangements, expenses, and approvals for institutional travel.
See template
See template
Lake Country Citizens Academy Application Form
PDF template
Application for participating in a local community police and emergency services citizen program
See template
See template
California Durable Power Of Attorney
PDF template
A legal document allowing an individual to appoint an agent to act on their behalf for various financial and personal transactions.
See template
See template
WEST VIRGINIA WESLEYAN COLLEGE CAFETERIA PLAN MEDICAL CARE EXPENSE CLAIM FORM
PDF template
A form for submitting medical expense reimbursement claims under a cafeteria plan with detailed certification and documentation requirements.
See template
See template
ResidencyFellowship Non ERAS Common Application Form
PDF template
Comprehensive application form for medical residency and fellowship programs at the University of Connecticut School of Medicine
See template
See template
CAGONT Student Travel Form
PDF template
A form for students to document and request reimbursement for travel expenses related to academic activities.
See template
See template
Student Travel Form
PDF template
A form for students to request travel expense reimbursement with details about travel mode, costs, and passenger information.
See template
See template
Cal Grant B Access Refund Request Form
PDF template
A form allowing students to request direct payment of their Cal Grant B Access award instead of applying it to their student account balance.
See template
See template
CAL Hiring Request Form
PDF template
An internal form used to request and approve hiring a new position within an academic department.
See template
See template
Statutory Form Power Of Attorney
PDF template
A legal document granting broad powers to an appointed agent to act on behalf of the principal in various financial and personal matters.
See template
See template
ERASMUS TEACHING MOBILITY GRANTS 20192020
PDF template
Guidelines for CEU academic staff seeking Erasmus+ funding for teaching periods at partner institutions abroad within the European Commission's mobility program.
See template
See template
Caltrans District 1 Scholarship Application
PDF template
Scholarship application for students interested in pursuing a career in transportation, offered by Caltrans District 1 in Eureka, California.
See template
See template
Campaign Report Form
PDF template
A comprehensive form for tracking and reporting organizational campaign contributions, donations, and fundraising activities.
See template
See template
Cornholes Flocking Information Sheet
PDF template
Information sheet and rental agreement for borrowing cornhole boards and rubber duck flocking supplies for fundraising campaigns.
See template
See template
Camp MagikCamp Erin Atlanta Volunteer Application Form
PDF template
Application form for potential volunteers interested in working with children experiencing grief at Camp Magik/Camp Erin Atlanta.
See template
See template
Camp Reynal 2015 Volunteer Staff Application Packet
PDF template
Application for volunteer staff at Camp Reynal, a summer camp program of the National Kidney Foundation
See template
See template
Rental Application Form
PDF template
Comprehensive form for potential tenants to provide personal, employment, and rental history information for housing application.
See template
See template
Campus Living Deposit Refund Request Form Cancellation Form
PDF template
Form for university students to request a housing deposit refund and cancel campus housing applications after moving out.
See template
See template
Campus Ministry Fellowship Application 2024 2026
PDF template
Application instructions and form for campus ministry fellowship program with the Catholic Diocese of Richmond for 2024-2026 academic years.
See template
See template
EXHIBIT A FOOD EXPENSE APPROVAL FORM
PDF template
A form for documenting and obtaining approvals for food-related expenses in an organizational setting.
See template
See template
2024 Camp Widjiwagan Volunteer Report Form
PDF template
Form for campers to document volunteer hours that can be applied as credit towards camp trip costs, limited to advanced campers and financial aid applicants.
See template
See template
Cancellation Form For Direct Payments (ACH Debits)
PDF template
A form to revoke authorization for automatic loan payment debits from a bank account.
See template
See template
Candidate Reimbursement Form
PDF template
A form for candidates to submit travel and expense reimbursement details for job search-related activities.
See template
See template
CL Sales Services PL Credit Application
PDF template
A form for businesses to apply for credit with C&L Sales & Services, requiring company details and contact information.
See template
See template
APPLICATION FOR APARTMENT
PDF template
Comprehensive rental application form collecting personal, employment, vehicle, and background information for potential apartment tenants.
See template
See template
Candidate Submission Form
PDF template
A form for candidates to submit their professional background and candidacy details for a potential position.
See template
See template
Catering Request Form
PDF template
A form for submitting catering requests for events at Kent Law School, including budget and event details.
See template
See template
Canterbury Street Pastors New Data Protection Regulation Consent Form
PDF template
A consent form for managing personal data and communication preferences for Canterbury Street Pastors supporters.
See template
See template
Internship Application Form
PDF template
Comprehensive form for students applying for an internship, collecting personal, academic, and financial details.
See template
See template
CAOS Fellowship Application Form
PDF template
An application form for medical professionals seeking a fellowship in computer-assisted orthopaedic surgery with the International Society for Computer Assisted Orthopaedic Surgery.
See template
See template
Terra Capacity Building Grant Application Form
PDF template
A grant application form for K-12 schools and educational nonprofits seeking funding for innovative educational projects.
See template
See template
Standardized Application For Pathology Fellowships
PDF template
A comprehensive fellowship application form for pathology residency candidates covering personal, educational, and training details.
See template
See template
CAPITAL BUDGET AND APPROVAL PROCESS
PDF template
Policy defining the process for capital expenditure requests, approval, and authorization for purchases over $5,000 with a life expectancy of two years or more.
See template
See template
Capital Budget Request Form Sample
PDF template
A document used to request and document capital expenditure budgets for organizational projects and initiatives.
See template
See template
INSTRUCTIONS FOR COMPLETING YOUR NYSCA CAPITAL CONTRACT
PDF template
Detailed guide for submitting and executing a capital contract with the New York State Council on the Arts (NYSCA)
See template
See template
Capital Equipment Evaluation Form
PDF template
A comprehensive form for evaluating and requesting capital equipment purchase, detailing funding, purpose, and usage.
See template
See template
Capital Equipment Evaluation Form
PDF template
A comprehensive form for requesting and evaluating capital equipment purchases across different organizational purposes.
See template
See template
PerkinsCapital Outlay Purchasing Process
PDF template
A form for documenting and processing purchases using Perkins and Capital Outlay grant funds with vendor quote comparison.
See template
See template
Capital Equipment Request Form
PDF template
A standardized form for collecting and approving capital funding requests at Milton Academy
See template
See template
Capital Request Form
PDF template
Internal financial document for requesting capital funds and project approval within an organization
See template
See template
CAPITAL REQUEST FORM
PDF template
A formal document for submitting and tracking proposed capital expenditures for equipment, furniture, and major investments not included in the operating budget.
See template
See template
State University Of New York Capital Project Qualifications
PDF template
Guidelines for qualifying minor critical maintenance projects at State University of New York with specific criteria and budget constraints.
See template
See template
Online Capital Request System Upgrade
PDF template
Documentation for an upgraded online system for submitting and managing capital budget requests with new features and user roles.
See template
See template
CAP Radio Travel Request
PDF template
A form for submitting and obtaining approval for business travel expenses and trip details.
See template
See template
Community Action Poverty Simulation (CAPS) Agreement
PDF template
Standard licensing agreement for using the Community Action Poverty Simulation materials by Missouri Community Action Network.
See template
See template
Standardized Application For Pathology Fellowships
PDF template
Comprehensive application form for medical professionals seeking specialized pathology fellowship training across various subspecialties.
See template
See template
Standardized Application For Pathology Fellowships
PDF template
Official application form for pathology fellowship candidates, covering personal information, education, and fellowship specialization preferences.
See template
See template
Standardized Application For Pathology Fellowships
PDF template
Comprehensive application form for medical professionals seeking specialized fellowship training in various pathology subspecialties.
See template
See template
Volunteer Application
PDF template
A comprehensive form for individuals seeking to volunteer, detailing personal information, required documents, and consent requirements.
See template
See template
Capital Access Program (CAP) Notice And Waiver Form
PDF template
A formal document outlining borrower acknowledgment and waiver for participation in the Capital Access Program loan enrollment process.
See template
See template
CARB Board Minutes
PDF template
Minutes from a board meeting discussing a low-interest loan program for small airports with less than 75,000 commercial enplanements.
See template
See template
Residential Rental Application Form
PDF template
A comprehensive form for applying to rent a residential property, requiring personal details and identification documentation.
See template
See template
Cardinal Financials Access Request Form
PDF template
A form for requesting financial system access at the Cardinal University Administration, detailing user roles and access levels.
See template
See template
CARES ACT EMERGENCY CARES ACT GRANT REQUEST FORM
PDF template
Application for students seeking financial assistance for COVID-19 related online education expenses through CARES Act funds at Dakota County Technical College.
See template
See template
CASA Volunteer Application Form
PDF template
Comprehensive application form for individuals seeking to become a Court Appointed Special Advocate (CASA) volunteer for children.
See template
See template
Application Instructions And Contact Information Form
PDF template
Comprehensive application form for training program participation, including personal, contact, and demographic information.
See template
See template
CAS Business Center Travel Reimbursement Form
PDF template
Document for submitting travel-related expenses and reimbursement details for University of North Carolina employees.
See template
See template
CASE RESEARCH And DEVELOPMENT GRANT APPLICATION FORM
PDF template
A comprehensive grant application form for research funding at the University of North Alabama, requiring detailed budget and submission of supporting materials.
See template
See template
Cash Advance Request Form
PDF template
A form for employees to request and document cash advances for travel or business-related expenses with required approvals and signatures.
See template
See template
Cash Contract Data Field Definitions
PDF template
Comprehensive guide detailing data field requirements and definitions for creating cash contracts in Loan Selling Advisor.
See template
See template
Cash Declaration Form
PDF template
Official form for declaring cash and monetary instruments when entering or leaving the European Union with specific financial details.
See template
See template
CASH REIMBURSEMENT FORM
PDF template
A form for submitting and documenting expenses for reimbursement within an organization or educational institution.
See template
See template
Check Cash Request Form
PDF template
A document for requesting cash or check payments, with options for mailing, direct deposit, and reimbursement details.
See template
See template
Pharmacy Technology Application For Admission
PDF template
Application form for students seeking admission to the Pharmacy Technology program at Casper College.
See template
See template
Company Credit Application
PDF template
Credit application form for businesses seeking equipment financing from Catawba Baler & Equipment LLC.
See template
See template
UC Merced Catcard Refund Request
PDF template
Official form for requesting a refund from the University of California, Merced Catcard Office with processing instructions and fee details.
See template
See template
Credit Application
PDF template
A comprehensive form for businesses seeking credit, collecting detailed company and owner information for credit evaluation.
See template
See template
Scholarship Application Form
PDF template
A scholarship application form for students in Catholic school leadership and faith-based education programs at Fordham University
See template
See template
Cayman Visa Application Online
PDF template
Application process and guidelines for obtaining a visa to enter the Cayman Islands, covering requirements and submission procedures.
See template
See template
CAYSA And Austin FC Scholarship Form
PDF template
Scholarship opportunity for CAYSA soccer players offered through a partnership between CAYSA and the 4ATX Foundation of Austin FC.
See template
See template
Proposal Budgets Module 6
PDF template
Training module on creating research proposal budgets using Cayuse S2S software, covering key budget concepts and budget management techniques.
See template
See template
CBA Grants Application Checklist
PDF template
A comprehensive checklist for applicants seeking grants from the CBA, detailing required documents and submission guidelines.
See template
See template
Casco Bay Estuary Partnership Community Grant Application Form
PDF template
A grant application form for community projects related to the Casco Bay Estuary Partnership's environmental themes and plan.
See template
See template
Form 10 Q
PDF template
Quarterly financial report filed by Cannabis Science, Inc. with the U.S. Securities and Exchange Commission for the period ending June 30, 2016.
See template
See template
CBNA Travel Policies And CDB Travel Award
PDF template
Comprehensive travel expense and reimbursement policy for CBNA with details on submission process, funding sources, and travel awards.
See template
See template
CBNA Travel Policies
PDF template
Comprehensive guide for submitting travel expense forms, booking travel, and obtaining travel awards for graduate students.
See template
See template
Community Benefit Application Form
PDF template
An annual application process for community facilities and small businesses to receive support for community development projects from Sennit Construction.
See template
See template
CBS FACULTY APPLICATION FORM PART 3
PDF template
Comprehensive faculty application form for CBS requiring detailed theological and doctrinal responses from applicants.
See template
See template
Staff And Volunteer Application
PDF template
Application form for potential staff and volunteers at Camp Blue Spruce, covering personal information, certifications, and work history.
See template
See template
CCAP 5 Direct Deposit Form
PDF template
A form for child care providers to authorize direct deposit of payments from the Rhode Island Department of Human Services.
See template
See template
MophradatCCA Glasgow Residency Application Form
PDF template
Application form for a 3-month artist residency program in Glasgow from July to September 2018.
See template
See template
Application Form
PDF template
Comprehensive application for financial counseling services with personal and income details.
See template
See template
Canadian Civil Defence Museum Association Membership Application Form
PDF template
Membership application for joining the Canadian Civil Defence Museum Association, including individual and organizational membership options
See template
See template
Refund Request Form Students
PDF template
A form for students to request a refund of their campus card balance upon withdrawal or at the end of the spring semester.
See template
See template
Chesterfield County Fair Volunteer Application
PDF template
Recruitment form for volunteers to assist with various activities at the annual Chesterfield County Fair
See template
See template
Non Resident Marriage License Application Affidavit
PDF template
Official form for non-resident couples applying for a marriage license in Maryland, capturing personal and marital status details.
See template
See template
Authorization To Disclose Application Assistance Information To Authorized Individuals
PDF template
A form allowing patients to authorize specific individuals to access their healthcare application assistance information.
See template
See template
Community Council For International Students Volunteer Application
PDF template
A volunteer application form for the Community Council for International Students seeking international student volunteers.
See template
See template
Volunteer Form
PDF template
A comprehensive form for individuals interested in volunteering, collecting personal information and including liability waivers and consent agreements.
See template
See template
CCOC Travel Policy And Procedures
PDF template
Policy establishing regulations and procedures for travel expenses and reimbursement for CCOC employees and authorized persons.
See template
See template
The 14th Annual Celebration For ChildrenS Rights Sponsorship Ticket Purchase Form
PDF template
Sponsorship and ticket purchase form for the 14th Annual Celebration for Children's Rights event in Los Angeles.
See template
See template
Campus Community Relations Expense Report
PDF template
A multi-request expense reporting form for capturing campus community relations expenditures at SDSU
See template
See template
Quick Admit Application Form
PDF template
A comprehensive application form for prospective students collecting personal and demographic information for college admission.
See template
See template
Budget Preparation Instructions
PDF template
Comprehensive instructions for preparing budgets for Ryan White Program and Prevention Services Contracts with the Los Angeles County Department of Public Health.
See template
See template
Casual, Temporary Teaching Application Form
PDF template
A comprehensive application form for casual and temporary teaching positions at Central Coast Steiner School in NSW, Australia.
See template
See template
2023 24 SCHOLARSHIP AWARD APPLICATION
PDF template
A scholarship application for high school students from Cambria County who aspire to enter the field of education.
See template
See template
Copper Country United Way Contribution Form
PDF template
A form for making charitable donations to Copper Country United Way through various payment methods including cash, payroll deduction, or credit card.
See template
See template
REIMBURSEMENT FORM FOR MEMBERS OF BOARDS, COMMITTEES, AND COMMISSIONS
PDF template
Form for requesting reimbursement of travel and dependent care expenses for county board, committee, and commission members.
See template
See template
CDBG APPLICATION UPLOAD CHECKLIST
PDF template
Comprehensive checklist for applicants seeking Community Development Block Grant (CDBG) funding, detailing required documentation and submission requirements.
See template
See template
City Of Kalamazoo CDBG CV Program APPLICATION
PDF template
Application for Community Development Block Grant - Coronavirus (CDBG-CV) funding to support various assistance activities in Kalamazoo.
See template
See template
STATE OF MARYLAND CDBG PROGRAM FINANCIAL AND PROCUREMENT MANUAL
PDF template
Comprehensive manual outlining financial management, auditing, and procurement requirements for Community Development Block Grant (CDBG) grantees in Maryland.
See template
See template
Budget Summary And Budget Narrative Forms Instructions (Revised 52021)
PDF template
Comprehensive instructions for completing budget forms for the Early Literacy Support Block Grant by California Department of Education, covering planning and implementation years.
See template
See template
Constituency Development Fund (CDF) Grant Application Form For Youth, Women And Community Empowermen
PDF template
Application form for community groups seeking seed money through the Constituency Development Fund to support local economic empowerment initiatives.
See template
See template
Construction And Demolition Non Exclusive Franchise Application Form
PDF template
Application for obtaining a non-exclusive franchise for construction and demolition waste services in the City of Clovis, California.
See template
See template
CDR Pooled Trust Forms
PDF template
Document related to a pooled trust, discussing trust administration, legal requirements, and regulatory compliance for special needs trusts.
See template
See template
Certificate In Dance Teaching Application Form For Entry In Hong Kong 2025
PDF template
Application form for a part-time, distance-learning Certificate in Dance Teaching program starting in January 2025 in Hong Kong.
See template
See template
Cultural Endowment Program Fund Annual Report Form (CA2E100)
PDF template
Annual reporting form for organizations participating in the Cultural Endowment Program Fund, requiring financial and programming details.
See template
See template
CEC College And Career Planning Guidebook
PDF template
A comprehensive resource for students to navigate college preparation, application process, career exploration, and job search strategies.
See template
See template
Enrollment Form
PDF template
Application form for enrolling in Elms College Degree Completion Program with a $50 enrollment deposit.
See template
See template
CEHS Undergraduate Student Research Grant Application Form
PDF template
Application form for undergraduate students seeking research funding through the College of Education and Human Sciences research grant program.
See template
See template
CEIAS Capstone Project Expenses Purchase Request Instructions
PDF template
Instructions for submitting purchase and reimbursement requests for capstone project expenses at NAU, including budget management and vendor communication guidelines.
See template
See template
Grant Application Form
PDF template
A comprehensive form for educators to apply for educational project funding with strategic plan components and detailed project information.
See template
See template
CEM Employee Travel Authorization Form
PDF template
A form for obtaining departmental approval and documenting travel expenses for employee business trips.
See template
See template
Centennial Village Application Instructions
PDF template
Detailed instructions for applying to Centennial Village housing, including application submission process and eligibility requirements.
See template
See template
Center For Law And Social Science Fellowship Application Form
PDF template
Application form for students seeking a fellowship in law and social science research at Emory University.
See template
See template
Center For Social Concern Budget Form Instructions And Definitions
PDF template
Detailed guidelines for student groups submitting budget and expense information to the Center for Social Concern.
See template
See template
APPLICATION FOR DISABILITY BENEFIT
PDF template
Application form for disability benefits from the Central States, Southeast and Southwest Areas Pension Fund for eligible participants.
See template
See template
Central States Pension Fund Retirement Declaration
PDF template
A document for declaring retirement date, employment status, and receiving pension benefits from the Central States Pension Fund.
See template
See template
Housing Rehabilitation Program Application
PDF template
Application form for housing rehabilitation assistance from the Bloomington Housing and Redevelopment Authority.
See template
See template
Cerritos College Dual Enrollment Application
PDF template
Application for high school students to enroll in college courses at Cerritos College through a dual enrollment program.
See template
See template
Refund Request Form
PDF template
A form for students to request refunds for fees or other expenses at Cerritos College, with specific eligibility requirements and procedures.
See template
See template
Community Emergency Response Team (CERT) Volunteer Application
PDF template
Application form for individuals seeking to volunteer with the Community Emergency Response Team at State University of New York at New Paltz
See template
See template
Certification Examination Application
PDF template
Application form for medical illustrators seeking certification through the Board of Certification of Medical Illustrators.
See template
See template
Certificate Of Compliance With OMB Circular A 133Uniform Guidance
PDF template
A document certifying compliance with federal audit requirements for University of California, Los Angeles federal project administration.
See template
See template
Certificate Of Trust For Irrevocable Trust
PDF template
A legal document for establishing and registering an irrevocable personal trust with Citizens Bank.
See template
See template
Certificate Of Trust For Revocable Trust
PDF template
A legal document for establishing and registering a personal revocable trust with Citizens Bank, including trustee and account details.
See template
See template
Certification Application Form
PDF template
Application form for obtaining professional certification in a sports-related field with multiple certification type options.
See template
See template
Certification Reimbursement Form
PDF template
A form for Perry Tech students to request reimbursement for approved industry certification exams up to $500 upon successful test completion.
See template
See template
Police Officer Applicant Requirements Memo
PDF template
Detailed memo outlining the application and selection process for police officer candidates at the University of Iowa Police Department.
See template
See template
GWA SUPERVISOR ENROLLMENT FORM
PDF template
Form for establishing or revoking supervisor designation for accessing CARS and GTAS applications in Treasury systems.
See template
See template
Community Engagement And Sustainability Program Application
PDF template
A grant program for large apartment communities to support environmental improvements and community engagement through funding of outdoor space enhancements.
See template
See template
BDA Travel Form
PDF template
A travel request and expense tracking form for travelers within the Bureau of Disability Adjudication
See template
See template
Budget History And Proposal Budget Form
PDF template
A comprehensive financial form for documenting historical budget performance and proposed project budget details including income and expenses.
See template
See template
Cape Fear Homeless Continuum Of Care Membership Form
PDF template
A membership form for organizations and individuals to join the Cape Fear Homeless Continuum of Care network and participate in homeless support initiatives.
See template
See template
CFLeads Investment Contribution Form
PDF template
A donation form for supporting CFLeads, allowing organizations to make financial contributions to strengthen community leadership potential.
See template
See template
Community Futures North Fraser Boardroom Rental Application Form
PDF template
An application form for renting a boardroom from Community Futures North Fraser, with rates and usage terms for non-profit and business groups.
See template
See template
GRANT APPLICATION FORM
PDF template
A comprehensive grant application form for non-profit organizations seeking funding for social accountability projects
See template
See template
Community Fire Rescue Academy Application
PDF template
Application form for individuals interested in attending the Fairfax County Fire and Rescue Department's Community Fire & Rescue Academy
See template
See template
ChildrenS Account Unit Assessment Form
PDF template
A form used by the Illinois Department of Children and Family Services to assess and request fund allocation for children in state guardianship with special needs.
See template
See template
CFS 370 5C Monthly Budget Form
PDF template
A budget tracking document for tracking income, expenses, and financial status for clients of the Illinois Department of Children and Family Services.
See template
See template
Monthly Budget Form For Youth
PDF template
A comprehensive monthly budget form for youth in Illinois Department of Children & Family Services programs to track income and expenses.
See template
See template
PAYROLL DEDUCTION FORM
PDF template
Form for employees to update or initiate payroll deductions for Cat PowerInvestment note investments.
See template
See template
Grant Evaluation Form
PDF template
A form for non-profit organizations to report on the outcomes and financial details of a previously awarded grant.
See template
See template
Application For Credit Facility
PDF template
A comprehensive form for businesses to apply for a credit facility with detailed company and financial information.
See template
See template
CENTER FOR GLOBAL HEALTH NURSING SCHOLARSHIP APPLICATION
PDF template
A comprehensive budget application form for nursing students seeking scholarship funding for global health travel and project expenses.
See template
See template
CGMA Form 2 Special Needs Grant
PDF template
A form for Coast Guard members to apply for special needs financial assistance, collecting client and applicant information for potential grant support.
See template
See template
Conditional Grant Program Grant Application
PDF template
A financial assistance grant for economically disadvantaged students interested in working for the Texas Department of Transportation, covering tuition, fees, and stipend.
See template
See template
Internship Application
PDF template
Comprehensive application form for students seeking an automotive internship opportunity at DMACC (Des Moines Area Community College)
See template
See template
Visa Application E Form
PDF template
Electronic visa application form for Chad Embassy in Washington DC
See template
See template
Volunteer Application
PDF template
A comprehensive form for individuals interested in volunteering with Challenge Enterprises, covering personal details, volunteer interests, and availability.
See template
See template
ChancellorS Circle Society Membership
PDF template
A form for individuals or businesses to join the Chancellor's Circle Society through an annual membership donation.
See template
See template
Change Of Address Form
PDF template
Form for updating personal contact information with the Florida United Methodist Foundation.
See template
See template
SAM HOUSTON STATE UNIVERSITY BANNER BUDGET CHANGE REQUEST
PDF template
A university form for requesting budget modifications, transfers, or increases with multiple levels of approval.
See template
See template
BlackRock Change Of Registration Form
PDF template
A form for re-registering an account or changing ownership at BlackRock, applicable to various account types such as individual, joint tenant, trust, and custodial accounts.
See template
See template
Change Order Request Form
PDF template
A form for requesting currency change orders from Bank of New Zealand (BNZ), allowing customers to specify denomination and payment details.
See template
See template
Change Requisition Or Purchase Order Request
PDF template
A form used to request changes to procurement requisitions or purchase orders, including line item modifications, additions, or cancellations.
See template
See template
Pre Application Form R
PDF template
A form for preliminary water right application meetings, to be filled out by staff of the Department of Natural Resources and Conservation (DNRC).
See template
See template
Chapter 8 ALLOTMENTS AND TAXES
PDF template
A comprehensive guide for military personnel on managing pay allotments, tax status, and financial deductions.
See template
See template
Tribal Travel Regulation
PDF template
Guidelines for travel expenses, reimbursement, and accommodation for tribal representatives and officials.
See template
See template
Non Employed ApplicantS Affidavit
PDF template
A form for non-employed household members to declare their current employment status and potential future employment.
See template
See template
THE PRAIRIE ENTHUSIASTS CREDIT CARD PURCHASE FORM (CCPF)
PDF template
A form for documenting and tracking credit card purchases for The Prairie Enthusiasts organization
See template
See template
Chargeback Notification Delivery Form
PDF template
A form for merchants to specify their preferred method of receiving chargeback dispute notifications via fax or email.
See template
See template
Charisma Chorus Volunteer Form
PDF template
A comprehensive form for recruiting volunteers to support various activities of the Charisma Chorus, including committee work, performance assistance, and event support.
See template
See template
Request For Charitable Contribution
PDF template
A form for student organizations to request and document charitable donations through agency accounts.
See template
See template
Mercy Housing Charitable Partnership Proposal Form
PDF template
A form used for establishing cause-related marketing relationships and commercial partnerships with Mercy Housing to support their national programs.
See template
See template
NonprofitCharity Complaint Form
PDF template
A formal complaint form for individuals to report issues with nonprofit or charitable organizations in Minnesota
See template
See template
ChartField Request Form
PDF template
A form for requesting changes or modifications to chartfield accounting information within an organization's financial system.
See template
See template
Compass Chartfield ValueSmartKey Request Form
PDF template
A form for requesting changes or creation of chartfield values for financial tracking and budgeting purposes at Emory University.
See template
See template
2020 WIOA Budget FORMs
PDF template
Instructions for completing workforce budget forms for the Chicago Cook Workforce Partnership, detailing budget requirements and training cost calculations.
See template
See template
Operating Expense Grant Program Guidelines
PDF template
Guidelines for providing operating expense grants to Community Housing Development Organizations (CHDOs) for affordable housing development in West Virginia.
See template
See template
HOME CHDO Operating Expense Grant Program Guidelines
PDF template
Guidelines for providing operating expense grants to Community Housing Development Organizations (CHDOs) to support affordable housing development in West Virginia.
See template
See template
CHECK ACTION REQUEST FORM
PDF template
A form for requesting to void or re-issue a check, with specific instructions for check processing based on age and availability of the physical check.
See template
See template
Faculty Of Science Sponsored Project Checklist
PDF template
A comprehensive checklist for submitting research project proposals within the Faculty of Science, detailing investigator, sponsor, and project information.
See template
See template
GRADES 6 12 CHECKLIST
PDF template
Comprehensive checklist for students applying to a TK-12 school, outlining required steps for application and admission process.
See template
See template
Bridwell Library Fellowship Application Checklist
PDF template
A comprehensive application packet for fellowship opportunities at Bridwell Library, including details about application requirements and submission process.
See template
See template
Research Proposal Documents Checklist
PDF template
Comprehensive checklist of mandatory documents required for submitting a research proposal to FAPESP research awards program.
See template
See template
Checklist For Close Relative EU Visa
PDF template
Comprehensive guide outlining document requirements for EU visa application for close relatives, detailing necessary paperwork and submission guidelines.
See template
See template
Transitional Kindergarten And Kindergarten Checklist
PDF template
A comprehensive checklist for parents and guardians interested in enrolling their child in Transitional Kindergarten or Kindergarten.
See template
See template
CHECK REQUEST REIMBURSEMENT FORM
PDF template
A form used to request a check payment or request reimbursement for expenses with supporting documentation.
See template
See template
Check Request Reimbursement Form
PDF template
A form for requesting reimbursement checks, allowing individuals to submit details for financial compensation.
See template
See template
Chef Source New Customer Credit Application Form
PDF template
A comprehensive form for new business customers seeking credit account with Chef Source, collecting business, bank, and credit information.
See template
See template
CHELWOOD PLACE APARMENT RENTAL APPLICATION FORM
PDF template
Comprehensive form for collecting personal, employment, and residential details from potential apartment tenants.
See template
See template
Travel Reimbursement Form
PDF template
A form for documenting and requesting travel expenses and reimbursements for university personnel.
See template
See template
Cheque Requisition Form
PDF template
A financial document used to request and authorize payment processing within an organization.
See template
See template
Chi Heng Foundation Internship Application Form
PDF template
Application form for internship opportunities at Chi Heng Foundation, covering personal information, experience, and internship preferences.
See template
See template
IMPACT STORY PHOTO RELEASE AND CONSENT AGREEMENT FORM
PDF template
A legal agreement allowing the American Kennel Club Canine Health Foundation to use specified photographs for organizational purposes.
See template
See template
Cultural Heritage Grant Application
PDF template
Grant program offering funding for local museums, historical societies, and non-profits for cultural heritage projects during 2023-2025 biennium.
See template
See template
CHHS Internship Application Form
PDF template
Application form for students seeking internship placement in human services, community health, or advanced field experience programs.
See template
See template
Chikaming Township Rental Registration Form
PDF template
A comprehensive form for registering rental properties in Chikaming Township, covering short-term and long-term rentals with detailed property information requirements.
See template
See template
Form OEL FRHCW, Child Care Application And Authorization Form, Declaration Of Emergency Response
PDF template
A form for first responders and essential healthcare workers to apply for child care authorization during emergency response periods.
See template
See template
Child Care Grant Application Form
PDF template
Grant application for AAPT national meeting attendees seeking financial assistance for child care expenses, with grants up to $400 available.
See template
See template
Child Care Grant Application Form
PDF template
Application form for conference attendees to receive up to $500 in child care expense reimbursement during conference attendance.
See template
See template
Application For Child Life Internship
PDF template
Application guidelines and requirements for internship positions at Children's Hospitals and Clinics of Minnesota's Child Life Department.
See template
See template
Child Pension Application
PDF template
Detailed document outlining application requirements for child's pension from the Government Employees Pension Fund (GEPF)
See template
See template
Kids For Christ Volunteer Form
PDF template
A comprehensive volunteer application form for individuals interested in working with children at Zion Lutheran Church, including background and personal information screening.
See template
See template
Support Notarization Form
PDF template
A legal document for certifying financial support provided by one individual to another, part of a fuel assistance program application.
See template
See template
Chronic Illness Benefit Application Form 2022
PDF template
Application form for Bankmed members on Essential and Basic Plans to apply for Chronic Illness Benefit coverage.
See template
See template
Chronic Illness Benefit Application Form
PDF template
An application form for patients seeking chronic illness benefits through the Glencore Medical Scheme, detailing submission requirements and contact information.
See template
See template
Remedi Medical Aid Scheme Application Form
PDF template
Application form for patients seeking medical aid coverage through Remedi Medical Aid Scheme, requiring patient and medical professional details.
See template
See template
Malcor Medical Aid Scheme Application Form
PDF template
An application form for joining the Malcor Medical Aid Scheme, requiring patient and medical details.
See template
See template
Church Loan Application
PDF template
Application and guidelines for church loans provided by the Presbytery of Minnesota Valleys, outlining loan eligibility, purposes, and limitations.
See template
See template
Church Scholarship Form
PDF template
A form for churches to provide scholarship support for campers attending Kirkmont Center summer camps.
See template
See template
Candidate Interview Form
PDF template
A form used by the search committee to document candidate interview details, travel expenses, and meal arrangements.
See template
See template
CIF Project Budget Form
PDF template
A fillable budget form for calculating project costs, expenses, and service fees for 6 or 12 month projects.
See template
See template
Internship Application Form
PDF template
A comprehensive form for individuals seeking internship opportunities at CHINAR International, focusing on areas like child development and youth programs.
See template
See template
CINTAS Fellowship Application Form 2022
PDF template
Application form for artists seeking a fellowship from the CINTAS Foundation, with sections for personal information, education, and professional achievements.
See template
See template
Volunteer Application Form
PDF template
A volunteer application form for the Town of Strathmore's Community Improvement Program Committee, seeking public members to review and recommend community funding applications.
See template
See template
Grant Application Form Richmond Hill Office Development And Village Revitalization
PDF template
A grant application form for tax increment, building renovation, and faade improvement grants in Richmond Hill's community development program.
See template
See template
CREATIVE INQUIRY SUMMER EXPERIENCE (CISE) QEP GRANT FORM
PDF template
A grant application form for students seeking funding for summer research experiences at Tennessee Technological University
See template
See template
CitizenshipCommunity Activities Form
PDF template
A document for recording individual and group community service activities, hours volunteered, and people helped.
See template
See template
FREE U.S. CITIZENSHIP APPLICATION WORKSHOP
PDF template
Catholic Charities Immigration Legal Services offering free workshop to help eligible applicants become U.S. citizens with comprehensive application guidance.
See template
See template
City Of Hartford TaxFinancial Certification And Declaration Form
PDF template
Official municipal form for verifying tax status, financial obligations, and federal compliance for business owners in Hartford.
See template
See template
2021 CIVME Research Grant Program Grant Application Instructions
PDF template
Instructions and guidelines for applying to the Council on International Veterinary Medical Education research grant program.
See template
See template
Financial Affidavit Procedures
PDF template
Procedures for attorneys to complete and file Financial Affidavit Form CJA 23 for court-appointed legal representation.
See template
See template
Affidavits Of Financial Status Procedures Memorandum
PDF template
Memorandum detailing procedures for completing and filing financial affidavits for court-appointed attorneys in Kansas City Federal Public Defender/Criminal Justice Act cases.
See template
See template
Indiana Housing And Community Development Authority Donor Contribution Form
PDF template
A form for donors to claim tax credits for contributions to neighborhood assistance organizations in Indiana
See template
See template
Know Your Customer (KYC) Application Form Individual
PDF template
Comprehensive form for collecting individual customer identification and verification details for financial institutions in India.
See template
See template
Dynamic Invoice Form BLR 05620
PDF template
Circular letter introducing a revised dynamic invoice form for local public agencies requesting reimbursement of funds through specific programs.
See template
See template
MDHS CLAIM SUPPORT FORM (COST REIMBURSEMENT) PAYMENT TYPE
PDF template
A form used by subgrantees to report monthly costs incurred and request funds on a cost reimbursement basis.
See template
See template
Volunteer Application Form Class A Minor (Under 18)
PDF template
Application form for minors under 18 years old interested in volunteering with Special Olympics, including consent and privacy agreements.
See template
See template
Maurice A. Clay Leadership Development Grant Application
PDF template
A grant application form for leadership development programs focused on enhancing campus community engagement and leadership skills.
See template
See template
Clayton Court Residency Application Form
PDF template
Comprehensive rental application form for prospective tenants seeking to lease a home at Clayton Court residential community.
See template
See template
CREDIT APPLICATION SALES AGREEMENT
PDF template
A comprehensive credit application form for businesses seeking to establish a credit account with Christensen Lumber, Inc.
See template
See template
Citizens Law Enforcement Academy Application
PDF template
Application form for enrollment in the Citizens' Law Enforcement Academy, requiring background check and personal information.
See template
See template
John Cleman Graduate Fellowship Application Form
PDF template
Application form for the John Cleman Graduate Fellowship for MA English program students at Cal State LA.
See template
See template
Financial Disclosure Report (Form A)
PDF template
Official disclosure form for reporting financial information by Federal Reserve Bank employees.
See template
See template
Federal Reserve Bank Financial Disclosure Report (Form A)
PDF template
A financial disclosure report for a Federal Reserve Bank employee detailing personal financial information and ethics compliance.
See template
See template
2019 Community Parks Improvement Program Checklist
PDF template
Guidelines and checklist for submitting grant applications to the Clermont County Park District for community park improvement projects.
See template
See template
Contribution Form
PDF template
A donation form for making financial contributions to the Conservation Law Foundation with options for recurring or one-time gifts.
See template
See template
ChicanaLatina Volunteer Form
PDF template
A volunteer registration form for individuals interested in supporting the Chicana/Latina Foundation through various volunteer opportunities.
See template
See template
Community Development Project Manager Job Description
PDF template
Full-time salaried position responsible for managing community development projects, grant administration, and collaborative economic initiatives in Yellowstone County.
See template
See template
Client Referral Form
PDF template
A comprehensive referral form for individuals seeking personal enrichment or vocational rehabilitation services, collecting demographic and personal information.
See template
See template
Application For Admission Into The Combined Master Of Veterinary Studies Master Of Veterinary Clini
PDF template
Application form for domestic students seeking admission to specialized veterinary clinical residency programs at the University of Sydney.
See template
See template
Member Application Packet 2021
PDF template
An application packet for membership renewal for charitable immigration programs, including fee structure, contact information, and standards agreement.
See template
See template
ClipperCash Refund Request Form
PDF template
A form for Salem State University students to request a refund of their ClipperCash balance when leaving the university.
See template
See template
The Brody Family Medical Trust Fund Fellowship In Incurable Diseases
PDF template
A fellowship program supporting young scientists conducting research on incurable diseases, administered by The Philadelphia Foundation and The College of Physicians of Philadelphia.
See template
See template
The Brody Family Medical Trust Fund Fellowship In Incurable Diseases
PDF template
A fellowship opportunity for medical researchers focusing on research in incurable diseases, administered by The Philadelphia Foundation and The College of Physicians of Philadelphia.
See template
See template
Change Of Address Form
PDF template
Form for updating address information for an ABLE account beneficiary or account holder.
See template
See template
Contribution Form
PDF template
A form for contributing money to an Alabama ABLE account using a check, with specific instructions and limitations.
See template
See template
Parochial Self Audit Program Checklist
PDF template
A comprehensive audit checklist for Episcopal Church parishes to conduct annual financial reviews, particularly for churches with under $500,000 operating income.
See template
See template
4 H Annual Financial Statement Jackson
PDF template
A comprehensive financial reporting form for 4-H clubs to document annual income, expenses, and account activity.
See template
See template
Requisition
PDF template
A financial document used by clubs or organizations at Virginia Western Community College to request purchases or reimbursements.
See template
See template
4 H Club Treasury Audit Form
PDF template
Annual financial audit form for documenting 4-H club financial records, income, expenses, and account status.
See template
See template
Club Volunteer Application Form
PDF template
A comprehensive form for individuals seeking to volunteer or work within a ski club, requiring personal information and policy agreement.
See template
See template
Construction Management Internship Application Instructions Processes
PDF template
A comprehensive guide for students applying to construction management internships, detailing required documents and application steps.
See template
See template
Construction Management Internship Application Form
PDF template
Application form for students seeking a construction management internship, including required documentation and personal goal setting.
See template
See template
Widow Pension Application
PDF template
A pension application form for widows of cement masons seeking survivor benefits from Local 783 Pension Plan in Houston, Texas.
See template
See template
FAMPO CMAQRSTP Project Application Checklist
PDF template
A comprehensive checklist for submitting transportation project applications to the Fredericksburg Area Metropolitan Planning Organization (FAMPO)
See template
See template
Volunteer Application Form
PDF template
A comprehensive volunteer application form for the Canadian Mental Health Association's Vancouver-Fraser Branch, collecting personal information and volunteer interests.
See template
See template
Volunteer Application 2021
PDF template
A comprehensive form for individuals interested in volunteering at Centro Multicultural, covering personal details, availability, education, and experience.
See template
See template
CMLT Pre Travel Form
PDF template
A comprehensive form for documenting travel details, expenses, and reimbursement information for Indiana University travelers.
See template
See template
Form CMS 116 (0324)
PDF template
Clinical Laboratory Improvement Amendments (CLIA) certification application for health laboratories seeking federal certification.
See template
See template
Volunteer Application Form
PDF template
A comprehensive volunteer application form for the Los Angeles County Department of Parks and Recreation, capturing personal information and volunteer interests.
See template
See template
2019 Auction Donation Form
PDF template
A form for donors to contribute items or funds for a school fundraising auction event.
See template
See template
2020 Auction Donation Form
PDF template
A donation form for contributing items or funds to a middle school PTA online auction fundraiser.
See template
See template
Guardian Of The Estate Inventory Form
PDF template
Guide for guardians to document and report a ward's assets, income, and property for probate court filing.
See template
See template
ChildrenS Museum Shoals Membership Form
PDF template
Membership form for joining the Children's Museum Shoals with options for family, single parent, and grandparent memberships.
See template
See template
CMSP 215 Supplemental Application
PDF template
Application form for individuals seeking medical services coverage through the County Medical Services Program with rights and responsibilities outlined.
See template
See template
CMTF Grant Application Form 202324
PDF template
A comprehensive grant application form for churches seeking funding for specific projects through the Circuit Model Trust Fund.
See template
See template
International Atomic Energy Agency Grant Application Form
PDF template
Application form for grant participation in the International Conference on Climate Change and the Role of Nuclear Power in Vienna, Austria.
See template
See template
Choice Neighborhoods Implementation Grants Budget Guidance
PDF template
Comprehensive document providing detailed budget instructions for Choice Neighborhoods Implementation Grant recipients on developing and managing their program budgets.
See template
See template
Membership Form Join CNPS
PDF template
Membership registration form for joining the California Native Plant Society with options for individual and organizational memberships.
See template
See template
Auction Procurement Form
PDF template
Annual auction fundraising form for a non-profit organization seeking item donations to support wildlife conservation efforts.
See template
See template
POLICY ON PETTY CASH
PDF template
Guidelines for establishing and maintaining departmental petty cash funds and reimbursing petty cash expenditures at New York Medical College.
See template
See template
COACHING APPLICATION FORM
PDF template
Comprehensive form for individuals seeking to become sports coaches, capturing personal details, sports experience, and background information.
See template
See template
COAS Research And Development Grant Application Form
PDF template
Application form for research and development grants at the College of Arts and Sciences, detailing funding requirements and submission guidelines.
See template
See template
Co Borrower Agreement Form
PDF template
A form for co-borrowers to provide personal information and consent for student financial services.
See template
See template
Academic Conference Travel Approval Form
PDF template
Form for obtaining institutional approval and funding for academic conference travel with detailed expense tracking.
See template
See template
COCC Volunteer Application
PDF template
A comprehensive application form for individuals seeking to volunteer at Central Oregon Community College (COCC)
See template
See template
Coconino County Volunteer Service Agreement
PDF template
A comprehensive volunteer service agreement that outlines volunteer responsibilities, terms, and participant details for Coconino County.
See template
See template
Coda Volunteer Form
PDF template
A comprehensive form for collecting volunteer contact information, skills, and interest areas for an organization.
See template
See template
Internship Application Form
PDF template
Comprehensive application form for students seeking internship opportunities at Grand Canyon University, requiring student, teacher, and parent information.
See template
See template
ACS Fiscal Manual Child Welfare
PDF template
Fiscal guidelines and payment instructions for child welfare services by ACS Financial Services, effective July 1, 2011.
See template
See template
Montgomery County ExecutiveS Community Collaboration Grant Application
PDF template
Grant application for non-profit organizations seeking funding support from Montgomery County Executive's budget.
See template
See template
San Antonio Medical Foundation Grant Application Form And Attachments For Collaborating Entities
PDF template
A comprehensive grant application form for collaborative healthcare and biomedical research projects seeking funding from the San Antonio Medical Foundation.
See template
See template
College Budget Form
PDF template
A comprehensive form for tracking college expenses, income, financial aid, and budgeting for students.
See template
See template
College Credit Plus (CCP) Program Application Addendum
PDF template
Application form for high school students to participate in the College Credit Plus program at Franklin University.
See template
See template
Common App College Report
PDF template
A comprehensive form for collecting student academic information and records for college applications.
See template
See template
2024 Detailed Budget Form For Colorado Inflation Reduction Act Urban And Community Forestry Grant Pr
PDF template
A comprehensive budget form for the Colorado Inflation Reduction Act Urban and Community Forestry (UCF) Grant Program, detailing project expenses and grant fund requests.
See template
See template
Information Disclosure Consent Form For UN COVID 19 Medical Evacuation (MEDEVAC) Services
PDF template
Consent form for medical information disclosure and liability release for UN COVID-19 medical evacuation services.
See template
See template
Credit Application And Agreement
PDF template
A comprehensive credit application form for businesses seeking to establish a credit account with NVL Laboratories, capturing business and financial information.
See template
See template
Department Of Communication Internship Application Form
PDF template
A comprehensive form for students to apply for an internship, detailing personal information, work schedule, career goals, and internship expectations.
See template
See template
Oakland University Communication Program Internship Application Form
PDF template
Application form for students seeking internship opportunities in the communication program at Oakland University.
See template
See template
Internship Application Form COMM 592
PDF template
A form for students to apply for internship credits in communication studies, requiring detailed documentation and supervisor approval.
See template
See template
Community Services Block Grant Action Transmittal
PDF template
Official notification to CSBG direct-funded tribes about reporting requirements for Fiscal Year 2024 annual report submission.
See template
See template
Constituent Commandery Audit Form
PDF template
Annual financial audit document for tracking a Commandery's financial assets, liabilities, and paraphernalia
See template
See template
Commercial Credit Application
PDF template
A comprehensive credit application form for businesses seeking to establish a credit account with FireWatch Safety Results Group Pty Ltd.
See template
See template
Commercial Surety Bond Application
PDF template
A comprehensive application form for obtaining a commercial surety bond from Lexington National Insurance Corporation, collecting business and personal financial information.
See template
See template
Marshall County Blueberry Festival Commercial Vendor Application
PDF template
Application form for commercial vendors seeking to participate in the Marshall County Blueberry Festival with booth space rental options.
See template
See template
Commission, Board, And Committee Volunteer Form
PDF template
A form for individuals interested in serving on local government commissions, boards, or committees in the Village of Stockbridge.
See template
See template
Alameda CTC Commissioner Travel And Expenditure Policy
PDF template
Guidelines for travel and expenditure reimbursement for Alameda County Transportation Commission Commissioners during official duties.
See template
See template
Jackson County Committee Volunteer Application Form
PDF template
A form for individuals interested in volunteering for county committees in Jackson County, Florida.
See template
See template
Travel Reimbursement Form For Committee Travel
PDF template
A form for Quaker committee members to claim travel expenses for meetings and committee work.
See template
See template
Travel Reimbursement Form For Committee Travel
PDF template
A form for Quaker committee members to claim travel expenses and optionally donate reimbursements back to Canadian Yearly Meeting.
See template
See template
Committee Volunteer Form
PDF template
A form for individuals interested in volunteering for town committees in Perryville, Maryland.
See template
See template
Common Grant Application Form
PDF template
A standardized grant application form developed by the Council of Michigan Foundations to streamline the grant application process for nonprofits.
See template
See template
Wisconsin Common Grant Application Form
PDF template
A standardized grant application form used by multiple funders in Wisconsin for various types of grant proposals.
See template
See template
Common Child And Adolescent Psychiatry Application
PDF template
An application form and procedure guide for medical professionals seeking child and adolescent psychiatry residency programs.
See template
See template
ResidencyFellowship Non ERAS Common Application Form
PDF template
Comprehensive application form for medical residency and fellowship candidates seeking placement at the University of Connecticut School of Medicine.
See template
See template
Standardized Application For Pathology Fellowships
PDF template
A comprehensive application form for medical professionals seeking pathology fellowship training in various subspecialties.
See template
See template
2nd 8th Grade Common Student Evaluation Form
PDF template
Confidential evaluation form for student applicants to independent schools in the San Francisco Bay Area for grades 2-8.
See template
See template
Common Grant Application
PDF template
A comprehensive grant application form for charities seeking financial assistance from component funds of the Door County Community Foundation.
See template
See template
Common Grant Application
PDF template
A standardized grant application form for charities seeking financial assistance from component funds of the Door County Community Foundation.
See template
See template
New YorkNew Jersey Area Common Application Form
PDF template
A standardized grant application form for nonprofit organizations seeking funding in the New York and New Jersey region.
See template
See template
Community Building Fund Application Form
PDF template
Application for faculty to request funding for community-building events at the University of California, San Francisco
See template
See template
2024 Community Enhancement Grant Application Form
PDF template
A grant application form for non-profit organizations seeking funding for community-based projects and programs
See template
See template
Community Fundraiser Guidelines
PDF template
Guidelines for individuals and organizations organizing fundraising activities to support the Mario Lemieux Foundation's cancer research and patient care efforts.
See template
See template
Community Fundraising Proposal Form
PDF template
A form for proposing and seeking approval for community fundraising events to support a nonprofit organization's mission.
See template
See template
Community Grant Application Form
PDF template
A comprehensive form for organizations seeking funding from the Village of Anmore, detailing project information, budget projections, and community impact.
See template
See template
Community Grants School Pre Authorization Form
PDF template
A form for applicants collaborating with school districts to apply for community grants through CFNIL.
See template
See template
Community Partnership Mini Grant Application Form
PDF template
Grant application form for community project funding up to $500 through institutional partnership program.
See template
See template
Community Room Use Inquiry Form
PDF template
Form for organizations to request use of a community room with details about meeting requirements and available configurations.
See template
See template
Community Room Rental Policy
PDF template
Policy detailing rental terms, fees, and usage guidelines for KVMR's community room located in Nevada City, California.
See template
See template
School District Of Philadelphia Community Training Reimbursement Form
PDF template
Form for employees to request reimbursement for educational training expenses and transportation costs within the School District of Philadelphia.
See template
See template
FloridaUSVI Poison Information Center Jacksonville Community Volunteer Application Form
PDF template
Application form for individuals interested in volunteering at the Florida/USVI Poison Information Center in Jacksonville
See template
See template
Federal Procurement Standards For Subrecipients
PDF template
Guidelines for competitive bidding processes for federal subrecipients with procurement requirements over $100,000
See template
See template
Montgomery County ExecutiveS Community Collaboration Grant Application
PDF template
Grant application for non-profit organizations seeking funding support from Montgomery County Executive's budget.
See template
See template
How To Complete A Budget In JustGrants
PDF template
Instructions for preparing budgets for Department of Justice grant applications using the JustGrants system.
See template
See template
Application Form (Form A) Compost Reimbursement Program
PDF template
Application form for farming and landscaping operations seeking cost reimbursement for compost under Act 302 SLH 2022.
See template
See template
COM Prepaid Visa Card SOP
PDF template
Standard operating procedure for requesting and processing prepaid Visa cards for research participant compensation at the University of South Alabama College of Medicine.
See template
See template
Mid Year Computer Equipment Purchase Request
PDF template
A form for requesting computer or printer purchases outside of the annual budgetary process at Hamilton College, requiring approval from senior administrators.
See template
See template
Alabama Agricultural And Mechanical University Application For Undergraduate Graduation In Enginee
PDF template
A form for students applying to graduate from Alabama A&M University's Engineering and Technology program.
See template
See template
Creating Reports
PDF template
Comprehensive guide for creating expense reports, detailing expense types, naming conventions, and documentation requirements for travel and local expenses.
See template
See template
Conference And Travel Stipend Expense Report
PDF template
Form for scholars to report and document conference and travel expenses funded by the Cooke Foundation.
See template
See template
IEEE Conference Expense Reimbursement Guidelines
PDF template
Guidelines for managing conference-related expenses, payment options, and reimbursement procedures for IEEE conference organizers.
See template
See template
ConferenceTravel Pre Approval Form
PDF template
A form for employees to request pre-approval for conference or travel expenses with detailed cost estimation and reimbursement guidelines.
See template
See template
Public Meeting Minutes
PDF template
Minutes documenting a public meeting for a school district board discussing financial and operational matters.
See template
See template
Neighborhood Council Funding Contribution Form Fiscal Year 2019 2020
PDF template
A form for neighborhood councils to request funding contributions for special accounts in Los Angeles.
See template
See template
Neighborhood Council Funding Contribution Form
PDF template
A form for neighborhood councils to request funding contributions for the LA Congress of Neighborhoods Special Account during fiscal year 2020-2021.
See template
See template
2023 Membership Form
PDF template
Membership form for the New York State Federation of Lake Associations with tiered membership rates for associations, individuals, and corporate members.
See template
See template
Community Partner Assistance Consent Form
PDF template
Consent form authorizing a community partner organization to assist with health coverage application and enrollment process.
See template
See template
Land Development Division Consent Form
PDF template
A consent form for property owners to authorize an agent to submit land development applications in Palm Beach County.
See template
See template
ARTS Conservation License Plate Grants Budget Form
PDF template
Budget form for arts organizations seeking grants through the New Hampshire State Council on the Arts License Plate Grant program.
See template
See template
Application Transmittal Instructions
PDF template
Detailed instructions for electronically submitting Consolidated Grant applications through Connect.gov, including submission requirements and file format guidelines.
See template
See template
Construction Project Approval Form
PDF template
A comprehensive form for approving construction projects over $100,000, detailing project scope, funding, and required approvals.
See template
See template
ConsultantHonorarium Reimbursement Form
PDF template
A form for documenting consultant payments, honorariums, and reimbursements for research-related services at Old Dominion University Research Foundation.
See template
See template
ConsultantParticipant Expense Reimbursement Form
PDF template
Form for documenting and requesting reimbursement of travel expenses for the State Marine Aquaculture Coordination Network Workshop.
See template
See template
NAIC Funded Consumer Representative Travel Expense Reimbursement Policy
PDF template
Policy detailing travel expense reimbursement procedures for NAIC consumer representatives attending national and interim meetings.
See template
See template
2024 NAIC Funded Consumer Representative Travel Expense Reimbursement Policy
PDF template
Guidelines for reimbursing NAIC consumer representatives' travel expenses for national and interim meetings, with up to $5,500 allocated per representative in 2024.
See template
See template
Contribution Form
PDF template
A donation form for making financial contributions to Manna House, Inc., a non-profit organization located in Baltimore, Maryland.
See template
See template
Grants And Sponsored Research Development Contract Authorization Form
PDF template
A form used to summarize internal contract details for research and sponsored projects, requiring review and authorization before project commencement.
See template
See template
NeighborImpact Heat Pump Grant Program Contractor Acknowledgment
PDF template
A detailed guide outlining the process for contractors participating in NeighborImpact's heat pump grant program for Central Oregon households.
See template
See template
Contract Details Register
PDF template
Compilation of multiple IT, services, and procurement contracts with details of suppliers, dates, and values.
See template
See template
Contribution Confirmation Form
PDF template
A donation form for supporting Warren Village's family services and early learning center through tax-deductible contributions.
See template
See template
Contribution Form
PDF template
A form for making financial contributions to various programs and funds at College of Marin
See template
See template
Contribution Form
PDF template
A donation form for contributing to various scholarship and research funds managed by the Texas Business and Professional Women's Foundation.
See template
See template
McLaren Flint Foundation Contribution Form
PDF template
Fundraising form for making charitable donations to McLaren Flint Foundation with multiple designated giving options.
See template
See template
Contribution Form
PDF template
Comprehensive form for making contributions to various retirement and investment accounts including IRA, SEP, SIMPLE, and 401(k)
See template
See template
Contribution Form
PDF template
Donation form for collecting financial contributions to support the New York Landmarks Conservancy, a non-profit organization.
See template
See template
Contribution Form
PDF template
A donation form for making financial contributions to the Society of Biblical Literature through various payment methods and gift designations.
See template
See template
CONTRIBUTORY PENSIONGRATUITY APPLICATION FORM
PDF template
An official form for individuals applying for contributory pension benefits in Bermuda, to be submitted within 13 weeks of eligibility.
See template
See template
Co Op On Campus Grant Application Form
PDF template
A form for departments to apply for funding and support in hiring co-op students within the university.
See template
See template
Curatorial Opportunity Program (COP) Guidelines
PDF template
Guidelines for independent curators to submit group exhibition proposals for the New Art Center's Main Gallery from September 2018 to May 2019.
See template
See template
New Art Center Curatorial Opportunity Program (COP) Guidelines
PDF template
Guidelines for submitting group exhibition proposals for the New Art Center's Curatorial Opportunity Program, accepting proposals for 6-week exhibitions from September 2019 to May 2020.
See template
See template
Wahluke Jr. High ASB Single Purchase Form
PDF template
A form for requesting single purchases using Associated Student Body (ASB) funds for extracurricular activities at Wahluke Jr. High School.
See template
See template
Instructional Staff Application
PDF template
A comprehensive employment application for teaching staff at a Christian school, seeking professionally qualified educators committed to Christian principles.
See template
See template
Library City Funded Budget Summary
PDF template
Detailed budget summary for a city library, including salary and wages, and funding breakdown for 2019.
See template
See template
Lights Of HOPE
PDF template
Donation and membership form for the American Cancer Society Cancer Action Network supporting cancer research and policy advocacy.
See template
See template
Coral Restoration Workshop Scholarship Form
PDF template
A scholarship application form for individuals seeking financial assistance to attend a coral restoration workshop.
See template
See template
The Cornerstone Society Confidential Membership Form
PDF template
A confidential form for individuals who have included Cure HHT in their estate plans, documenting various types of charitable gifts and bequests.
See template
See template
Corporate Contribution Form
PDF template
A form for corporate donations to support various social services and community programs in New York.
See template
See template
Corporate Council Membership Form
PDF template
Membership form for corporate sponsors to join the Western Museum of Flight's Corporate Council at various contribution levels.
See template
See template
CORPORATE LOAN APPLICATION FORM
PDF template
A comprehensive loan application form for corporate borrowers seeking housing or property-related financing from KUSCCO Housing Co-operative.
See template
See template
Contribution Form
PDF template
A donation form for contributing to various funds of the Order of the Daughters of the King organization
See template
See template
NON DELEGATED CORRESPONDENT LOAN PURCHASE AGREEMENT
PDF template
A legal agreement between a loan seller and Stockton Mortgage Funding for the purchase of eligible loans, defining terms and conditions of loan transactions.
See template
See template
NC State University ReimbursementPCard Expense Approval Form
PDF template
A form for submitting and approving university-related expenses and reimbursements for faculty, staff, and guests.
See template
See template
TRAVEL APPROVAL FORM
PDF template
Comprehensive form for documenting and obtaining approval for employee business travel expenses and trip details.
See template
See template
Cost ShareMatching FundsIn Kind Contribution Policy
PDF template
Policy defining cost sharing, matching funds, and in-kind contributions for sponsored research projects at San Francisco State University.
See template
See template
Cost ShareMatching FundsIn Kind Contribution Procedure
PDF template
Procedure for managing cost sharing, matching funds, and in-kind contributions for sponsored research projects at a university.
See template
See template
Cost Transfer Request Form
PDF template
A form used to request expense transfers to a sponsored project at the University of South Alabama.
See template
See template
Grants And Contracts Administration (GCA) Cost Transfer Guidance
PDF template
Guidance for transferring costs to federal awards at Clemson University, detailing requirements and approval processes for cost transfers.
See template
See template
Cost Transfer Request Form
PDF template
A form for requesting transfer of expenses between cost centers and projects, requiring detailed explanation and authorization.
See template
See template
Cost Transfer Request Form
PDF template
A form for requesting transfer of non-payroll or payroll costs over 90 calendar days between different awards or sponsors.
See template
See template
Tennessee Tech University Cost Transfer Request Form
PDF template
A form for requesting cost transfers between university grant or contract indices, with specific documentation requirements for transfers beyond 90 days.
See template
See template
PROJECTACTIVITY PROPOSAL FORM
PDF template
A form for faculty to request funding for professional development and scholarly activities with a maximum request of $3,000.
See template
See template
Certificate Of Trust
PDF template
A document used to establish or update trust insurance and annuity policy ownership with Pacific Guardian Life insurance company.
See template
See template
Unclaimed Property Holder Claim Form
PDF template
Form for holders to claim and return unclaimed property to rightful owners in Maryland.
See template
See template
Idaho Cottage FoodLow Risk FoodFraternal, Benevolent Or Nonprofit Charitable Organization Assessment
PDF template
Official form for registering and assessing cottage food, low-risk food, and nonprofit food operations in Idaho
See template
See template
Advisory Council Nomination Form
PDF template
A form for nominating an individual to serve on an advisory council, collecting personal and professional background information.
See template
See template
Counselling Internship Application Form
PDF template
An application form for counselling internship opportunities at Pacific Centre Family Services, covering student contact and program preference information.
See template
See template
United Way For Southeastern Michigan Grant Agreement Appendix A Counterterrorism Compliance
PDF template
A compliance certification form requiring partner agencies to confirm they do not support terrorism or terrorist organizations.
See template
See template
Volunteer Application Form
PDF template
A comprehensive form for individuals seeking to volunteer at a healthcare facility, including personal information and background check consent.
See template
See template
University Of Illinois Library Courtesy Card ApplicationRenewal Form
PDF template
Application form for obtaining a library courtesy card at the University of Illinois, requiring specific identification and in-person submission.
See template
See template
SPECIAL COURT MONITOR APPLICATION FORM
PDF template
Application form for individuals seeking to serve as a Special Court Monitor in the Florida court system, requiring professional qualifications and background verification.
See template
See template
Rutgers Future Scholars Program Cover SheetChecklist
PDF template
Application form for students to apply to the Rutgers Future Scholars program, including personal and family information.
See template
See template
COVID 19 Relief Fund Contribution Form
PDF template
A contribution form for donating to Broward Health Foundation's COVID-19 Relief Fund to support healthcare workers and patient care.
See template
See template
COVID 19 Release Of Liability Form
PDF template
Release of liability form for Pacific Crest Trail Association volunteers during COVID-19 pandemic, outlining risks and participant responsibilities.
See template
See template
Creative And Performing Arts Awards (CPA) Expense Reimbursement Form
PDF template
A form for students to submit expenses related to Creative and Performing Arts projects for reimbursement from their college.
See template
See template
The National Cancer Institute Cancer Prevention Clinical Trials Network (CP CTNet) Program Guideline
PDF template
Guidelines detailing the organizational structure, governance, and operational protocols for the National Cancer Institute's Cancer Prevention Clinical Trials Network.
See template
See template
District CommanderS Interview Form
PDF template
A form for potential members to apply for District Advisory Committee, subcommittee, or beat facilitator positions within the Chicago Police Department
See template
See template
Application For Credit
PDF template
Comprehensive credit application form for businesses seeking credit from CPM Development Corporation, a CRH Company subsidiary.
See template
See template
CPP SFS Application Form
PDF template
Application form for students applying to a cybersecurity scholarship program with specific service obligations to government agencies.
See template
See template
Municipal Planning Grant Requisition Instructions
PDF template
Instructions for Vermont municipalities to electronically request funds through a grant management system at different stages of a grant period.
See template
See template
CREDIT APPLICATION FORM
PDF template
A comprehensive document for businesses to provide financial and company information when applying for credit.
See template
See template
CPT Application Form
PDF template
An application form for students seeking Curricular Practical Training authorization at Trine University.
See template
See template
Center For Pediatric Therapies Volunteer Application Form
PDF template
A comprehensive application form for potential volunteers at the Center for Pediatric Therapies, including medical and contact information.
See template
See template
Residency Application Form
PDF template
Application form for artists seeking a residency with the Centre for Philosophy and Visual Arts and Kunsthuis SYB
See template
See template
Marshall County Blueberry Festival Craft Vendor Application
PDF template
Application for vendors to participate in the Marshall County Blueberry Festival, seeking to secure a commercial booth space for handcrafted or manufactured items.
See template
See template
Direct Deposit Request
PDF template
A form for employees to set up or cancel direct deposit banking information for payroll purposes.
See template
See template
Special Application For Search Of Military Discharge Form (DD214)
PDF template
A specialized application for obtaining military discharge documents with strict eligibility and privacy requirements.
See template
See template
Loan Application Form
PDF template
A comprehensive loan application form for members of the Cocoa Research Co-operative Credit Union, detailing personal and loan information.
See template
See template
CRCOG Complete Streets Compliance Form
PDF template
A form for documenting compliance with Complete Streets policy requirements for project funding applications to CRCOG.
See template
See template
Spire Consultant App (SCA) User Guides Creating A Booking Form
PDF template
A user guide for creating theatre booking forms in the Spire Consultant App for consultants and secretaries.
See template
See template
Creative Places Open Residency Programme August 2024 Application Form
PDF template
Application guidelines and form for an art residency program at Cow House Studios in Ireland for August 2024.
See template
See template
308 Financial Report Instructions
PDF template
Detailed instructions for reporting financial contributions and support for charitable organizations in Wisconsin.
See template
See template
Investment Management Agreement
PDF template
Legal agreement between an investor and Credicorp Capital Advisors, LLC for investment management services
See template
See template
Credit Application
PDF template
A comprehensive credit application form for businesses seeking to establish a credit account with Mandel Scientific Inc.
See template
See template
Credit Application Form
PDF template
A comprehensive form for businesses seeking credit facilities with detailed company, bank, and trade reference information.
See template
See template
Credit Agreement
PDF template
A comprehensive credit application form for businesses seeking to establish an open account and credit terms with a supplier.
See template
See template
Credit Application Form
PDF template
Comprehensive credit application form for businesses seeking credit terms with Dorfman Milano Company.
See template
See template
Credit Application And Agreement
PDF template
A comprehensive credit application form for businesses seeking to establish a credit account with financial or commercial terms.
See template
See template
Credit Application Form
PDF template
A comprehensive form for businesses to apply for credit with Dorfman Milano, collecting company details, bank information, and trade references.
See template
See template
Credit Application Form
PDF template
A comprehensive credit application form for businesses seeking credit facilities from Formations Wood Inc.
See template
See template
Hawley Wood Lumber Company Business Information Form
PDF template
A comprehensive business credit application form for Hawley Wood Lumber Company to establish business credit and reference details.
See template
See template
Credit Application Form
PDF template
A form for businesses seeking credit extension from Chemical Solvents, Inc. by providing company and financial references.
See template
See template
Credit Application
PDF template
A comprehensive credit application form for businesses seeking open payment terms with A&A Food Service.
See template
See template
Application For Credit
PDF template
A comprehensive credit application form for businesses seeking credit from Bass & Hays Foundry, Inc.
See template
See template
Application For Credit
PDF template
A comprehensive form for businesses seeking credit terms, requesting company and financial information.
See template
See template
CUSTOMER ACCOUNT APPLICATION
PDF template
A comprehensive form for creating a new customer account with sections for personal information, tax status, bank references, and credit references.
See template
See template
Credit Application
PDF template
A credit application form for businesses seeking to establish a business relationship with Matrix Label Systems, Inc.
See template
See template
JEFFERSON PARTNERS L.P. CREDIT APPICATION
PDF template
A comprehensive credit application form for businesses seeking credit from Jefferson Partners L.P.
See template
See template
Credit Acceptance Policy Application
PDF template
A credit application form for businesses seeking to establish a commercial credit account with Romco Sales Co. LLC.
See template
See template
Credit Application Form
PDF template
Comprehensive credit application form for business credit with detailed company and personal information requirements.
See template
See template
Credit Application Form
PDF template
A form for companies to apply for credit terms with Business World Travel, requiring company details, bank references, and authorization.
See template
See template
Credit Application
PDF template
A formal credit application form for businesses seeking credit terms with BN Products - USA, LLC
See template
See template
Credit Application Form
PDF template
A comprehensive credit application form for businesses seeking credit from Dimensions Foundation/Nature Explore.
See template
See template
Confidential Credit Application Form
PDF template
A comprehensive credit application form for businesses seeking credit facilities with Freight Mart International logistics company.
See template
See template
Credit Application
PDF template
Comprehensive credit application form for businesses seeking various fuel and credit account services.
See template
See template
CREDIT APPLICATION FORM
PDF template
A comprehensive form for businesses seeking credit facilities, requiring detailed company and financial information.
See template
See template
Credit Application Form
PDF template
A comprehensive credit application form for businesses seeking to establish credit terms with Retail Innovation PTY Ltd.
See template
See template
CREDIT APPLICATION DISTRIBUTOR ACCOUNT APPLICATION
PDF template
A comprehensive credit application form for businesses seeking to establish a distributor account with financial and trade reference details.
See template
See template
Customer Account Application Form
PDF template
Letter introducing a customer account application process with data protection notice for unincorporated customers.
See template
See template
ADVANTECH CORPORATION CREDIT APPLICATION FORM
PDF template
A comprehensive credit application form for businesses seeking to establish a credit account with Advantech Corporation.
See template
See template
Credit Application
PDF template
A comprehensive form for businesses seeking credit, collecting company details, ownership information, trade and bank references.
See template
See template
How Do I Buy Or Handle Credit Applications
PDF template
Guidelines for handling vendor credit applications within the procurement department, specifying the process and responsibilities for completing credit applications.
See template
See template
Credit Application Form
PDF template
A comprehensive form for businesses seeking credit, requiring detailed contact, financial, and reference information.
See template
See template
Credit Application Form
PDF template
A comprehensive form for businesses to apply for credit, providing company details, ownership information, and financial references.
See template
See template
Credit Application Form
PDF template
A comprehensive form for businesses seeking credit from Tranco Global, LLC, collecting business and financial information for credit evaluation.
See template
See template
Credit Application Form
PDF template
A comprehensive credit application form for companies seeking credit terms with Hitachi Transport System (Asia) Pte Ltd.
See template
See template
Credit Application
PDF template
A comprehensive form for businesses seeking credit, collecting detailed financial and ownership information.
See template
See template
Credit Application Form
PDF template
A comprehensive form for businesses to apply for credit, providing company details, bank information, and trade references.
See template
See template
Credit Balance Authorization Form
PDF template
A form allowing students to authorize Curry College to manage credit balances from federal student aid funds and miscellaneous charges.
See template
See template
Credit Card Authorization Form
PDF template
A form authorizing Envoi Networks to charge credit card for setup, subscription, and usage fees.
See template
See template
CREDIT APPLICATION FORM
PDF template
A credit application form for establishing a business account with Readings, allowing commercial customers to apply for credit terms.
See template
See template
Credit Card Payment Authorization Form
PDF template
A form for donors to authorize one-time or recurring credit card payments for charitable contributions
See template
See template
Credit Card Authorization Form
PDF template
A form for authorizing credit card payments with cardholder details and transaction information.
See template
See template
Credit Card Purchase Form
PDF template
A form for documenting and tracking credit card purchases, requiring details such as purchase date, amount, and event information.
See template
See template
Pinnacle Credit Card Purchase Form
PDF template
A form for documenting and authorizing individual credit card purchases with organizational expense details.
See template
See template
Credit Card Purchase Form
PDF template
Form for submitting and documenting credit card purchases for reimbursement by a Parent-Teacher Organization
See template
See template
Department Credit Card Purchase Form
PDF template
Form for documenting individual credit card purchases within the East Lake Tarpon Special Fire Control District.
See template
See template
Credit Card Use Approval Form
PDF template
A form for requesting approval to use district credit or purchasing cards for school-related expenses
See template
See template
Credit Application Form
PDF template
A credit application form for businesses seeking to establish a credit account with Carrier Rental Systems Asia Pte Ltd.
See template
See template
MLSA Member Cheque Requisition Form
PDF template
A form for submitting expense reimbursement requests for MLSA members with required documentation and payment details.
See template
See template
Clinical Research Fellowship Application Form 2023
PDF template
A comprehensive application form for researchers seeking a clinical research fellowship focused on lung cancer research.
See template
See template
Critical Resistance Internship Application Form
PDF template
Application form for potential interns interested in working with Critical Resistance, an organization focused on challenging the prison-industrial complex.
See template
See template
Resident Qualifying Criteria Leasing Policies
PDF template
Comprehensive guidelines for rental application process, including application requirements, income verification, occupancy limits, and pet policies.
See template
See template
Crowdfunding Approval Form
PDF template
A formal request and approval process for crowdfunding campaigns initiated by individuals associated with Montgomery College, designed to ensure compliance with institutional guidelines.
See template
See template
Crowdfunding Toolkit
PDF template
A comprehensive guide for creating and managing crowdfunding campaigns at Louisiana State University, providing best practices and approval processes.
See template
See template
Fellowship Awards Programme Call For Applications For Funding In 2025 Application Guidelines And Con
PDF template
Guidelines for researchers seeking fellowship funding from the OECD Co-operative Research Programme for scientific research in food, agriculture, forests, and fisheries.
See template
See template
Crooked River Ranch Lions Foundation Continuing Education Scholarship Application
PDF template
A scholarship program offered by the Crooked River Ranch Lions Foundation for residents pursuing higher education, providing up to $2000 for current college students and adults continuing their education.
See template
See template
CRS Funding Report Form
PDF template
A form for reporting on the utilization and outcomes of research funding from CRS.
See template
See template
PROCUREMENT CARD RECONCILIATION Quick Reference Guide
PDF template
A guide for financial systems professionals detailing procedures for reconciling procurement card transactions and cardholder responsibilities.
See template
See template
2012 13 Contractual Service Agreement Technical Assistance Workshop
PDF template
A conference call providing technical guidance for grant recipients on developing contractual service agreements in compliance with state and federal regulations.
See template
See template
Contribution Form
PDF template
A form for making financial contributions to the Center for Strategic and Budgetary Assessments (CSBA), a non-profit organization focused on national security strategy.
See template
See template
Wilfred And Ann Lee Konneker Student Leadership Grant Application
PDF template
A grant application for students seeking funding to develop leadership skills and engage in community-oriented activities.
See template
See template
Residency Application Form
PDF template
Application form for individuals seeking residential placement through St. Leonard's Place Peel, a support program for individuals transitioning from institutional settings.
See template
See template
Colonie Soccer Club Scholarship Application Form
PDF template
A scholarship application form for youth soccer players who need financial assistance with registration fees for the Colonie Soccer Club.
See template
See template
Departmental Application Form
PDF template
Application form for prospective graduate students in the Department of Communication Sciences & Disorders at FIU.
See template
See template
2025 2026 CSIF Budget Form Guide
PDF template
A budget form for organizations requesting funding from the City of Calgary's Community Services Investment Fund (CSIF) for 2025-2026.
See template
See template
Volunteer Application Form
PDF template
Application form for prospective volunteers interested in providing crisis support for sexual assault survivors at SACHA in Hamilton.
See template
See template
Membership Form
PDF template
Membership application form for individuals, businesses, and clubs to support sportfishing conservation efforts in California.
See template
See template
CSS Profile Waiver Request For The Noncustodial Parent
PDF template
A form allowing students to request a waiver for noncustodial parent financial information when applying for financial aid.
See template
See template
CSS Profile Waiver Request For The Noncustodial Parent
PDF template
A form for students seeking to waive the requirement of obtaining CSS Profile information from a noncustodial parent in financial aid applications.
See template
See template
Fundraising Event Approval Form
PDF template
A comprehensive form for planning and obtaining approval for fundraising events at a university foundation.
See template
See template
COLUMBUS STATE UNIVERSITY VOLUNTEER APPLICATION And AGREEMENT
PDF template
A comprehensive form for individuals seeking to volunteer at Columbus State University, covering personal details, volunteer activities, and agreement terms.
See template
See template
Rental Application Form
PDF template
Application for renting facilities at Christ The King Lutheran Ministries' Christian Ministry Center, outlining event details and rental conditions.
See template
See template
CTSI Pilot Award To Advance Translational Science Grant Application
PDF template
Grant application form for researchers seeking pilot funding to advance translational science research projects at Medical College of Wisconsin.
See template
See template
How To Request An Adjustment Of Funding From The Student Government Association
PDF template
A step-by-step guide for student clubs to request funding from the Student Government Association for programs and projects.
See template
See template
2021 2022 Treaty Bison Hunt Application
PDF template
Application form for tribal members of the Confederated Tribes of the Umatilla Indian Reservation to participate in an annual bison hunt.
See template
See template
Culture Moves Europe Application Form For Individual Artists And Cultural Professionals
PDF template
Application form for mobility grants for artists and cultural professionals in Creative Europe countries across various cultural sectors.
See template
See template
Dependent Care Reimbursement Form
PDF template
Form for submitting out-of-pocket dependent care expenses for reimbursement through Peak1 benefits program.
See template
See template
AFSCME LOCAL 3758 EXPENSE REPORT 2020
PDF template
Form for documenting and requesting travel expense reimbursement for AFSCME Local 3758 members.
See template
See template
Undergraduate Scholarship Support Application For Academic Year 2023 2024
PDF template
A competitive scholarship application for students in geosciences and environmental sciences at Midwestern State University.
See template
See template
CUHSR Approved Informed Consent Form Language For Research Studies Using Participant Incentives
PDF template
Guidelines for documenting participant compensation and tax implications in research studies at Bradley University
See template
See template
NEW CUSTOMER APPLICATION
PDF template
Application form for new customers of FCI Ophthalmics, including company information, tax details, and terms of sale.
See template
See template
Request Update To PeopleSoft Grants Module Data For Billing Reporting Purposes
PDF template
Internal form for updating grant and project data in the PeopleSoft system for billing and reporting purposes.
See template
See template
Credit Application Form
PDF template
A comprehensive credit application form for businesses or individuals seeking to establish a credit line with Big C Lumber
See template
See template
New Customer Application For Credit
PDF template
A credit application form for new customers to establish a business credit account with Metal Supermarkets.
See template
See template
Customer Credit Application Form
PDF template
A comprehensive form for businesses to apply for credit with financial and contact information collection.
See template
See template
CREDIT APPLICATION FORM
PDF template
A comprehensive form for businesses to apply for credit by providing company and financial information.
See template
See template
Volunteer Application
PDF template
A comprehensive application form for individuals interested in volunteering at a community free clinic in various medical and support roles.
See template
See template
CWC Membership Application
PDF template
Membership application form for workforce professionals with multiple membership type options and payment methods.
See template
See template
Clearinghouse On WomenS Issues Membership Form
PDF template
Membership form for joining the Clearinghouse on Women's Issues (CWI), offering individual and organizational membership options with various term lengths.
See template
See template
WRIA 9 GreenDuwamish SRFB And CWM 2024 Grant Round Timeline
PDF template
A comprehensive timeline detailing the grant application and review process for WRIA 9 Green/Duwamish Salmon Recovery Funding Board (SRFB) and Coordinated Water Management (CWM) grant rounds.
See template
See template
New Project Guidance, Operating Fund
PDF template
Guidance document for new housing projects and their funding under the U.S. Department of Housing and Urban Development's Operating Fund program
See template
See template
Application For Tuition Assistance Program (TAP)
PDF template
A comprehensive student application for tuition assistance, collecting personal, demographic, and family information for the 2021-2022 academic cycle.
See template
See template
Measure J Growth Management Program Compliance Checklist
PDF template
A checklist for Contra Costa jurisdictions to comply with Measure J Growth Management Program requirements to receive local street maintenance and improvement funds.
See template
See template
Application For Appointment In Cytopathology Fellowship Program
PDF template
Application form for medical professionals seeking a fellowship in cytopathology at the University of Massachusetts Medical School/UMass Memorial Health Care.
See template
See template
Pueblo Grande Museum Auxiliary Membership Form
PDF template
A membership registration form for joining the Pueblo Grande Museum Auxiliary with various membership levels and volunteer opportunity selections.
See template
See template
Private Trust Form
PDF template
A government form for collecting detailed information about private trusts for Centrelink and Veterans' Affairs purposes.
See template
See template
Salary AssignmentCancellation (Form D 60)
PDF template
Detailed instructions for completing a salary assignment or cancellation form for University of Hawaii employees
See template
See template
Credit Application Form
PDF template
A comprehensive form for individuals applying for credit, collecting personal, employment, and financial information from applicants.
See template
See template
PTA Council Annual Historian Report Form
PDF template
Annual reporting form for California PTA councils to document volunteer hours and organizational activities
See template
See template
Employment Application
PDF template
Official employment application form for positions with the State of Kansas government, including accommodation and veterans' preference information.
See template
See template
FCC Letter Regarding Pacific Telesis Enterprises MDS Auction Application
PDF template
Official Federal Communications Commission letter addressing a joint request by Pacific Telesis Enterprises and related parties to amend their MDS auction application
See template
See template
IJPCS DACAmented College Application Guide
PDF template
A comprehensive guide for DACA students navigating college application processes in Ohio universities.
See template
See template
DAF Grant Application Form 202324
PDF template
Application form for churches seeking grant funding through the District Advance Fund for project support.
See template
See template
Dakota Dough Reimbursement Form
PDF template
Form for submitting reimbursement requests for Girl Scout-related expenses and activities.
See template
See template
Dam Removal Grant Program Application Form 3500 106
PDF template
Instructions for municipalities, lake districts, private dam owners, and state agencies seeking grants for dam removal under Wisconsin Administrative Code Ch. NR 336.
See template
See template
VISIT BALTIMORE TOURSIM ECONOMICS DATA ANALYTICS FELLOWSHIP PROGRAM Application Form
PDF template
Application form for a data analytics fellowship program targeting diverse college graduates in Baltimore, focusing on employment and educational background.
See template
See template
Davenport Emergency Grant Application Form
PDF template
Application for emergency financial assistance for veterans through the Broomfield Veterans Memorial Museum Davenport Fund
See template
See template
Wholesale Credit Application
PDF template
A credit application for wholesale customers interested in purchasing Kosher poultry products from David Elliot Poultry Farm.
See template
See template
Juror Request For Day Care Reimbursement
PDF template
A form for jurors to request reimbursement for day care expenses incurred during jury service in the Minnesota Judicial System.
See template
See template
Volunteer Sign Up Sheet
PDF template
A form for individuals and groups to sign up and volunteer for various community projects and service opportunities.
See template
See template
DaySpring Assisted Living Volunteer Application Form
PDF template
A comprehensive application form for potential volunteers at DaySpring Assisted Living, capturing personal details, interests, and motivation for volunteering.
See template
See template
Credit Application Form
PDF template
A comprehensive form for businesses seeking credit from Dayton Freight Lines, collecting company details, financial information, and references.
See template
See template
Form 8 K
PDF template
Securities and Exchange Commission current report filing by United Natural Foods, Inc. providing current company information and disclosures.
See template
See template
DBBS Expense Approval Form
PDF template
A comprehensive form for submitting and approving expenses incurred on behalf of DBBS, with detailed policy guidelines and documentation requirements.
See template
See template
Dynamic Budget Projections Version 2022 Purchase Form
PDF template
A purchase form for acquiring Dynamic Budget Projections training materials with multiple payment options.
See template
See template
Information About Filing A Complaint
PDF template
Guide for filing complaints with the Alaska Division of Banking and Securities about financial institutions and securities violations.
See template
See template
Application For Financial Assistance For Alternative Dry Cleaning Equipment Purchases
PDF template
Financial assistance application for replacing traditional dry cleaning equipment with alternative, environmentally-friendly technologies
See template
See template
Budget Form
PDF template
A budget form for applying to the Defense Community Economic Development Fund grant administered by the Technical College System of Georgia's Office of Workforce Development.
See template
See template
DCMA Required Supporting Documentation
PDF template
Guidelines for submitting required documentation for job applications at DCMA, including specific requirements for different employee categories.
See template
See template
DCUR Award Disbursement Procedures
PDF template
Procedures for receiving and managing research grant funds from the Drapeau Center for Undergraduate Research, including disbursement, administrative requirements, and tax documentation.
See template
See template
DD FORM 2789
PDF template
A Department of Defense form for requesting waiver or remission of financial indebtedness for military and civilian personnel.
See template
See template
VOLUNTEER AGREEMENT FOR APPROPRIATED FUND ACTIVITIES NONAPPROPRIATED FUND INSTRUMENTALITIES
PDF template
A form documenting voluntary service agreement for Department of Defense appropriated and nonappropriated fund activities
See template
See template
EISENHOWER SOCIETY GRANT APPLICATION FORM
PDF template
A comprehensive grant application form for organizations seeking funding from the Eisenhower Society to support projects aligned with the organization's mission.
See template
See template
Draw Down The Lightning Grants Proposal Form
PDF template
A comprehensive grant proposal form for requesting funding from a university for a project aligned with institutional strategic framework.
See template
See template
2024 NEXUS ARTS STUDIO RESIDENCY PROGRAM Studio Residency Application Form
PDF template
An application form for emerging artists from diverse cultural backgrounds in South Australia to participate in an arts studio residency program.
See template
See template
VA Fiduciary Hub Financial Institution Information Form
PDF template
A document for veterans' fiduciaries to establish or update direct deposit and account titling with the Department of Veterans Affairs.
See template
See template
Donor Designation Station Material Inventory Form
PDF template
A comprehensive form for tracking and inventorying materials for a donor designation event or awareness campaign.
See template
See template
Donate Life Event Materials Order Form
PDF template
A comprehensive request form for ordering promotional materials for a Donate Life event, including brochures, giveaways, and display items.
See template
See template
BETA THETA PI FOUNDATION GRANT APPLICATION FORM
PDF template
A grant application form for constructing, renovating, or equipping designated educational areas (DEAs) in fraternity chapter houses.
See template
See template
Application For Life AndOr Critical Illness Insurance
PDF template
Notification about a new insurance application form version and submission requirements for Equitable Life insurance advisors.
See template
See template
Dealer Application
PDF template
Application for dealers to join Modern Driveline's distribution program with multiple discount levels and business type options.
See template
See template
DEATH BENEFIT APPLICATION FORM
PDF template
A form for processing retirement and terminal benefits for deceased retirement savings account (RSA) holders and their next of kin.
See template
See template
Death Benefit Application Form
PDF template
A form for Fiji Bank & Finance Sector Employees Union members to apply for death benefits for themselves or eligible family members.
See template
See template
Debit Card Application
PDF template
Application form for obtaining a new or replacement debit card from a credit union, requiring member details and signature.
See template
See template
Debit Card Application
PDF template
Application form for obtaining a Visa check card from DC Credit Union for members with a checking account.
See template
See template
Debit Card Purchase
PDF template
A form for documenting and tracking debit card expenses for church and parsonage purchases.
See template
See template
December 2022 Skip A Pay
PDF template
A form allowing credit union members to defer their loan payment for December 2022 for a processing fee of $47 per loan.
See template
See template
Form 8 K
PDF template
Securities and Exchange Commission filing by Greenidge Generation Holdings Inc. disclosing current business information
See template
See template
DEC Event Audit Form
PDF template
A form for documenting and evaluating arts events funded by the St. Lawrence County Arts Council.
See template
See template
Fund For Responding To Loss And Damage
PDF template
Compilation of Board decisions for the Fund for responding to loss and damage during its inaugural meeting in Abu Dhabi.
See template
See template
Declaration Form For Missing Receipts
PDF template
A form used to declare lost or unobtainable expense receipts for travel or business expense reimbursement at the University of Victoria.
See template
See template
COMPENSATION AND BENEFITS TRAVEL REIMBURSEMENT
PDF template
Procedures and guidelines for travel expense reimbursement for employees, volunteers, and other individuals traveling on College business.
See template
See template
Undergraduate Application For Degree Degree Audit
PDF template
A comprehensive form for undergraduate students at the University of South Dakota to apply for their degree and record academic details.
See template
See template
Delivery Form For European Union Allowances (EUA)
PDF template
Form for transferring European Union Allowances (EUA) through NASDAQ Clearing registry system
See template
See template
Cornell University Expand Your Horizons 2023 Expense Approval (EA) Form Demos
PDF template
A form for requesting and tracking expenses for Cornell University's Expand Your Horizons event demos, with detailed purchasing guidelines.
See template
See template
1115 Demonstration Extension Application Attachment 5
PDF template
A form documenting financing mechanisms for a state Medicaid demonstration project, including funding sources and provider payment arrangements.
See template
See template
Dennis Elliott FounderS Fund Residency Application
PDF template
Application form for artists seeking a residency at the International Studio & Curatorial Program (ISCP) with specific requirements and submission guidelines.
See template
See template
Departmental Requisition Form
PDF template
A form used to request and document purchase of goods or services, specifying funding source, vendor details, and item information.
See template
See template
Departmental Requisition
PDF template
Internal form for departments to request services, equipment, or supplies with budget allocation and approval tracking.
See template
See template
DependantS Pension Application Form
PDF template
A form for Nestl European Pension Fund members to nominate a financial dependent to receive pension benefits in the event of the member's death.
See template
See template
Dependent And Elder Care Professional Travel Grant Program Reimbursement Form
PDF template
A form for faculty to request reimbursement for dependent care expenses incurred during professional travel.
See template
See template
Housing Deposit Refund Form
PDF template
A form for students to request refund of their housing deposit when leaving campus housing due to various reasons.
See template
See template
Physics And Astronomy Employee Business Expense Reimbursement Form
PDF template
Guidelines for submitting expense reimbursement forms for Physics and Astronomy department employees using a new electronic process through Workday Expenses.
See template
See template
Departmental Software Order Form
PDF template
A form for ordering and tracking software licenses and media for Virginia Polytechnic Institute and State University departments.
See template
See template
Guidelines For Promotion Incentive Grant Applications
PDF template
Funding opportunity for senior associate professors to support research and scholarship towards promotion to full professor at James Madison University's College of Arts and Letters.
See template
See template
Account Codes Guide
PDF template
A comprehensive guide to account codes and expense classifications for community college budget and accounting practices.
See template
See template
Patent Application Registration Conditions In Iraq
PDF template
Detailed guidelines for registering a patent application with the Industrial Property Division in Iraq's Central Organization for Standardization and Quality Control.
See template
See template
Grant Inquiry Form
PDF template
A form and guide for faculty and staff to submit grant proposals through the Grants Office at BPCC.
See template
See template
Application For Direct Equity Investment (DFC 001B)
PDF template
An official form for submitting an application for direct equity investment through the United States International Development Finance Corporation.
See template
See template
ONDCP And CDC Drug Free Communities (DFC) Support Program FY 2020 DFC Non Competing Continuation App
PDF template
A webinar document providing questions and answers for the Drug-Free Communities Support Program non-competing continuation grant application process.
See template
See template
Volunteer Application Form
PDF template
Comprehensive form for individuals interested in volunteering, capturing personal details, skills, availability, and volunteer preferences.
See template
See template
City Of Chicago Budget Form Instructions
PDF template
Instructions for completing the City of Chicago's standard budget form, including guidance on capturing agency and budget information.
See template
See template
Doing Good Campaign Donation Form
PDF template
A donation campaign by Duke University to support local community initiatives in health, housing, education, employment, and nonprofit capacity.
See template
See template
Notice Of Incomplete Application
PDF template
Official notice from County Department of Social Services informing an applicant that their health care coverage application is incomplete and requires additional information.
See template
See template
DIGABC Membership Form
PDF template
A membership application form for the Disabled Independent Gardeners Association of BC (DIGABC), detailing personal information and membership benefits.
See template
See template
Lehi High School Purchase Order Request Form
PDF template
A form used by teachers to request purchases from vendors, with approval levels based on total cost
See template
See template
Travel ApprovalReimbursement Request
PDF template
A comprehensive form for employees to request and document travel expenses and reimbursement at McLennan Community College.
See template
See template
EmployerS Authorization To Make Purchases On Behalf Of An Exempt Governmental Or Nonprofit Organizat
PDF template
A form enabling exempt governmental or nonprofit organizations to make purchases or rental arrangements with authorization from an authorized representative.
See template
See template
Property Tax Bill Direct Debit Cancellation Form
PDF template
Form for cancelling automatic property tax payment through direct debit at a financial institution.
See template
See template
DIRECT DEPOSIT AUTHORIZATION FORM FOR STUDENTS
PDF template
A form allowing Colgate University students to set up direct deposit for payments or refunds.
See template
See template
Cash Release Request Direct Deposit Cancellation Form
PDF template
Form for students to cancel their direct deposit information and request alternative cash release method at Concordia University Wisconsin.
See template
See template
Aultman College Student Direct Deposit CANCELLATION Form
PDF template
Form for students to cancel direct deposit of refunds from Aultman College and revert to paper check payments.
See template
See template
Direct Deposit Enrollment Form And Policy
PDF template
Form for employees to enroll in or modify direct deposit banking information for payroll, with option for up to three bank accounts.
See template
See template
DIRECT DEPOSIT AUTHORIZATION AND INPUT FORM
PDF template
Official form for state employees to set up or modify direct deposit banking information for payroll services.
See template
See template
Direct Deposit Form
PDF template
A form for employees to set up direct deposit of payroll checks with their employer and financial institution.
See template
See template
CommuteSmart Direct Deposit Authorization Form
PDF template
A form allowing students to set up, change, or stop direct deposit for tuition refunds and payments at Palo Alto University.
See template
See template
Direct Deposit Form
PDF template
Form for setting up direct deposit of payments from Kansas Payment Center to a personal bank account.
See template
See template
Authorization For Direct Deposit
PDF template
A form for setting up direct deposit payments with Family Partnerships of Central Florida, detailing account and authorization information.
See template
See template
Direct Deposit Authorization
PDF template
Form for setting up or modifying direct deposit banking information for employee payroll
See template
See template
Direct Deposit Enrollment Form
PDF template
A form to authorize direct deposit of paycheck or periodic credit entries into specified bank accounts.
See template
See template
Direct Deposit Worksheet
PDF template
A form allowing employees to set up direct deposit for their paycheck with multiple bank account options
See template
See template
Direction Of Investment Non Qualified Accounts
PDF template
A form for directing investment purchases in non-qualified accounts with specific documentation requirements for various investment types.
See template
See template
DIRECTION OF INVESTMENT
PDF template
A comprehensive form for directing investment assets and providing account and contact information for investment processing.
See template
See template
United Soybean Board Expense Voucher Form
PDF template
Form for submitting travel and expense reimbursement requests for United Soybean Board employees and committee members.
See template
See template
Disability Benefit Application Form
PDF template
Official government form for applying for disability benefits in Bermuda, detailing eligibility requirements for contributory and non-contributory disability benefits.
See template
See template
Disability Support Pension Application Form
PDF template
A comprehensive form for individuals seeking financial support due to disability, covering eligibility, evidence requirements, and application process.
See template
See template
Customer Discount Credit Account Application
PDF template
Application for creating a credit or discount account with Admiral Ship Supply for commercial and personal customers.
See template
See template
DISCRETIONARY EXPENSE APPROVAL FORM
PDF template
A form for employees to request approval of discretionary expenses with detailed category breakdown and multiple levels of authorization.
See template
See template
Community Services Block Grant Discretionary Grant Application Form
PDF template
A comprehensive grant application form for organizations seeking funding through the Community Services Block Grant Discretionary program.
See template
See template
Discretionary Trustee Grant Application Form
PDF template
Application form for organizations seeking a discretionary grant from the General Service Foundation through a trustee recommendation.
See template
See template
QP Distribution Notice
PDF template
A comprehensive notice explaining distribution options and tax consequences for retirement plan participants.
See template
See template
Distributor Sales Agent Application Form Part A
PDF template
Initial application form for potential sales distributors and agents seeking to represent Kinamed products.
See template
See template
Affidavit Of Qualifications For Wisconsin Technical College District Board Membership
PDF template
Official document outlining requirements and process for applying to serve on Wisconsin Technical College System district boards.
See template
See template
District Contact FormApplication Supplement
PDF template
A required form for candidates in the TCSJ IMPACT Intern Credential Program to provide personal, emergency, and employment information.
See template
See template
District Membership Promotion Request Form
PDF template
Form for districts to request membership promotion funds up to $175 with a detailed membership program plan.
See template
See template
DISTRICT MEMBERSHIP PROMOTION REQUEST FORM
PDF template
A form for district commanders to request funds for membership promotion activities with specific guidelines and funding limits.
See template
See template
District Reimbursement Form
PDF template
Form for processing reimbursements to a school district for inadvertent charges or other specific expense scenarios.
See template
See template
CLAIM FOR REIMBURSEMENT TRAVEL FORM
PDF template
A form for Coast Guard Auxiliary Division 5 members to claim travel-related expenses and reimbursements.
See template
See template
Graduate Diversity Fellowship Application Form
PDF template
An application form for graduate students seeking a diversity fellowship at SUNY State College of Optometry.
See template
See template
Retirement Scheme Divorce Benefit Information Form
PDF template
A form collecting member details for potential benefit distribution in the event of a divorce order affecting a retirement fund
See template
See template
Retirement Scheme Divorce Benefit Information Form
PDF template
A form for collecting member information related to potential benefit distribution in the context of a divorce order
See template
See template
DIY Special Events Guidelines
PDF template
Guidelines for organizing independent fundraising events to support the Epilepsy Foundation of Michigan's programs and services.
See template
See template
DL 14A Texas Driver License Or Identification Card Application
PDF template
Official form for obtaining a Texas driver license or identification card for individuals 17 years 10 months and older.
See template
See template
CREDIT APPLICATION SALES AGREEMENT
PDF template
A comprehensive form for businesses seeking credit and establishing a sales relationship with Direct Lumber and Door of Colorado.
See template
See template
Information Packet For 2022 2023 Desk Manager Selection Process
PDF template
Comprehensive guide for student applicants interested in becoming a Desk Manager, detailing job requirements, application process, and employment terms.
See template
See template
DMIC Credit Application Form
PDF template
A comprehensive form for businesses to apply for credit, providing financial and business information for credit evaluation.
See template
See template
DNS Relief Fellowship Request For Project Funding
PDF template
A funding request form for a non-profit organization focused on providing humanitarian aid in developing countries.
See template
See template
Application Fee Waiver Form
PDF template
A comprehensive form for applicants seeking a fee waiver from the Arizona Board of Osteopathic Examiners, requiring detailed personal and financial information.
See template
See template
Osteopathic Physician Application Fee Waiver Form
PDF template
A form allowing first-time osteopathic physician applicants to request a waiver of the $400 application fee based on income eligibility.
See template
See template
LEGAL ENTITY REGISTRATION FORM
PDF template
A registration form for legal entities in the financial sector, used to provide details about the organization and its managed assets.
See template
See template
Volunteer Application
PDF template
Comprehensive application form for potential volunteers at the Dauphin Island Sea Lab Aquarium seeking to understand applicant background and interests.
See template
See template
Tualatin Hills Park Recreation District Budget Committee Application
PDF template
Application form for individuals interested in serving on the Tualatin Hills Park & Recreation District Budget Committee
See template
See template
PURCHASES REQUIRING DOCUMENTATION OF P CARD PURCHASE FORM
PDF template
Guidelines for documenting purchases that require special justification or explanation when using a purchasing card (P-Card)
See template
See template
Document Checklist Citizenship Application Form Canada
PDF template
A comprehensive checklist for individuals applying for Canadian citizenship, detailing required documents and submission guidelines.
See template
See template
DOCUMENT RETURN FORM
PDF template
A form allowing applicants to specify their preference for document return or destruction after placement on a Qualification List.
See template
See template
Class Action Complaint For Violations Of The Federal Securities Laws
PDF template
Federal class action lawsuit against DocuSign regarding securities law violations during specified trading period
See template
See template
Rental Application Form
PDF template
A comprehensive form used by potential tenants to provide personal and rental history information when applying to rent a property.
See template
See template
Build America, Buy America Act (BABAA) Domestic Sourcing Requirements Waiver Request Form
PDF template
A form for requesting a waiver from domestic sourcing requirements for Department of Education grant programs under the Build America, Buy America Act.
See template
See template
DOMESTIC TRAVEL REIMBURSEMENT CLAIM FORM
PDF template
A form for submitting travel-related expenses for reimbursement, including transportation, mileage, and other travel costs.
See template
See template
DONATION APPROVAL FORM
PDF template
A form for documenting and obtaining approval for donations to the Board of Education.
See template
See template
Donation Form
PDF template
A form for documenting monetary or property donations to Granite School District with details about the donation and donor.
See template
See template
Food Donation Agreement Form
PDF template
A form for documenting the terms and conditions of food donation between a donor and recipient organization, including details about food products, transportation, and responsibilities.
See template
See template
Donor Contribution Form
PDF template
A form for making financial contributions to the Oakton College Educational Foundation with multiple donation options and designations.
See template
See template
Contribution Form (Print And Return)
PDF template
A donation form for supporting the Department of Geography and Geology at Western Kentucky University through financial contributions.
See template
See template
2017 DONATION FORM
PDF template
A form for collecting donor information and item donations for a nature preserve nonprofit organization
See template
See template
Donation Inquiry Form
PDF template
Form for potential donors to submit information about items they wish to donate to the museum's collection.
See template
See template
DonationContribution Form
PDF template
A form used to document and evaluate potential organizational donations or contributions to an event or function.
See template
See template
DONATION REQUEST FORM
PDF template
A form for organizations to request funding or donations from the City of St. Francis, Minnesota.
See template
See template
Oaks Of Louisiana Contribution Form
PDF template
A form for making financial contributions to The Oaks of Louisiana, allowing donors to specify donation amount and designation.
See template
See template
Gift Aid Declaration Form
PDF template
A form for UK taxpayers to make tax-efficient charitable donations to the Bologna Center of Johns Hopkins University UK Charitable Trust.
See template
See template
Bequest To Create Trust Form Donor Advised Fund
PDF template
Legal document for establishing a charitable trust fund through The New York Community Trust with donor advisory provisions.
See template
See template
Donor Checklist
PDF template
Step-by-step guide for making tax-credited scholarship donations to the Anabaptist Scholarship Foundation of Virginia
See template
See template
Contribution Form
PDF template
A comprehensive form for making financial contributions to Capital University, allowing donors to specify gift amounts, designations, and payment methods.
See template
See template
INTERNSHIP APPLICATION FORM
PDF template
A comprehensive form for students seeking internship opportunities at The DoSeum, requiring personal, educational, and employment details.
See template
See template
Application, Liability Release And Rental Agreement Form
PDF template
A liability release and rental application form for using the Glen Echo Town Hall meeting room, including details about event, attendance, and sponsorship requirements.
See template
See template
Application For Admission To Candidacy For Degree Completion
PDF template
Application form for Physical Therapy students seeking degree candidacy and graduation at Hampton University's Graduate College.
See template
See template
Disability Benefit Application Instructions
PDF template
Comprehensive instructions for submitting a disability benefit application, including eligibility requirements and submission guidelines.
See template
See template
Application For A ConsumerS Certificate Of Exemption
PDF template
Form for nonprofit organizations and governmental entities to obtain a sales and use tax exemption certificate in Florida.
See template
See template
San Ignacio Villas Inc, HOA Annual Meeting Minutes
PDF template
Annual meeting minutes for San Ignacio Villas Homeowners Association documenting board election, financial report, and yearly review.
See template
See template
Travel Grant Application Form
PDF template
Application for research travel grant to the African American Episcopal Historical Collection at Virginia Theological Seminary.
See template
See template
Artist ApplicationAgreement
PDF template
A legal document for artist participation in Buttonwood Art Space activities, including a waiver of liability and hold harmless agreement.
See template
See template
DRG OPD Regional Fellowship Application Form
PDF template
Application form for a regional fellowship program with specific eligibility requirements and confidential application process.
See template
See template
DRI Project Form
PDF template
A document soliciting project proposals for downtown revitalization funding through New York State's Downtown Revitalization Initiative program.
See template
See template
Dr. Mindy Goldberg Rose Internship Application Form
PDF template
Application form for internship opportunities at a theatre, offering various technical and design areas of concentration.
See template
See template
LQA Living Quarters Allowance AnnualInterim Expenditures Work Sheet
PDF template
U.S. Department of State form for reporting allowable living quarters expenses to process a claim on SF-1190.
See template
See template
DS 174 Employment Application For Locally Employed Staff Or Family Member
PDF template
Official employment application form for locally employed staff or family members seeking positions at U.S. embassies or consulates
See template
See template
Specific Instructions
PDF template
Comprehensive guide for completing an employment application form, with specific guidance on filling out various sections including veteran's preference and educational background.
See template
See template
Non Profit Internship Application Form
PDF template
Application form for internship opportunities with a non-profit organization supporting individuals with Down syndrome in the Piedmont area.
See template
See template
Downtown Storefront Activation Grant Application Checklist Documentation Requirements
PDF template
Comprehensive checklist and documentation requirements for businesses and non-profits applying for downtown storefront activation grants in Albuquerque.
See template
See template
Youth Membership Form (Under 18)
PDF template
A comprehensive membership form for youth under 18 to join senior and multigenerational center programs in Albuquerque.
See template
See template
Fiscal Year 2022 PresidentS Budget Defense Security Cooperation Agency
PDF template
Budget document detailing the Defense Security Cooperation Agency's fiscal year 2022 budget request and operational description.
See template
See template
CREDIT APPLICATION FORM
PDF template
Credit application form for businesses seeking to establish a credit account with Dunphey-Smith Supply, a distributor of HVAC and sheet metal supplies.
See template
See template
Direct Deposit Enrollment Authorization Form
PDF template
Authorization form for electronic benefit payments through direct deposit for Social Services programs in North Carolina.
See template
See template
CONTRIBUTION FORM
PDF template
A detailed form inquiring about financial contributions and monetary support to specific individuals in a legal case.
See template
See template
Contribution Form
PDF template
A bilingual form to determine financial contributions made by an individual to specific named persons.
See template
See template
DTCC Data Repository (U.S.) LLC SEC Exhibit U
PDF template
Compilation of contract documents governing security-based swap data repository services and user agreements for DTCC data repositories.
See template
See template
Volunteer Application Form
PDF template
A comprehensive form for individuals interested in volunteering with a literacy and education organization
See template
See template
Application Form Guidelines
PDF template
Detailed guidelines for filling out an application form, providing step-by-step instructions for each section of the document.
See template
See template
High School Dual Enrollment ApplicationState ResidencyCitizenship Form
PDF template
Application form for high school students seeking dual enrollment at a university, including residency and citizenship information.
See template
See template
El Camino College Dual Enrollment Application
PDF template
Application for high school students to enroll in courses at El Camino College
See template
See template
APPLICATION FOR USE OF SCHOOL FACILITIES (BUILDINGSALL FIELDS)
PDF template
Application form for organizations seeking to use Duanesburg Central School facilities, outlining usage terms and responsibilities.
See template
See template
2024 John S. Dunn Collaborative Research Award Program Proposed Budget
PDF template
Budget proposal form for collaborative research award program with detailed cost breakdown and funding guidelines.
See template
See template
Duval County Financial Obligations Inquiry Form
PDF template
Form for individuals to inquire about financial obligations related to legal cases in Duval County, Florida.
See template
See template
Drinking Water Revolving Loan Fund Program Loan Application Package
PDF template
Loan application package for water infrastructure funding in Louisiana, designed for entities seeking financial assistance for drinking water projects.
See template
See template
Dynamic Budget Projections Version 2023 Purchase Form
PDF template
A purchase form for acquiring a budget projection resource from MSBO with payment and billing details.
See template
See template
Dynamic Budget Projections Version 2024 Purchase Form
PDF template
Order form for purchasing a dynamic budget projection resource from MSBO for educational organizations
See template
See template
Looking After Tenants
PDF template
A comprehensive guide for tenants explaining the rental process, application requirements, and deposit procedures for Dynes Residential in Northern Ireland.
See template
See template
2022 WEDGE RESIDENCY Application Form
PDF template
An application form for artists and practitioners seeking a research residency in Vancouver, focused on exploring specific topics or histories related to the city.
See template
See template
Form 8 K
PDF template
Securities and Exchange Commission filing providing current report for Prothena Corporation Public Limited Company
See template
See template
Restraint And Seclusion Student Data Collection Manual
PDF template
Application for participation in the Engineering for US All Grant by the Maryland State Department of Education for the 2022-2023 academic year.
See template
See template
Teratai Residency Application Form
PDF template
Application form for renting a room at Teratai Residency in Kuala Lumpur with various room type options and deposit details.
See template
See template
Declaration For Testamentary Deposit (Multiple Grantors), Form 720009
PDF template
Federal document detailing FDIC forms used to collect information about depositors and deposit ownership for failed financial institutions.
See template
See template
EAF Contribution Form
PDF template
A form for Camelback employees to voluntarily contribute to the Employee Assistance Fund through payroll deductions.
See template
See template
Education Abroad Grants Application Guidelines
PDF template
Comprehensive guidelines for Nebraska Wesleyan University students seeking financial support for study abroad programs, including eligibility criteria and application procedures.
See template
See template
Emergency Assistance To Non Public Schools (EANS) Inventory Form
PDF template
Form for documenting equipment purchased with Emergency Assistance to Non-Public Schools (EANS) II funds for tracking and inventory purposes.
See template
See template
EARLYBIRD ON SITE VOLUNTEER STAFF GUIDELINES AND HANDBOOK 2024
PDF template
Comprehensive guidelines for volunteers at the SUN 'n FUN Expo campus, detailing roles, requirements, and community expectations.
See template
See template
Early Childhood Education Curriculum A Application Form For Enrollment In Supervised Student Teachin
PDF template
Application form for students seeking enrollment in supervised student teaching at Harris-Stowe State University's Teacher Education Department.
See template
See template
Rental Application
PDF template
Comprehensive form for prospective tenants to apply for rental property, collecting personal, employment, and identification information.
See template
See template
Enable Ability Volunteer Application Form
PDF template
Comprehensive application form for individuals interested in volunteering with Enable Ability, collecting personal, medical, and emergency contact information.
See template
See template
Third Party Fundraising Event Proposal Form
PDF template
A form for individuals or groups proposing to host a fundraising event on behalf of the Epilepsy Association of Western and Central PA.
See template
See template
ECCB12 Fellowship Application Form
PDF template
Application form for fellowship at ECCB'12 conference for researchers in bioinformatics
See template
See template
Transfer Request Form
PDF template
Form for transferring funds from another custodian directly into a HealthEquity Health Savings Account (HSA)
See template
See template
Emergency Medicine Critical Care 2025 Fellowship Application Form
PDF template
Application form for fellowship candidates in Emergency Medicine Critical Care at Brigham and Women's Hospital and Harvard University.
See template
See template
Commerce Payments Refund Request Form
PDF template
A form for processing payment refunds for various university departments and online services.
See template
See template
Reimbursement Form
PDF template
Official form for employees to request travel expense reimbursement from the University of New Mexico (UNM)
See template
See template
General Instructions For The Completion Of A Budget Justification Form
PDF template
Comprehensive guide detailing requirements and guidelines for completing a budget justification form with specific line item instructions.
See template
See template
Fundraising Approval Process
PDF template
Detailed procedures for approval of fundraising projects within the Eastpointe Community Schools district, outlining required steps and compliance requirements.
See template
See template
Water Conservancy Board Application For ChangeTransfer Report Of Examination
PDF template
Detailed instructions for water conservancy boards when preparing a report of examination for water right change applications.
See template
See template
Guidelines For Preparation Of Budget Forms
PDF template
Detailed guidelines for financial management and budget preparation for Community Development Block Grant (CDBG) fund recipients.
See template
See template
Guidelines For Preparation Of Budget Forms
PDF template
Detailed guidelines for financial management and budget preparation for Community Development Block Grant (CDBG) fund recipients.
See template
See template
Residential Rental Operating License Application
PDF template
A form for property owners to obtain a rental operating license for residential properties within Eddystone Borough.
See template
See template
MEMBERSHIP APPLICATION
PDF template
Application for membership in the Eastern District North Carolina Public Health Association for the 2024-2025 membership year
See template
See template
CAE Application Form
PDF template
Application form for educational institutions seeking CAE (Centre of Actuarial Excellence) recognition from the Society of Actuaries for the July-December 2024 review cycle.
See template
See template
Education And Professional Development Leave Application Form
PDF template
A form for Valencia College staff to request educational and professional development leave, including acknowledgement of policy terms and reporting requirements.
See template
See template
Educational Seminar Grant Evaluation Form
PDF template
A form for documenting and evaluating educational seminars funded by the Collie Health Foundation, including event details, costs, and educational impact.
See template
See template
Fiscal Year 2021 Capital Request Form For Education Projects
PDF template
A form for schools to request capital funding for educational projects in Staten Island for fiscal year 2021.
See template
See template
EDUCATION LOAN APPLICATION FORM
PDF template
A comprehensive loan application form for educational financing, including personal, financial, and banking details.
See template
See template
Educator Innovation Grant Application Form
PDF template
Application form for educators seeking funding for innovative academic, cultural, and community projects through the West Shore Foundation.
See template
See template
Teacher Discount Membership Application
PDF template
Application for membership at Cabrillo Marine Aquarium with various membership levels and benefits for teachers and general public.
See template
See template
Office Of Energy Energy Efficiency And Conservation Block Grant (EECBG) Checklist
PDF template
A comprehensive checklist for municipalities and counties applying for energy planning grant funding through the Energy Efficiency and Conservation Block Grant program.
See template
See template
Medical Reserve Corps Volunteer Application
PDF template
Application form for volunteers interested in joining the Medical Reserve Corps for public health emergency support
See template
See template
Horizon Europe Evaluation Form (HE MSCA)
PDF template
Official guidelines for scoring and evaluating research proposals under the Horizon Europe Marie Skodowska-Curie Actions (MSCA) program.
See template
See template
HSA Enrollment Form
PDF template
A form for enrolling in a Health Savings Account through an employer, allowing employees to set up contributions.
See template
See template
SB 1383 Edible Food Recovery Capacity Planning SURVEY FORM
PDF template
Survey to assess food recovery organizations' capabilities and food rescue efforts in support of California's SB 1383 waste reduction goals.
See template
See template
Authorization Agreement For Electronic Funds Transfer
PDF template
Form for setting up electronic funds transfer and direct deposit with United Way of the Capital Region, including Patriot Act compliance certification.
See template
See template
Gift In Kind Guidelines And Contribution Form
PDF template
Form for documenting in-kind gifts to an organization, with sponsorship levels and contribution details.
See template
See template
Stormwater Management Credit Application Instructions
PDF template
Application form for customers seeking stormwater management credits from the East Hanover Township Municipal Authority.
See template
See template
EJAF Corporate Partnership Program Partnership Proposal Intake Form
PDF template
A form for companies to propose cause marketing partnerships with the Elton John AIDS Foundation (EJAF)
See template
See template
East Kintyre Windfarm Trust Form Guidance
PDF template
Comprehensive guidance document for completing a grant application for the East Kintyre Windfarm Trust, detailing required information and supporting documentation.
See template
See template
El Camino College Dual Enrollment Application
PDF template
A form for high school students to apply for enrollment in college courses at El Camino College
See template
See template
Early Learning Coalition Of North Florida Board Meeting Minutes
PDF template
Minutes documenting the board meeting of the Early Learning Coalition of North Florida, detailing attendance, proceedings, and a success spotlight on a parent's program experience.
See template
See template
Electronic Payment Authorization Form
PDF template
Form for enrolling in electronic payment methods for child support payments via Way2Go Card or direct deposit
See template
See template
Electronic Proposal Routing Approval Form (EPRAF)
PDF template
A comprehensive form for submitting and routing research project proposals, capturing key details about funding, project team, and administrative information.
See template
See template
Nedgroup Medical Aid Scheme Chronic Medicine Benefit Application Form 2021
PDF template
Application form for registering chronic medical conditions and managing medicine benefits under the Nedgroup Medical Aid Scheme's Chronic Medicine Management programme.
See template
See template
Application Form For Enrollment In Supervised Student Teaching
PDF template
Application form for students seeking to enroll in supervised student teaching at Harris-Stowe State University's Department of Teacher Education.
See template
See template
English Language Institute Application Form
PDF template
Application for international students to enroll in Millersville University's English Language Institute program
See template
See template
Eljay Oil Company Credit Agreement
PDF template
Credit application for business customers seeking credit with Eljay Oil Company for fuel, delivery, and lubricant services
See template
See template
Scholarship Application Form
PDF template
Scholarship application form for students pursuing healthcare education, with comprehensive requirements for submission and review.
See template
See template
Stormwater Credit Application Form
PDF template
Application form for stormwater credits for ELSA customers seeking credit based on various qualifying stormwater management activities.
See template
See template
Early Learning Scholarships Invoice Form SFY2024
PDF template
Invoice form for early childhood education programs serving Early Learning Scholarships Pathway I award recipient children to submit payment for eligible service expenses.
See template
See template
Request For Application California Medical Training Center (EM) Program
PDF template
Solicitation of grant application for developing standardized forensic medical examination protocols and training in California.
See template
See template
State Of California Office Of Traffic Safety GRANT AGREEMENT
PDF template
A grant agreement for funding extrication equipment and training for fire departments to improve traffic crash response and victim rescue capabilities.
See template
See template
Emergency Medicine Action Fund Contribution Form
PDF template
A donation form for contributing to the Emergency Medicine Action Fund with multiple funding levels and contribution options.
See template
See template
Active Directory And Email Access Request Form
PDF template
Form for requesting and authorizing Active Directory and email system access for faculty, staff, and consultants
See template
See template
Republic Of Trinidad And Tobago Visa Application Form
PDF template
Official visa application form for individuals seeking entry into Trinidad and Tobago, requiring comprehensive personal and travel information.
See template
See template
Embrace The Outdoors Grant Application Form
PDF template
A grant application form for non-profit organizations seeking funding to support outdoor community activation projects in Calgary.
See template
See template
Embrace The Outdoors Grant Application Form
PDF template
A grant application form for non-profit organizations seeking funding for outdoor community projects in Calgary.
See template
See template
New Customer And Credit Application Form
PDF template
A comprehensive form for new customers to apply for credit and provide company contact, billing, shipping, and tax information.
See template
See template
New Customer And Credit Application Form
PDF template
A comprehensive form for new business customers to apply for credit and provide company contact, billing, shipping, and tax information.
See template
See template
EMERGENCY LOAN APPLICATION FORM
PDF template
A loan application form for members of the Nkaimura Welfare Group to request emergency financial assistance with specific repayment terms and guarantor requirements.
See template
See template
Emergency Medical Release Form
PDF template
A comprehensive medical form for collecting health information and emergency contact details for participants in adaptive or therapeutic horseback riding programs.
See template
See template
Mineta Transportation Institute Research Proposal Form
PDF template
Research grant program for junior faculty to explore transportation research problems focused on improving mobility and transportation solutions.
See template
See template
The John H. Emery Rail Heritage Trust Grant Application Form
PDF template
A comprehensive grant application form for non-profit organizations seeking funding from the John H. Emery Rail Heritage Trust for rail-related preservation projects.
See template
See template
Contribution Form
PDF template
A form for individuals and organizations to make financial contributions to the Emergency Medicine Policy Institute during their 2020 campaign.
See template
See template
Employee Agency Account Expense Report Form
PDF template
Form for University of Georgia student organizations to request expense reimbursement from agency accounts for event-related costs.
See template
See template
EMPLOYEE CONTRIBUTION FORM
PDF template
A form allowing employees to establish, modify, or continue payroll deductions for foundation donations.
See template
See template
Direct Deposit EnrollmentCancellation Form
PDF template
A form for employees to set up, change, or cancel direct deposit of payroll funds into bank accounts.
See template
See template
Employee Expense Approval Form
PDF template
A form for employees to document and request reimbursement for travel-related expenses within 30 days of occurrence.
See template
See template
Employee Travel Expense Report Form
PDF template
Form for documenting and requesting reimbursement of employee travel-related expenses by Claremore Public Schools.
See template
See template
Educational Foundation Contribution Form
PDF template
Form for employees to make tax-deductible contributions to the Delaware Technical Community College Educational Foundation through payroll deduction, cash, or pledge.
See template
See template
Virginia Tech Employee Software Sales Order Form
PDF template
Order form for Virginia Tech employees to purchase software and technology accessories at discounted rates.
See template
See template
EMPLOYEE PAYMENT AGREEMENT FORM
PDF template
A form for documenting an employee's payment schedule and financial obligations to an organization.
See template
See template
Employee Contribution Form
PDF template
A form allowing employees to make charitable contributions through automatic payroll deductions to support Great Basin College scholarships and programs.
See template
See template
Travel Policy
PDF template
Guidelines for travel expenses and reimbursement for Metro employees, officials, and authorized travelers, focusing on cost-effectiveness and accountability.
See template
See template
Employee Referral Program Referral Form
PDF template
A form for employees to refer potential job candidates to open positions within the organization.
See template
See template
Roosevelt University Travel And Business Expense Policy
PDF template
A comprehensive policy governing travel and business expense reimbursement for Roosevelt University faculty, staff, and students conducting official university business.
See template
See template
University Recreation Employment Application
PDF template
Job application form for students seeking employment at the University Recreation Student Recreation Center in various positions like lifeguard, ropes course, and intramural officiating.
See template
See template
Employment Application
PDF template
Comprehensive employment application form for positions involving supervision or custody of children or youth, requiring detailed personal, educational, and professional background information.
See template
See template
APPLICATION FOR CIVIL SERVICE EXAMINATION OR EMPLOYMENT
PDF template
Official form for individuals seeking employment in civil service, including background and veterans' credit sections.
See template
See template
EICAP Employment Application
PDF template
Employment application for Eastern Idaho Community Action Partnership (EICAP) with sections for applicant information and referral source.
See template
See template
Employment Application Process
PDF template
Guidelines for SkillsUSA student competitors participating in employment application process, including eligibility requirements and clothing regulations.
See template
See template
Student Ambassador Application
PDF template
Application form for students interested in becoming a Student Ambassador at Mountwest Community and Technical College.
See template
See template
West Virginia Judiciary Application For Employment
PDF template
A comprehensive employment application form for positions within the West Virginia Judiciary system that collects personal, educational, and reference information from job applicants.
See template
See template
Adult Disability Starter Kit
PDF template
A comprehensive checklist to help applicants prepare for filing a Social Security disability benefits claim by organizing personal, medical, and employment information.
See template
See template
Application Part 1 Proposal Form
PDF template
A comprehensive form for organizations to submit grant proposals, capturing project details, contact information, and funding requirements.
See template
See template
Early Decision Agreement Form
PDF template
A binding application agreement for students who have selected Endicott College as their first-choice institution.
See template
See template
Endow Mississippi Program Application For Tax Credit
PDF template
Application for taxpayers seeking tax credits through an endowment gift to a community foundation in Mississippi.
See template
See template
EnergyShare Application Form
PDF template
Application form for individuals seeking energy assistance and support from HeartShare organization in Brooklyn, NY.
See template
See template
Annual Budget 202425 Phase One Engagement Summary Report
PDF template
A report documenting the community engagement process for the Maribyrnong City Council's annual budget development, detailing feedback collection methods and results.
See template
See template
Financial Assistance Application
PDF template
A comprehensive form for patients to provide financial details and income verification for potential medical financial assistance.
See template
See template
Money Order Request Form
PDF template
A form for requesting replacement or photocopy of previously purchased money orders with specific processing instructions and fees.
See template
See template
VISA APPLICATION FORM
PDF template
Comprehensive visa application form for individuals seeking entry to Lebanon with detailed personal and travel information.
See template
See template
Notice For Applicants Using Mail In Visa Application Services
PDF template
Guide for visa applicants in France to submit visa applications through mail-in services with specific submission requirements and payment instructions.
See template
See template
Enrichment Program Proposal
PDF template
A form for submitting proposed educational enrichment programs to Rochester Community Schools for review and potential approval.
See template
See template
SANTA BARBARA CATHOLIC SCHOOL FINANCIAL OBLIGATION FORM
PDF template
A form for designating financial responsibility and payment options for student enrollment at Santa Barbara Catholic School.
See template
See template
Little Orchard Preschool Enrollment Form
PDF template
Enrollment form for Little Orchard Preschool in Farmington, Utah for the 2021-2022 school year, including registration details and parent/student information collection.
See template
See template
Application And Change Form For Delta Dental Individual And Family
PDF template
A comprehensive dental insurance enrollment form for individual and family coverage with personal and dependent information sections.
See template
See template
Tips To Facilitate The Medicare Enrollment Process
PDF template
Comprehensive guide providing instructions for healthcare providers on correctly submitting Medicare enrollment applications and using the PECOS system.
See template
See template
CBO Prior Entertainment Approval Form In PerfectForms
PDF template
Detailed instructions for submitting a prior approval form for entertainment events with specific cost thresholds and documentation requirements.
See template
See template
Entertainment Expense Approval Form
PDF template
Form for requesting and approving university-related entertainment expenses with detailed documentation requirements.
See template
See template
Entertainment Of University Guests And Employees
PDF template
Policy governing entertainment expenses for university guests and employees, including guidelines for business-related entertainment and reimbursement procedures.
See template
See template
PASC UCSB Business Meeting And Entertainment Reimbursement Form
PDF template
Form for requesting reimbursement of business-related meal and entertainment expenses at University of California, Santa Barbara.
See template
See template
UTeach Dallas Entrance Interview Form
PDF template
Application form for students interested in joining the UTeach Dallas secondary teacher preparation program for science, mathematics, and computer science education.
See template
See template
Balsamic Vinegar Of Modena Competition Entry Form
PDF template
Entry form for a competition related to Balsamic Vinegar of Modena hosted by the Culinary Institute of America (CIA)
See template
See template
Credit Application
PDF template
Credit application form for establishing business credit with National Trench Safety UK Limited, requiring comprehensive business and financial information.
See template
See template
Green Partners Budget Form
PDF template
Detailed budget breakdown for a community recycling and environmental education project involving ambassadors and workshops.
See template
See template
Green Partners Budget Form
PDF template
Comprehensive budget form detailing expenses for a youth environmental project including staff, youth stipends, field trips, and program supplies.
See template
See template
Online Application Economic Development Permit Environmental Site Assessment Grant Application
PDF template
A grant application for environmental site assessment funding by the City of Grand Rapids to support economic development and property redevelopment projects.
See template
See template
Eligible Organization Application Form
PDF template
Application form for organizations seeking eligibility with the New Jersey Division of Fire Safety for training and certification purposes.
See template
See template
Annex B Potential Vendors Self Declaration Form
PDF template
A self-declaration form for potential international courier service vendors interested in providing services to the United Nations Office at Nairobi.
See template
See template
Expression Of Interest (EOI) And Data Protection Consent Form
PDF template
A form for expressing interest in the Rural Development Programme 2014-2022 (LEADER) funding process in County Mayo, Ireland.
See template
See template
EPC Requisition Form
PDF template
A financial form for requesting payments or reimbursements within a church ministry budget across various ministry categories.
See template
See template
EPOC Invoice Template
PDF template
Instructions and template for submitting quarterly invoices for the Expanding Peer Organizational Capacity (EPOC) program by Advocates For Human Potential, Inc.
See template
See template
BSWIC INDV EPO APP 01 2022
PDF template
Application form for Exclusive Provider Organization (EPO) health insurance coverage with Baylor Scott & White Insurance Company
See template
See template
Emerging Printmakers Residency Application Form
PDF template
Application form for artists seeking a residency program at Print Arts Northwest for emerging printmakers.
See template
See template
EPSRC NSF Lead Agency Opportunity
PDF template
A collaborative funding opportunity between the US National Science Foundation (NSF) and UK's Engineering and Physical Sciences Research Council (EPSRC) to support joint international research proposals.
See template
See template
Equipment DispositionTransfer Request Form
PDF template
A form for requesting disposition or transfer of equipment purchased with Homeland Security funds, detailing requirements for equipment disposal or sale.
See template
See template
EQUIPMENT DISPOSITIONTRANSFER REQUEST FORM
PDF template
A form used by subrecipients to request approval for disposing of equipment purchased with federal funds from the Missouri Department of Public Safety.
See template
See template
Equipment Requisition Form (Purchases Under 5K)
PDF template
A form for requesting equipment purchases under $5,000, including vendor details, pricing, and approval signatures.
See template
See template
EquipmentVehicle Inquiry Form
PDF template
Form for inquiring about equipment or vehicle eligibility under the Texas Volkswagen Environmental Mitigation Program.
See template
See template
Equipment To Be Purchased Local Consolidated Plan
PDF template
Form for documenting individual equipment purchases over $5,000 for educational programs at the Kansas State Department of Education.
See template
See template
Equipment Survey Form
PDF template
Form for documenting equipment purchases over $5,000 with justification for acquisition by principal investigators.
See template
See template
Expense Report Form
PDF template
A comprehensive financial reporting form for tracking program and administrative expenses for Communities In Schools of Wake County.
See template
See template
E Rate Glossary Of Terms
PDF template
A comprehensive glossary defining key terms and concepts related to the E-Rate universal service support program for schools and libraries.
See template
See template
ElectricianS Retirement Fund Benefit Application Packet
PDF template
An application packet for pension benefits from the Electrician's Retirement Fund, providing instructions for submitting retirement documentation.
See template
See template
Erie Gives Check Contribution Form
PDF template
A form for making check donations to nonprofit organizations through the Erie Community Foundation's Erie Gives program.
See template
See template
ERME Budget Form
PDF template
Comprehensive budget form for research project expenses covering personnel, equipment, travel, and other direct costs.
See template
See template
ESA Evaluation
PDF template
A comprehensive form for assessing potential impacts of grant-funded projects on endangered species and critical habitats.
See template
See template
Education Savings Account Transfer Request
PDF template
A form for transferring assets between Education Savings Account (ESA) trustees or custodians for a designated beneficiary.
See template
See template
TRAVEL REIMBURSEMENT FORM
PDF template
Form for employees or vendors to document and request reimbursement for travel-related expenses including conference, transportation, lodging, and meals.
See template
See template
ESCAPMCREI20222 Enabling Trade And Investment For Sustainable Development In Times Of Crisis
PDF template
A United Nations document addressing the importance of regional economic cooperation and trade in navigating global crises and promoting sustainable development.
See template
See template
TRAVEL AUTHORIZATION FORM
PDF template
A form for obtaining pre-approval and funding for travel expenses for students, with specific submission timeline requirements based on travel type.
See template
See template
ESPEN RESEARCH FELLOWSHIPS 2020 APPLICATION FORM
PDF template
Application form for research fellowship funding from ESPEN, with detailed requirements for applicants and project details.
See template
See template
ESPEN Research Fellowships 2021 Application Form
PDF template
Application form for research fellowship program offering financial support to research professionals in a specialized field.
See template
See template
Environmental Science And Policy Program Graduate Specialization In Environmental Policy Applicati
PDF template
Application form for students seeking a graduate specialization in environmental policy at Michigan State University
See template
See template
Elementary And Secondary School Emergency Relief (ESSER) Equipment Purchase Form
PDF template
A form for schools to request purchasing individual equipment items over $5,000 for special education and title services programs.
See template
See template
Application For Examination Or Employment
PDF template
Official employment application form for positions in Essex County government, including towns, villages, and school districts
See template
See template
ESTABLISHING A PROJECT FORM
PDF template
A form used to establish a new project or fund within the Florida Atlantic University Foundation, detailing project purpose, funding, and authorized signers.
See template
See template
NREL Form Estimated Budget Form
PDF template
A comprehensive budget and cost estimation form for project proposals submitted to the National Renewable Energy Laboratory (NREL)
See template
See template
Community Grant Application Form
PDF template
A comprehensive application form for non-profit organizations seeking community grant funding for various programs and events in Estevan, Saskatchewan.
See template
See template
Employment Training Fund (ETF) Employer Referral Agreement
PDF template
A form for employers to request workforce training funding assistance through the Department of Labor and Industrial Relations' Employment & Training Fund.
See template
See template
ETFS Access Request Form
PDF template
A form for requesting access to the Developmental Disabilities Endowment Trust Fund system through Secure Access Washington (SAW)
See template
See template
Auction Procurement Form
PDF template
A form for donors to submit items or services for a school auction fundraiser, including donor contact information and item details.
See template
See template
ET Perry Centennial Chapter Grant Application Form
PDF template
A grant application form for ET Perry Centennial Chapter to request organizational support funds
See template
See template
CREDIT APPLICATION
PDF template
A credit application form for businesses seeking to establish credit terms with Eurofins Laboratory
See template
See template
Call For Remote Evaluation Specialist
PDF template
A temporary 7-month full-time position with Community-Campus Partnerships for Health focused on research and evaluation of community engagement projects.
See template
See template
Volunteer Opportunities At EVC Campus Spring 2022
PDF template
A comprehensive guide to volunteer opportunities at Evergreen Valley College focused on food distribution, food pantry, and community service for Spring 2022.
See template
See template
SBA Event Participation Form
PDF template
A form for documenting participant details and expenses for an SBA event with required documentation for reimbursement.
See template
See template
Event Expense Reimbursement Form
PDF template
Form for reimbursing event expenses for approved sporting events at fire stations, with a $500 annual benefit maximum.
See template
See template
ST. JUDE DRIVE EVENT PROPOSAL FORM
PDF template
A form for proposing and documenting details of a St. Jude Drive fundraising event with driver and event information.
See template
See template
Event Special Use Inquiry Form
PDF template
A form for requesting permission to host special events, classes, or activities on Berkshire Natural Resources Council conservation reserves.
See template
See template
Event Proposal Form
PDF template
A comprehensive form for military personnel to propose and plan squadron recreational and social events with detailed funding and activity breakdowns.
See template
See template
Community Calendar Submission Form
PDF template
A form for local non-profit organizations to submit community events for public listing on the Waterloo Community Calendar.
See template
See template
Park Space Event Use Inquiry
PDF template
Form for requesting permission to host an event in Henderson County parks and recreational spaces.
See template
See template
Grant Application Form
PDF template
Application form for a technical meeting on safety aspects of nuclear power plant ageing management hosted by IAEA in Vienna.
See template
See template
CY 2025 TITLE IV E REIMBURSEMENT FOR COUNTY EWiSACWIS COSTS
PDF template
Guidelines for preparing budget forms and time reports for Title IV-E reimbursement of county eWiSACWIS system costs for calendar year 2025.
See template
See template
Records Request Form
PDF template
Comprehensive list of documents required for loan examination and review process.
See template
See template
Exceptional Travel Expense Approval Form For UC Berkeley Faculty And Staff
PDF template
A form for obtaining pre-approval and documenting special circumstances for travel expenses for UC Berkeley faculty and staff.
See template
See template
Evaluating The Executive Director
PDF template
A comprehensive guide for nonprofit boards on effectively conducting performance evaluations for executive directors, focusing on organizational mission and goals.
See template
See template
CR PTE Application For Property Tax Exemption
PDF template
A form for organizations seeking property tax exemption by providing details about property ownership, use, and tax status.
See template
See template
CR PTE Application For Property Tax Exemption
PDF template
A form for organizations seeking property tax exemption by providing details about property ownership, use, and tax-exempt status.
See template
See template
PR 230 Property Tax Exemption Request
PDF template
A form for property owners to request tax exemption from the Wisconsin Department of Revenue, requiring detailed organizational information.
See template
See template
Use Agreement, Form HUD 92238 PRA
PDF template
A legal agreement for projects providing rental assistance to persons with disabilities under HUD's Section 811 Program.
See template
See template
Board Member Estimated Expense Approval Form
PDF template
A form for board members to request pre-approval of travel and expense reimbursements, including grant-related travel expenses.
See template
See template
PS 03.A.38 CENTERS AND INSTITUTES EXHIBIT B ANNUAL REPORT FORM
PDF template
A comprehensive annual reporting form for documenting activities, accomplishments, and financial status of academic centers and institutes.
See template
See template
IGRA Royalty Competition Entry Form
PDF template
Official entry form for contestants competing in the International Gay Rodeo Association (IGRA) Royalty Competition
See template
See template
Form 10 Q
PDF template
Quarterly financial report filed with the U.S. Securities and Exchange Commission for the period ended September 30, 2012.
See template
See template
Incidental Expenses RequestApproval Form
PDF template
A form for requesting and approving funding for client services and incidental expenses through a social service agency.
See template
See template
University Of South Alabama Athletic Team Travel Reimbursement Form
PDF template
A form for University of South Alabama athletic team members to document and request reimbursement for travel-related expenses.
See template
See template
Loan Interview Form
PDF template
Comprehensive form for collecting student personal, financial, and contact information for loan processing.
See template
See template
PCEI AmeriCorps Program End Of Term Exit Interview
PDF template
A comprehensive exit survey for AmeriCorps program participants to document their experience, future plans, and community impact.
See template
See template
Expedited Service Request Form
PDF template
A form for New York State public school districts and BOCES to request priority processing of teaching certificate applications.
See template
See template
Expedited Service Request Form
PDF template
Form for employers to request expedited processing of teaching certification applications through the New York State Education Department
See template
See template
TRAVEL ADVANCE EXPENSE REPORT REQUISITION CHECK REQUEST
PDF template
A multi-purpose document for requesting travel advances, submitting expense reports, placing requisitions, and requesting checks for various organizational expenses.
See template
See template
Expense Reimbursement Form For Non SMCCCD Employees
PDF template
Form for reimbursing expenses for non-SMCCCD employees participating in SMCCCD-related events with required documentation.
See template
See template
EXPENSECOST TRANSFER REQUEST FORM
PDF template
A form for requesting transfer of expenses or costs between different financial account codes (FOAPA)
See template
See template
SEMA4 EMPLOYEE EXPENSE REPORT
PDF template
A form for employees to document and request reimbursement for travel-related expenses and mileage.
See template
See template
Expense Report Form
PDF template
A form for submitting and approving expense reimbursements for Cary Chinese School's organizational expenses
See template
See template
Expense Reporting Form
PDF template
A comprehensive form for documenting and requesting various types of non-standard expense reimbursements and payments at an educational institution.
See template
See template
Expense Reimbursement Policy
PDF template
Policy detailing expense reimbursement guidelines for Society of Toxicology members traveling on official business.
See template
See template
Travel And Business Related Expense Policy
PDF template
Policy governing travel and business-related expense reimbursement for volunteers and non-employees of the State Bar of California.
See template
See template
Expense Reimbursement Form
PDF template
A form for advisers to submit travel and meeting-related expense reimbursement requests from the American Law Institute (ALI).
See template
See template
Expense Reimbursement Form
PDF template
A form used for submitting and tracking expense reimbursement requests for the Secretary of State's office.
See template
See template
Expense Reimbursement Form
PDF template
Official form for submitting and tracking expense reimbursements for the Louisiana Secretary of State's office.
See template
See template
Policy Council Expense Reimbursement Form
PDF template
A comprehensive form for reimbursing Policy Council members for mileage, child care, meeting participation, and other expenses.
See template
See template
Expense Reimbursement Form Non Travel
PDF template
Form for employees to request non-travel related expense reimbursement from the College of Science at UTSA
See template
See template
Student Expense Reimbursement Process
PDF template
Detailed instructions for students to submit expense reimbursement forms, including required documentation and submission process.
See template
See template
EXPENSE REIMBURSEMENT POLICY
PDF template
Policy outlining expense reimbursement rules and procedures for ADSA volunteers, including acceptable expenses, documentation requirements, and travel guidelines.
See template
See template
EXPENSE REIMBURSEMENT PROCEDURES
PDF template
Comprehensive guidelines for employee expense reimbursement covering business expenses and travel, aligned with IRS accountable plan regulations.
See template
See template
SEMA4 Employee Expense Report
PDF template
A comprehensive form for employees to report travel expenses, mileage, and other reimbursable costs for business trips.
See template
See template
TEST ADMINISTRATORS EXPENSE REPORT FORM
PDF template
Form for test administrators to report and request reimbursement for expenses related to exam administration.
See template
See template
Expense Report
PDF template
A comprehensive form for employees to document and request reimbursement for work-related expenses including travel, meals, and other costs.
See template
See template
EXPENSE REPORT
PDF template
A form for employees to report and request reimbursement for work-related expenses, including travel and miscellaneous costs.
See template
See template
Expense Report Form 2024
PDF template
A detailed form for employees to report and request reimbursement for work-related expenses including mileage, conference costs, and supplies.
See template
See template
Expense Report Form
PDF template
A form for submitting expense reimbursement requests for organizational expenses within a council structure.
See template
See template
Judging Accreditation Test Administrators Expense Report Form
PDF template
Form for USA Gymnastics test administrators to report expenses and honorarium for exam administration.
See template
See template
Expense Report
PDF template
A form for submitting and tracking out-of-pocket expenses for Idaho State Bar volunteers and committee members
See template
See template
Bah Center Treasury Event Expense Form
PDF template
A form for submitting and tracking event-related expenses for reimbursement by the Bah' Center Treasury.
See template
See template
SEMA4 Employee Expense Report
PDF template
A detailed form for documenting employee travel expenses, mileage reimbursement, and other related costs.
See template
See template
Out Of Pocket Expense And Reimbursement Guidelines
PDF template
Guidelines for University employees and non-employees to seek reimbursement for out-of-pocket expenses using the Concur Expense System.
See template
See template
Expense Report Instructions
PDF template
Comprehensive instructions for completing and submitting an expense report for employee travel and business expenses at WPI.
See template
See template
Mid Michigan Section SAE Expense Report Form
PDF template
A form for reporting and submitting expenses with receipt documentation for reimbursement.
See template
See template
Expense Transfer Request
PDF template
Internal form used to transfer expenditures between different FOAPAL accounts within the university's financial system.
See template
See template
The Experts Introduction To Franchising
PDF template
A comprehensive guide exploring franchising from multiple expert perspectives, covering recruitment, funding, and business considerations for franchisors and franchisees.
See template
See template
Short Stay Application Form
PDF template
Detailed guide for completing a travel or visa application form with step-by-step instructions for filling out personal and travel information.
See template
See template
ERME Competitive Grants Program Exploratory Project Application
PDF template
Special instructions for applying to the North Central Extension Risk Management Education Center's Exploratory Projects grant program with awards up to $5,000.
See template
See template
EXPORT CUSTOMER APPLICATION FOR CREDIT FORM
PDF template
A comprehensive form for businesses and individuals seeking export credit, requiring detailed personal and business information.
See template
See template
Presidential Rank Award (PRA) Express Billing Form
PDF template
Financial document for submitting and obligating payment for Presidential Rank Award nominees to the Office of Personnel Management (OPM)
See template
See template
Extended Workshop Handout Reimbursement Form
PDF template
Form for workshop chairs to claim up to $100 reimbursement for workshop material copies.
See template
See template
External Research Request Application
PDF template
Application form for conducting research within the Halton Catholic District School Board's schools and facilities.
See template
See template
External Scholarship Form
PDF template
Form for submitting external scholarships to the University of Utah Financial Aid Office for processing and application to student accounts.
See template
See template
Seattle University School Of Law Externship Program Application
PDF template
Instructions for law students applying to externship opportunities through Seattle University School of Law's Externship Program Office.
See template
See template
Fundraising Activity Proposal Form
PDF template
A form used by McLennan Community College employees to propose and get approval for fundraising activities and solicitations.
See template
See template
Wisconsin Medicaid Services Application
PDF template
Wisconsin state application form for Medicaid services, including applicant and spouse information, income details, and eligibility questions.
See template
See template
Authorization To Access TIAA Accounts
PDF template
A form for authorizing a person or organization to access and discuss TIAA account information on behalf of the account holder.
See template
See template
TIAA BROKERAGE INDIVIDUAL TRANSFER ON DEATH ACCOUNT AGREEMENT
PDF template
A legal document outlining the terms and conditions for a transfer on death brokerage account, specifying how assets will be transferred upon the account holder's death.
See template
See template
TIAA BROKERAGE TRUSTEE CERTIFICATION OF INVESTMENT POWERS
PDF template
Form for trustees to declare or update investment powers and account authorization for a trust with TIAA Brokerage
See template
See template
Form 13551
PDF template
Application for individuals or organizations seeking to become an IRS Acceptance Agent or Certifying Acceptance Agent.
See template
See template
Partners For Fish And Wildlife Notice Of Funding Opportunity
PDF template
A voluntary program providing technical and financial assistance to private landowners for restoring and conserving fish and wildlife habitat.
See template
See template
Nebraska Tax Application
PDF template
Official form for businesses to register and provide tax information when operating in Nebraska
See template
See template
SCF CREDITAPP Email 02.2014
PDF template
Comprehensive credit application form for businesses seeking commercial financing from SNAP Commercial Finance Corp.
See template
See template
National Housing Trust Loan Application Form
PDF template
Comprehensive loan application form for the National Housing Trust with detailed instructions for completion.
See template
See template
TRUNK SHOW HOST ORDER FORM
PDF template
A form for placing orders during a SERRV & Earn Trunk Show, allowing hosts to consolidate their and shoppers' orders.
See template
See template
F245 145 000 Travel Reimbursement Request
PDF template
A form for workers to request travel expense reimbursement related to workers' compensation medical visits, treatments, or vocational services.
See template
See template
Form 8 K
PDF template
Securities and Exchange Commission filing providing current report information for Renovaro Inc.
See template
See template
Nebraska Class I Bingo Annual Report Form 35
PDF template
Annual reporting form for nonprofit organizations with Class I bingo licenses in Nebraska, detailing bingo financial activities and compliance requirements.
See template
See template
Nebraska Schedule I Bingo License
PDF template
Official form for applying for a bingo license in Nebraska, detailing organization, location, equipment, and bingo occasion details.
See template
See template
ADULT VOLUNTEER APPLICATION FORM
PDF template
A comprehensive application form for adults seeking to volunteer with Tennessee 4-H Youth Development programs.
See template
See template
Form 8802
PDF template
An IRS form used to apply for a United States residency certification for tax purposes.
See template
See template
Form 8957
PDF template
Official IRS form for financial institutions to register under the Foreign Account Tax Compliance Act (FATCA)
See template
See template
Financing Agreement
PDF template
International Development Association grant agreement with the Republic of Haiti for an urban development project.
See template
See template
FAA Form 8710 1, Airman Certificate AndOr Rating Application Supplemental Information And Instructio
PDF template
Official FAA document for pilots to apply for airman certificates and ratings with detailed submission instructions.
See template
See template
One E App Health E Arizona
PDF template
An electronic application system for assistance programs supported by One-e-App software, used by FAA, AHCCCS, and authorized organizations.
See template
See template
Financial Assistance Checklist
PDF template
Application for financial assistance for YMCA membership and programs, allowing individuals to request reduced-cost membership based on income and need.
See template
See template
Community Improvement Grant Program Faade Signage Application Form
PDF template
Application form for property owners seeking matching grants for commercial building facade and signage improvements in the Town of Minto.
See template
See template
Faade Improvement Grant Application
PDF template
A grant application form for property owners or tenants seeking funding for exterior building improvements in the Town of Fort Mill, South Carolina.
See template
See template
Mini Grant Application Form
PDF template
Application form for the Office of Family and Community Engagement mini-grant program to support school community activities.
See template
See template
Facilities Remodel Request
PDF template
A comprehensive form for requesting facility repairs, remodeling, and documenting approvals for internal infrastructure projects.
See template
See template
Rental Application Events Meetings
PDF template
A comprehensive form for renting community center spaces and planning events with venue, catering, and logistics details.
See template
See template
Financial Aid Cancellation Request
PDF template
Form allowing students to cancel financial aid awards for specific semesters at Montgomery College.
See template
See template
Friends Of ACU Library (FACUL) Membership Form
PDF template
A membership form for supporting the Brown Library at Abilene Christian University with various donation levels and gift options.
See template
See template
Faculty Grant Application Form
PDF template
Application form for faculty seeking funding for experiential learning projects through the Global Humanities Institute Fellowship program.
See template
See template
FACULTY DEVELOPMENT GRANT APPLICATION FORM
PDF template
A grant application form designed to support faculty members in acquiring new pedagogical techniques or learning disciplines outside their primary field of expertise.
See template
See template
Faculty Development Grant Proposal Form
PDF template
A form for faculty members to request funding for professional development, enrichment, or community activities.
See template
See template
Faculty Development Grant Summary Report Form
PDF template
A form for faculty to report on the outcomes and impact of a professional development grant.
See template
See template
Faculty Expense Reimbursement Form
PDF template
A form for University of the South faculty to document and request reimbursement for professional expenses and mileage.
See template
See template
Faculty Request To Support Graduate Student Research Proposal Or Thesis
PDF template
A form for WellStar College of Health & Human Services faculty to request professional development funds for supporting graduate student research projects.
See template
See template
FACULTY GRANT APPLICATION FORM
PDF template
Application form for faculty members seeking research and project funding from the McGillicuddy Humanities Center at the University of Maine.
See template
See template
Amazon Mechanical Turk Purchase Request Form
PDF template
A form for requesting and documenting the purchase of Amazon Mechanical Turk services for research purposes with required approvals.
See template
See template
Institutional Advancement Funding Inquiry Form
PDF template
A comprehensive form for academic professionals to request project funding and provide detailed project information to institutional leadership.
See template
See template
Faculty Research Proposal
PDF template
A formal document for faculty members to submit research project proposals seeking funding and approval from the university research council.
See template
See template
Faculty Scholarly And Creative Activity Leave Application
PDF template
A comprehensive application for faculty members requesting scholarly and creative activity leave at Winston-Salem State University for the 2022-2023 academic year.
See template
See template
Faculty Travel And Business Expense Report Form
PDF template
A form for University of the South faculty to report and request reimbursement for travel-related expenses and business trips.
See template
See template
IPIA International Travel Grant Application Form
PDF template
Form for Purdue University faculty or staff to request funding for international conference travel and participation.
See template
See template
Fair Trade Products Purchase Form
PDF template
A form for purchasing fair trade coffee through a local organization with specific order dates and collection times.
See template
See template
Fair Trade Products Purchase Form September 2023
PDF template
Purchase form for Fair Trade coffee products with order details and submission instructions for September 2023.
See template
See template
Graduation Application Form
PDF template
Online graduation application form for students planning to graduate in Fall 2020 or Winter 2021, to be submitted electronically between September 28-October 26, 2020.
See template
See template
Illinois Wesleyan University Student Senate Code Of Finances
PDF template
Comprehensive financial guidelines for student organization funding and resource management at Illinois Wesleyan University.
See template
See template
Nursing Admission Checklist Instructions Fall 2024
PDF template
Comprehensive instructions for prospective nursing students applying to Springfield Technical Community College's Nursing Program for Fall 2024.
See template
See template
Application For Degree
PDF template
Official document providing instructions for students applying to graduate from Millersville University in December 2020 or May 2021.
See template
See template
Instructions Financial Affidavit
PDF template
Detailed guidance for completing a financial affidavit in family court cases, explaining form requirements and resources for legal assistance.
See template
See template
Home Office Consent For Verification Form
PDF template
A consent form allowing the Home Office to verify application information and documentation from the applicant and third parties.
See template
See template
Family Contribution
PDF template
A document used to verify and document financial contributions from a provider to an applicant or participant.
See template
See template
Credit Application Form For Family Games America FGA Inc.
PDF template
A comprehensive credit application form for businesses seeking to establish a credit relationship with Family Games America FGA Inc.
See template
See template
YMCA OF ORANGE COUNTY Family Guides (Program Registration)
PDF template
Registration form for the YMCA Family Guides Program in Orange County, allowing families to sign up for program membership and events.
See template
See template
APPLICATION FOR GRANT OF FAMILY PENSION
PDF template
Application form for requesting family pension benefits from Bank of Baroda Pension Fund Trust after the death of a pensioner.
See template
See template
Florida Association Of Public Art Professionals Annual Membership Dues
PDF template
Membership form for non-profit organization supporting public art professionals in Florida with different membership tiers.
See template
See template
Frequently Asked Questions Completing DocuSign Paperwork
PDF template
Guide for small business owners on completing DocuSign documents for Rhode Island Small Business Relief Grant application process.
See template
See template
FAQs For The Back To Business Illinois Creative Arts Recovery Grant Program (B2B Arts)
PDF template
Frequently asked questions document providing details about the Illinois Creative Arts Recovery Grant Program for businesses impacted by COVID-19.
See template
See template
FAQS For CARE Reimbursement Form
PDF template
Frequently asked questions document providing guidance on reimbursement process for CARE grant recipients about submission, payment, and documentation requirements.
See template
See template
Frequently Asked Questions (FAQ) Budget Development Forms
PDF template
A guide explaining budget request processes, forms, and procedures for university departments and budget submissions.
See template
See template
Frequently Asked Questions (FAQs) (Part Time Worker Trainer)
PDF template
Comprehensive guide for part-time worker trainers explaining payment processes, expense reimbursement, and tax form requirements.
See template
See template
Frequently Asked Questions (FAQs) Part Time Worker Trainer
PDF template
Comprehensive guide for part-time worker-trainers covering payment processing, direct deposit, tax forms, and expense reimbursement procedures.
See template
See template
TriBeta Foundation Research Scholarship Program FAQs
PDF template
Comprehensive guidelines and frequently asked questions about research grants for biology students through the TriBeta Foundation Scholarship Program.
See template
See template
FAS Payment Request Invoice Form
PDF template
A form for submitting payment requests for refunds, honorariums, prizes, and fellowships within an organization.
See template
See template
ASNIC Student Government FAST Grant Application Form
PDF template
A form for ASNIC clubs to request funding for events and activities through the FAST grant program.
See template
See template
Self Certification For Individual FATCACRS Declaration Form
PDF template
A tax declaration form for individuals to provide information about their tax residency, citizenship, and US person status for FATCA and CRS compliance.
See template
See template
Voluntary Waiver Form
PDF template
A form for requesting a reduced Facilities and Administrative (F&A) cost rate for research proposals at UNTHSC.
See template
See template
Joinder To Operating Agreement
PDF template
A document for joining a Faith Builders Special Purpose Entity and contributing funds for educational scholarships with potential tax benefits.
See template
See template
Forsyth County Animal Shelter Volunteer Application
PDF template
Comprehensive application form for individuals seeking to volunteer at the Forsyth County Animal Shelter, collecting personal information and volunteer commitment details.
See template
See template
MEMBERSHIP FORM (Jan Dec)
PDF template
Annual membership registration form for businesses, organizations, and individuals in Fountain City, Wisconsin.
See template
See template
Fidelis Care Behavioral Health Program Grant Application Form 2024
PDF template
A comprehensive grant application form for behavioral health organizations seeking funding from Fidelis Care, with detailed requirements for organizational information and program goals.
See template
See template
FONTBONNE COMMUNITY CONNECTION 2016 2017 MEMBERSHIP FORM
PDF template
Membership form for making annual donations to the Fontbonne Community Connection with various payment and contribution options.
See template
See template
FCC Form 463 Rural Health Care (RHC) Universal Service Healthcare Connect Fund Invoice And Request F
PDF template
Federal form for requesting disbursement and documenting expenses in the Rural Health Care Universal Service Healthcare Connect Fund program.
See template
See template
FCC Form 472
PDF template
A form for schools, libraries, or consortia to request reimbursement for discounts on approved services already paid for by the billed entity.
See template
See template
Grant Inquiry Form
PDF template
A form for floor covering industry workers seeking financial assistance for medical and basic needs during catastrophic medical events.
See template
See template
New Customer Application
PDF template
Application form for new customers to establish a business account with FCI Ophthalmics, including shipping, tax, and contact information.
See template
See template
Fresh Connect Program Mini Grant Application Form
PDF template
Application form for agricultural mini-grants supporting farmers' markets in New York State
See template
See template
Volunteer Application Form
PDF template
A comprehensive application form for individuals interested in volunteering with Full Circle Restorative Justice organization
See template
See template
Faculty Development Committee (FDC) Disbursement Expense Reporting
PDF template
Guidelines for faculty expenses, reimbursement processes, and fiscal year spending for Regis University faculty development funds.
See template
See template
Off Campus Conference, Seminar, Or Workshop Application For Funding
PDF template
A form for faculty to request funding for professional development events and conferences outside the campus.
See template
See template
Illinois Funeral Director And Embalmer Licensure Application Instruction Sheet
PDF template
Comprehensive instruction guide for applying for a combined Funeral Director and Embalmer license in Illinois with detailed step-by-step guidance.
See template
See template
Casino Credit Application
PDF template
A standardized form for patrons to apply for casino credit with detailed documentation and verification requirements.
See template
See template
American Legion Auxiliary Department Of New York PresidentS Message
PDF template
Monthly communication from the President of the American Legion Auxiliary Department of New York, highlighting recent activities and organizational updates.
See template
See template
Mission Grant Application Form
PDF template
Application form for organizations seeking financial support from Faith Church for mission projects or initiatives.
See template
See template
DIN TORAH APPLICATION FORM
PDF template
A legal document for initiating a Jewish religious court (Beth Din) dispute resolution process between parties.
See template
See template
GVI Costa Rica Manuel Antonio Community Programs Feedback Form
PDF template
A feedback form for volunteers participating in GVI's community programs in Manuel Antonio, Costa Rica, to provide insights and suggestions for program improvement.
See template
See template
Fee Refund Request Form
PDF template
A form detailing the process and conditions for requesting fee refunds for various permit and application types.
See template
See template
Fee Waiver Form
PDF template
A form for undergraduate applicants to request a waiver of college application fees based on economic need criteria.
See template
See template
Fee Waiver Form
PDF template
A form for students demonstrating economic need to request a waiver of college application fees.
See template
See template
Privacy In A New Era Challenges, Opportunities And Partnerships FELLOWSHIP APPLICATION FORM
PDF template
Application form for representatives from new EU Member States to participate in a privacy-focused fellowship program.
See template
See template
Application Form Fellowship Form (FAPM)
PDF template
Application form for obtaining Fellowship status with the Association for Project Management (APM)
See template
See template
Fellowship Application Form
PDF template
A comprehensive application form for students seeking fellowship opportunities at a university, requiring multiple supporting documents.
See template
See template
FELLOWSHIP Application Form
PDF template
Fellowship application form for a comparative urban studies program in Berlin, requiring academic and personal details from applicants.
See template
See template
Example Of Fellowship Application Form
PDF template
A comprehensive application form for fellowship candidates in preventive cardiology or related medical disciplines.
See template
See template
Fellowship Application Form
PDF template
Comprehensive application form for academic fellowship programs covering personal data, project details, and required submission materials.
See template
See template
Application Form For Fellowship
PDF template
Comprehensive application form for ophthalmology fellowship programs in Glaucoma, Medical Retina, and Surgical Retina at Suraj Eye Institute.
See template
See template
Fellowship Application
PDF template
Application form for membership recognition in the Association of Energy Engineers (AEE) fellowship program.
See template